5 results for "Protein Kinase C Activators" in 产品

Protein Kinase C Activators

Protein kinase C (PKC) refers to a family of serine/threonine protein kinases grouped by their activation mechanism. Classical or conventional PKCs (cPKC α-, βI- , βII- and γ-) are activated by phosphatidylserine in a calcium dependent manner and can bind diacylglycerol (DAG). The Ca2+ insensitive novel PKCs (nPKCs ε-, δ-, θ- and η- isotypes) are also activated by DAG and phosphatidylserine.

The atypical PKCs (aPKCs ι- and ζ-) are insensitive to ...

Show More

Protein kinase C activator

Alternate Names: PMA
Chemical Name: (1aR,1bS,4aR,7aS,7bS,8R,9R,9aS)-9a-(Acetyloxy)-1a,1b,4,4a,5,7a,7b,8,9,9a-decahydro-4a,7b-dihydroxy-3-(hydroxymethyl)-1,1,6,8-tetramethyl-5-oxo-1H-cyclopropa[3,4]benz[1,2-e]azulen-9-yl tetradecanoate
Purity: ≥97%
Protein kinase C activator
Loading...

High affinity PKC activator; also APP modulator

Chemical Name: (2E,4E)-N-[(2S,5S)-1,2,3,4,5,6-Hexahydro-5-(hydroxymethyl)-1-methyl-2-(1-methylethyl)-3-oxo-1,4-benzodiazocin-8-yl]-5-[4-(trifluoromethyl)phenyl]-2,4-pentadienamide
Purity: ≥98%
High affinity PKC activator; also APP modulator
Loading...

Protein kinase C activator

Alternate Names: PDBu
Chemical Name: (1aR,1bS,4aR,7aS,7bS,8R,9R,9aS)-1a,1b,4,4a,5,7a,7b,8,9,9a-Decahydro-4a,7b-dihydroxy-3-(hydroxymethyl)-1,1,6,8-tetramethyl-5-oxo-1H-cyclopropa[3,4]benz[1,2-e]azulen-9,9a-diyl butanoic acid ester
Purity: ≥97%
Protein kinase C activator
Loading...

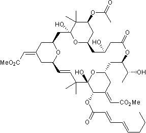
Protein kinase C activator

Alternate Names: NSC 339555
Chemical Name: (1S,3S,5Z,7R,8E,11S,12S,13E,15S,17R,21R,23R,25S)-25-(Acetyloxy)-1,11,21-trihydroxy-17-[(1R)-1-hydroxyethyl]-5,13-bis(2-methoxy-2-oxoethylidene)-10,10,26,26-tetramethyl-19-oxo-18,27,28,29-tetraoxatetracyclo[21.3.1.13,7.111,15]nonacos-8-en-12-yl-(2E, 4E)-2,4-octadienoic acid ester
Purity: ≥98%
Protein kinase C activator
Loading...

Protein kinase C activator

Alternate Names: Ingenol 3-angelate,Ingenol Mebutate
Chemical Name: (2Z)-2-Methyl-2-butenoic acid (1aR,2S,5R,5aS,6S,8aS,9R,10aR)-1a,2,5,5a,6,9,10,10a-octahydro-5,5a-dihydroxy-4-(hydroxymethyl)-1,1,7,9-tetramethyl-11-oxo-1H-2,8a-methanocyclopenta[a]cyclopropa[e]cyclodecen-6-yl ester
Purity: ≥97%
Protein kinase C activator
Loading...
Results Per Page
5 10 25 50
  • / 1