4 results for "PP2A" in 产品

PP2A Products

Protein Phosphatase 2A (PP2A) is an enzyme that removes phosphates covalently attached to serine and threonine residues in proteins. It contains three subunits; a catalytic subunit C (PP2Ac), an assembly/structural subunit A (PP2Aa), and a regulatory subunit B (PP2Ab). PP2A is a ubiquitous enzyme that plays a role in regulating many cellular activi...

Show More

Protein phosphatase 1 and 2A inhibitor

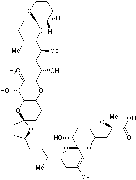
Chemical Name: 9,10-Deepithio-9,10-didehydroacanthifolicin
Purity: ≥90%
Protein phosphatase 1 and 2A inhibitor
Loading...

Protein phosphatase 1 and 2A inhibitor

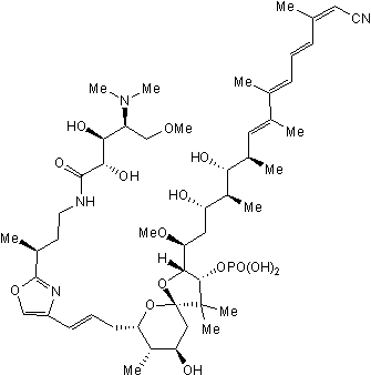
Chemical Name: N-[(3S)-[4-(1E)-3-[(2R,3R,4R,7S,8S,9R)-2-[(1S,3S,4S,5R,7E,9E,11E,13Z)-14-Cyano-3,5-dihydroxy-1-methoxy-4,6,8,9,13-pentamethyl-7,9,11,13-tetradecatetraenyl]-9-hydroxy-4,4,8-trimethyl-3-(phosphonooxy)-1,6-dioxaspiro[4.5]dec-7-yl]-1-propenyl]-2-oxazoly]butyl]-4-deoxy-4-(dimethylamino)-5-O-methyl-L-ribonamide
Purity: ≥90%
Protein phosphatase 1 and 2A inhibitor
Loading...

YAP inhibitor

Purity: ≥95%
Peptide inhibitor of YAP signaling
Loading...

Potent, selective and irreversible protein phosphatase methylesterase-1 (PME-1) inhibitor

Chemical Name: (2E)-2-[(4-Fluorophenyl)sulfonyl]-3-[1-[(3-nitrophenyl)sulfonyl]-1H-pyrrol-2-yl]-2-propenenitrile
Purity: ≥98%
Potent, selective and irreversible protein phosphatase methylesterase-1 (PME-1) inhibitor
Loading...
Results Per Page
5 10 25 50
  • / 1