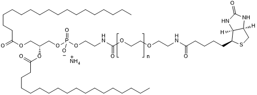
DSPE-PEG 2000 Biotin
Chemical Name: 1,2-Distearoyl-sn-glycero-3-phosphoethanolamine-N-[biotinyl(polyethylene glycol)-2000]
Purity: ≥90%
Biological Activity
DSPE-PEG 2000 Biotin is a biotinylated phospholipid conjugate designed for applications in lipid-based drug delivery, bioconjugation, and targeted molecular interactions. DSPE-PEG 2000 Biotin comprises 1,2-distearoyl-sn-glycero-3-phosphoethanolamine (DSPE), a polyethylene glycol (PEG 2000) spacer, and a biotin functional group enabling biotin-streptavidin binding.Technical Data
The technical data provided above is for guidance only.
For batch specific data refer to the Certificate of Analysis.
Tocris products are intended for laboratory research use only, unless stated otherwise.
Product Datasheets
Reconstitution Calculator
FAQs
No product specific FAQs exist for this product, however you may
View all Small Molecule FAQsReviews for DSPE-PEG 2000 Biotin
There are currently no reviews for this product. Be the first to review DSPE-PEG 2000 Biotin and earn rewards!
Have you used DSPE-PEG 2000 Biotin?
Submit a review and receive an Amazon gift card.
$25/€18/£15/$25CAN/¥75 Yuan/¥2500 Yen for a review with an image
$10/€7/£6/$10 CAD/¥70 Yuan/¥1110 Yen for a review without an image
