PF 05212384
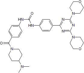
Chemical Name: N-[4-[[4-(Dimethylamino)-1-piperidinyl]carbonyl]phenyl]-N'-[4-(4,6-di-4-morpholinyl-1,3,5-triazin-2-yl)phenyl]urea
Purity: ≥98%
Biological Activity
PF 05212384 is a potent and selective dual inhibitor of PI 3-kinase/mTOR (IC50 values are 0.4, 1.6 and 5.4 nM for PI 3-Kα, mTOR and PI 3-Kγ respectively). Exhibits selectivity over 234 other protein kinases (IC50 >10 μM). Potently inhibits tumor cell growth in 37 different tumor cell lines (IC50 < 100 nM). Also exhibits antitumor activity in MDA-361, HCT-116, H1975 and U87MG xenograft models.Technical Data
The technical data provided above is for guidance only.
For batch specific data refer to the Certificate of Analysis.
Tocris products are intended for laboratory research use only, unless stated otherwise.
Additional Information
Background References
-
Bis(morpholino-1,3,5-triazine) derivatives: potent adenosine 5'-triphosphate competitive phosphatidylinositol-3-kinase/mammalian target of rapamycin inhibitors: discovery of compound 26 (PKI-587), a highly efficacious dual inhibitor.
Venkatesan et al.
J.Med.Chem., 2010;53:2636 -
Antitumor efficacy of PKI-587, a highly potent dual PI3K/mTOR kinase inhibitor.
Mallon et al.
Clin.Cancer Res., 2011;17:3193
Product Datasheets
Reconstitution Calculator
Molarity Calculator
FAQs
No product specific FAQs exist for this product, however you may
View all Small Molecule FAQsReviews for PF 05212384
There are currently no reviews for this product. Be the first to review PF 05212384 and earn rewards!
Have you used PF 05212384?
Submit a review and receive an Amazon gift card.
$25/€18/£15/$25CAN/¥75 Yuan/¥2500 Yen for a review with an image
$10/€7/£6/$10 CAD/¥70 Yuan/¥1110 Yen for a review without an image
