Recombinant Human IL-7 Protein, Animal-Free
New! Bypass reconstitution steps by using a liquid formulation of Animal-free Recombinant Human IL-7. Find out more here.
Recombinant Human IL-7 Protein, Animal-Free Summary
Product Specifications
Asp26-His177, with an N-terminal Met
Produced using non-animal reagents in an animal-free laboratory.
Analysis
Product Datasheets
BT-007-AFL
| Formulation | Lyophilized from a 0.2 μm filtered solution in PBS with Trehalose. |
| Reconstitution | Reconstitute at 100 - 500 μg/mL in PBS. |
| Shipping | The product is shipped at ambient temperature. Upon receipt, store it immediately at the temperature recommended below. |
| Stability & Storage: | Use a manual defrost freezer and avoid repeated freeze-thaw cycles.
|
BT-007-AFL/LQ
| Formulation | Supplied as a 0.2 μm filtered solution in PBS. |
| Shipping | The product is shipped with dry ice or equivalent. Upon receipt, store it immediately at the temperature recommended below. |
| Stability & Storage: | Use a manual defrost freezer and avoid repeated freeze-thaw cycles.
|
Scientific Data
View Larger
Animal-Free™ Recombinant Human IL‑7 (Catalog # BT-007-AFL) has a molecular weight (MW) of 18.0 kDa as analyzed by SEC-MALS, suggesting that this protein is a monomer.
View Larger
The bioactivity of Recombinant Human IL-7 Protein, Animal Free (Catalog # BT-007-AFL) stimulates proliferation of PHA-activated human peripheral blood lymphocytes in a dose-dependent manner. The ED50 for this effect is 0.100-0.500 ng/mL.
View Larger
2 μg/lane of Recombinant Human IL-7 Animal-Free Protein (Catalog # BT-007-AFL) was resolved with SDS-PAGE under reducing (R) and non-reducing (NR) conditions and visualized by Coomassie® Blue staining, showing a single band at 17 kDa.
View Larger
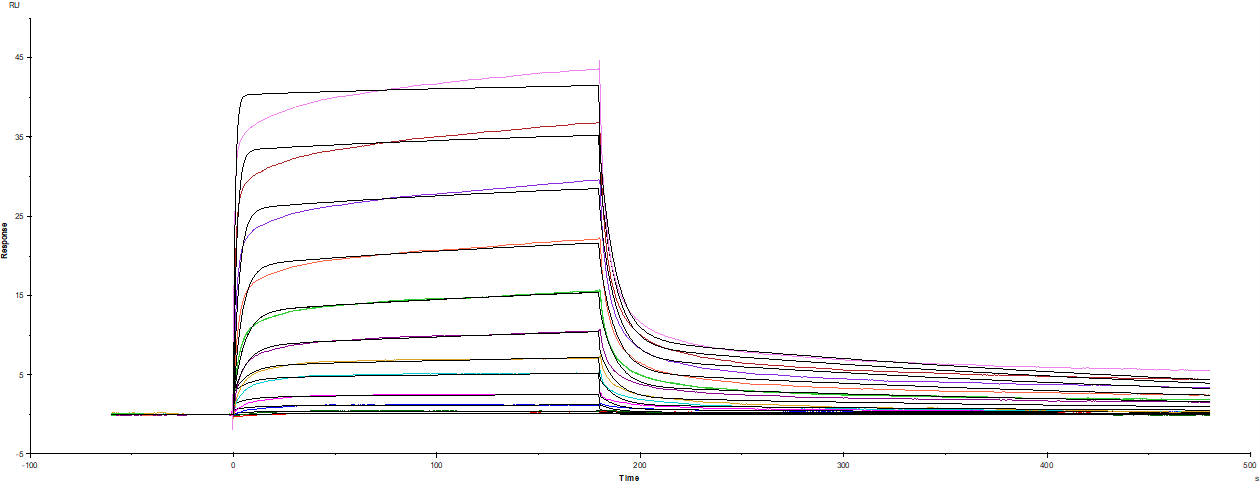
Recombinant Human IL-7R alpha/CD127 Fc Chimera (306-IR) was captured on Biacore Sensor Chip CM5 via Recombinant Protein A/G/L (Catalog # NBP2-34985), and binding to Animal-Free™ Recombinant Human IL 7 (Catalog # BT-007-AFL) was measured at a concentration range between 0.244 nM and 500 nM. The double-referenced sensorgram was fit to a 1:1 binding model to determine the binding kinetics and affinity, with an affinity constant of KD=40.2 nM. (Biacore T200).
