Digoxigenin NHS ester
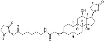
Chemical Name: (3β,5β,12β)-3-[2-[[6-[(2,5-Dioxo-1-pyrrolidinyl)oxy]-6-oxohexyl]amino]-2-oxoethoxy]-12,14-dihydroxycard-20(22)-enolide
Purity: ≥80%
Biological Activity
Digoxigenin NHS ester is an NHS ester hapten for labeling amino groups within biomolecules (oligonucleotides or proteins). Digoxigenin NHS ester is also used for in situ hybridization.Technical Data
The technical data provided above is for guidance only.
For batch specific data refer to the Certificate of Analysis.
Tocris products are intended for laboratory research use only, unless stated otherwise.
Product Datasheets
Reconstitution Calculator
Molarity Calculator
FAQs
No product specific FAQs exist for this product, however you may
View all Small Molecule FAQsReviews for Digoxigenin NHS ester
There are currently no reviews for this product. Be the first to review Digoxigenin NHS ester and earn rewards!
Have you used Digoxigenin NHS ester?
Submit a review and receive an Amazon gift card.
$25/€18/£15/$25CAN/¥75 Yuan/¥2500 Yen for a review with an image
$10/€7/£6/$10 CAD/¥70 Yuan/¥1110 Yen for a review without an image
