MRS 1706

Tocris Bioscience | Catalog # 1584

Potent and selective A2B inverse agonist
Tocris Bioscience
Discontinued Product
1584 has been discontinued. View all Adenosine A3 Receptor Inverse Agonists products.

Key Product Details

Description

Potent and selective A2B inverse agonist

Product Description

MRS 1706 is a potent and selective adenosine A2B receptor inverse agonist (Ki values are 1.39, 157, 112 and 230 nM for human A2B, A1, A2A and A3 receptors respectively).

Licensing Information

Manufactured and sold under license from Adenosine Therapeutics, LLC

Product Specifications for MRS 1706

Molecular Weight

503.56

Formula

C27H29N5O5

Storage

Store at +4°C

Purity

≥96% (HPLC)

Chemical Name

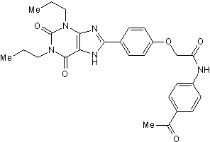
N-(4-Acetylphenyl)-2-[4-(2,3,6,7-tetrahydro-2,6-dioxo-1,3-dipropyl-1H-purin-8-yl)phenoxy]acetamide

CAS Number

264622-53-9

PubChem ID

5139184

InChI Key

ZKUCFFYOQOJLGT-UHFFFAOYSA-N

SMILES

O=C(C(NC(C3=CC=C(OCC(NC4=CC=C(C(C)=O)C=C4)=O)C=C3)=N2)=C2N1CCC)N(CCC)C1=O

The technical data provided above is for guidance only. For batch specific data refer to the Certificate of Analysis.

Loading...

Solubility

Solvent Max Conc. mg/mL Max Conc. mM
Solubility
DMSO 2.52 5

Preparing Stock Solutions for MRS 1706

The following data is based on the product molecular weight 503.56.

Batch specific molecular weights may vary from batch to batch due to the degree of hydration, which all affect the solvent volumes required to prepare stock solutions.

Select a batch to recalculate based on the batch molecular weight:

Concentration / Solvent Volume / Mass 1 mg 5 mg 10 mg
0.05 mM 39.72 mL 198.59 mL 397.17 mL
0.25 mM 7.94 mL 39.72 mL 79.43 mL
0.5 mM 3.97 mL 19.86 mL 39.72 mL
2.5 mM 0.79 mL 3.97 mL 7.94 mL

Calculators

Calculate the mass, volume, or concentration required for a solution.

=
x
x
g/mol

*When preparing stock solutions always use the batch-specific molecular weight of the product found on the vial label and CoA (available online).

Calculate the dilution required to prepare a stock solution.

x
=
x

The reconstitution calculator allows you to quickly calculate the volume of a reagent to reconstitute your vial. Simply enter the mass of reagent and the target concentration and the calculator will determine the rest.

=
÷

Background References

References are publications that support the biological activity of the product. See our Citations tab to view 13 publications citing the usage of this product.

Product Documents for MRS 1706

Certificate of Analysis

To download a Certificate of Analysis, please enter a lot or batch number in the search box below.

Product Specific Notices for MRS 1706

For research use only

Customer Reviews for MRS 1706

There are currently no reviews for this product. Be the first to review MRS 1706 and earn rewards!

Have you used MRS 1706?

Submit a review and receive an Amazon gift card!

$25/€18/£15/$25CAN/¥2500 Yen for a review with an image

$10/€7/£6/$10CAN/¥1110 Yen for a review without an image

Submit a review
Amazon Gift Card
Loading...