Reconstitution Calculator
Background: IL-7
IL-7 (interleukin-7) is a 25 kDa cytokine of the hemopoietin family that plays important roles in lymphocyte differentiation, proliferation, and survival (1-4). Human IL‑7 cDNA encodes 177 amino acids (aa) that include a 25 aa signal peptide (3). Human IL-7 shares approximately 60-63% aa sequence identity with mouse, rat, canine and feline IL-7, and 72-76% with equine, bovine, ovine, and porcine IL-7. Human and mouse IL-7 exhibit cross-species activity (2, 3).
IL-7 is produced by a wide variety of cells in primary and secondary lymphoid tissues, including stromal epithelial cells of the thymus, bone marrow, and intestines (1, 2, 5). Circulating IL-7 is limiting in healthy animals, but increases during lymphopenia (1, 6). IL-7 signals through a complex of the IL-7 Receptor alpha subunit (IL-7 R alpha, also known as CD127) with the common gamma chain ( gamma c) (1).
The gamma c is also a subunit of the receptors for IL-2, -4, -9, -15, and -21 (1). IL-7 R alpha is expressed on double negative (CD4-CD8-) and single positive (CD4+ or CD8+) naïve and memory T cells, but undergoes IL-7-mediated down‑regulation and shedding during antigen-driven T cell proliferation, and is absent on regulatory T cells (1, 2, 6-11). IL-7 contributes to the maintenance of all naïve and memory T cells, mainly by promoting expression of the anti-apoptotic protein Bcl-2 (9-11). It is required for optimal T cell-dendritic cell interaction (6). IL-7 is expressed early in B cell development prior to the appearance of surface IgM (1, 5, 9). In mouse, IL-7 activation of IL-7 R alpha is critical for both T cell and B cell lineage development, while in humans, it is required for T cell but not for B cell development (4, 9, 12, 13). However, IL-7 functions in both mouse and human pro-B cells to suppress premature Ig light chain recombination during proliferative growth (14, 15).
Like other common gamma-chain cytokines like IL-2 and IL-15, IL-7 and its receptor, IL-7R, have been used in a variety of immunotherapy applications, often in fluid tumors and in some instances of solid tumor models (16). Sometimes use of recombinant IL-7 is preferential as current studies and early clinical trials of cancer have found less severe toxicity or side effects upon treatment with IL-7 in comparison to IL-15 or IL-2 (16).
In CAR-T cell therapies, enhanced expression and secretion of human IL-7 and CCL19 have enhanced the ability of T cells to expand and migrate in vitro (17). Engineered CAR T cells expressing IL-7 or a constitutively active IL-7R results in increased efficacy of CAR T anti-tumor effects (16, 18). IL-7 is also frequently used in combination with IL-15 as a supplement in cell culture of CAR T cells to support their expansion (19). Additionally, IL-7/IL-15 in the presence of cord blood-derived T cells helps to maintain their early differentiation state (20). Monoclonal antibodies against IL-7R or small molecule inhibitors against the IL-7R signaling pathway are commonly used in circumstances of autoimmune diseases to delay disease progression (16). Also due to its ability to stimulate both adaptive and innate immune cells, treatment with IL-7 has shown improved survival in patients with sepsis who are at risk of deadly secondary infections (21), providing evidence for IL-7 applications beyond cancer immunotherapy.
- Sasson, S.C. et al. (2006) Curr. Drug Targets 7:1571.
- Barata, J.T. et al. (2006) Exp. Hematol. 34:1133.
- Goodwin, R.G. et al. (1990) Proc. Natl. Acad. Sci. USA 86:302.
- Namen, A.E. et al. (1988) Nature 333:571.
- Shalapour, S. et al. (2012) PLoS ONE 7: e31939.
- Saini, M. et al. (2009) Blood 113:5793.
- Park, J.H. et al. (2004) Immunity 21:289.
- Vranjkovic, A. et al. (2007) Int. Immunol. 19:1329.
- Sudo, T. et al. (1993) Proc. Natl. Acad. Sci. 90:9125.
- Seddon, B. et al. (2003) Nat. Immunol. 4:680.
- Schluns, K.S. et al. (2000) Nat. Immunol. 5:426.
- Peschon, J.J. et al. (1994) J. Exp. Med. 180:1955.
- Pribyl, J.A. and T.W. LeBien (1996) Proc. Natl. Acad. Sci. 93:10348.
- Johnson, K. et al. (2012) J. Immunol. 188:6084.
- Nodland, S.E. et al. (2011) Blood 118:2116.
- Wang, C. et al. (2022) Int. J. Mol. Sci. 23:10370.
- Pang, N. et al. (2021) J Hematol Oncol. 14:118.
- Li, L. et al. (2022) Sci Rep. 12:12506.
- Xu, Y. et al. (2014) Blood. 123:3750.
- Marton, C. et al. (2022) Cancer Gene Ther. 29:961.
- Winer, H. et al. (2022) Cytokine. 160:156049.
Manufacturing Specifications
Animal-Free Manufacturing ConditionsOur dedicated controlled-access animal-free laboratories ensure that at no point in production are the products exposed to potential contamination by animal components or byproducts. Every stage of manufacturing is conducted in compliance with R&D Systems' stringent Standard Operating Procedures (SOPs). Production and purification procedures use equipment and media that are confirmed animal-free.
Production
- All molecular biology procedures use animal-free media and dedicated labware.
- Dedicated fermentors are utilized in committed animal-free areas.
Purification
- Protein purification columns are animal-free.
- Bulk proteins are filtered using animal-free filters.
- Purified proteins are stored in animal-free containers in a dedicated cold storage room.
- Low Endotoxin Level.
- No impairment of biological activity.
- High quality product obtained under stringent conditions.
- For ex vivo research or bioproduction, additional documentation can be provided.
Citation for Recombinant Human IL-7 Protein, Animal-Free
R&D Systems personnel manually curate a database that contains references using R&D Systems products. The data collected includes not only links to publications in PubMed, but also provides information about sample types, species, and experimental conditions.
1 Citation: Showing 1 - 1
-
Systemic Immune Dysfunction in Cancer Patients Driven by IL6 Induction of LAG3 in Peripheral CD8+ T Cells.
Authors: Somasundaram A, Cillo A, Lampenfeld C, Workman C, Kunning S, Oliveri L, Velez M, Joyce S, Calderon M, Dadey R, Rajasundaram D, Normolle D, Watkins S, Herman J, Kirkwood J, Lipson E, Ferris R, Bruno T, Vignali D
Cancer Immunol Res, 2022-07-01;10(7):885-899.
Species: Human
Sample Types: Whole Cells
Applications: Bioassay
FAQs
No product specific FAQs exist for this product, however you may
View all Proteins and Enzyme FAQsReviews for Recombinant Human IL-7 Protein, Animal-Free
There are currently no reviews for this product. Be the first to review Recombinant Human IL-7 Protein, Animal-Free and earn rewards!
Have you used Recombinant Human IL-7 Protein, Animal-Free?
Submit a review and receive an Amazon gift card.
$25/€18/£15/$25CAN/¥75 Yuan/¥2500 Yen for a review with an image
$10/€7/£6/$10 CAD/¥70 Yuan/¥1110 Yen for a review without an image
