16 results for "PARP Small Molecules and Peptides" in 产品

PARP Small Molecules and Peptides

PARP [Poly(ADP-ribose) Polymerase], also known as ADPRT and PPOL, is a 118-kDa enzyme that uses NAD as a substrate to catalyze the covalent transfer of ADP-ribose to a variety of nuclear protein acceptors. ADP ribosyltransferase is required for cellular repair, and PARP expression is induced by single-strand breaks in DNA. PARP is proteolytically cleaved by Caspase-3 into two fragments of 89- and 24-kDa in one of the hallmark events of apoptosis.

Potent tankyrase inhibitor

GMP Version Available: TB3748-GMP
GMP
Alternate Names: XAV939 Wnt Signaling Inhibitor
Chemical Name: 3,5,7,8-Tetrahydro-2-[4-(trifluoromethyl)phenyl]-4H-thiopyrano[4,3-d]pyrimidin-4-one
Purity: ≥98%
Potent tankyrase inhibitor
Loading...

XAV 939 synthesized to cGMP guidelines

Chemical Name: 3,5,7,8-Tetrahydro-2-[4-(trifluoromethyl)phenyl]-4H-thiopyrano[4,3-d]pyrimidin-4-one
Purity: ≥99%
XAV 939 synthesized to cGMP guidelines
Loading...

PARP-1 inhibitor

Chemical Name: Pyridine-3-carboxamide
Purity: ≥99%
iPSC-derived Human Intestinal Organoid
(5)
Loading...

Potent PARP-1 inhibitor

Chemical Name: 5'-Deoxy-5'-[4-[2-[(2,3-Dihydro-1-oxo-1H-isoindol-4-yl)amino]-2-oxoethyl]-1-piperazinyl]-5'-oxoadenosine dihydrochloride
Purity: ≥98%
Potent PARP-1 inhibitor
Loading...

Potent PARP inhibitor

Chemical Name: 4-[[3-[[4-(Cyclopropylcarbonyl)-1-piperazinyl]carbonyl]-4-fluorophenyl]methyl]-1(2H)-phthalazinone
Purity: ≥98%
Potent PARP inhibitor
Loading...

Potent PARP inhibitor

Chemical Name: N-(5,6-Dihydro-6-oxo-2-phenanthridinyl)-2-acetamide hydrochloride
Purity: ≥98%
Potent PARP inhibitor
Loading...

Potent PARP inhibitor; orally bioavailable

Chemical Name: 4-[[4-Fluoro-3-[(4-methoxy-1-piperidinyl)carbonyl]phenyl]methyl]-1(2H)-phthalazinone
Purity: ≥98%
Potent PARP inhibitor; orally bioavailable
Loading...

PARP inhibitor

Alternate Names: CO-338
Chemical Name: 8-Fluoro-1,3,4,5-tetrahydro-2-[4-[(methylamino)methyl]phenyl]-6H-pyrrolo[4,3,2,ef][2]benzazepin-6-one (1S,4R)-7,7-dimethyl-2-oxobicyclo[2.2.1]heptane-1-methanesulfonic acid
Purity: ≥98%
PARP inhibitor
Loading...

Selective PARP-10 inhibitor

Chemical Name: 4,4'-Oxybis[benzamide]
Purity: ≥98%
Selective PARP-10 inhibitor
Loading...

PARP inhibitor; cytoprotectant

Chemical Name: N-[2-Hydroxy-3-(1-piperidinyl)propoxy]-3-pyridinecarboximidamide dihydrochloride
Purity: ≥98%
PARP inhibitor; cytoprotectant
Loading...

Selective allosteric PARP14 inhibitor

Chemical Name: N-[2-(9H-Carbazol-1-yl)phenyl]acetamide
Purity: ≥98%
Selective allosteric PARP14 inhibitor
Loading...

High affinity PARP-1 and -2 inhibitor; orally bioavailable

Alternate Names: ABT-888
Chemical Name: 2-[(2R)-2-Methyl-2-pyrrolidinyl]-1H-benzimidazole-4-carboxamide dihydrochloride
Purity: ≥98%
High affinity PARP-1 and -2 inhibitor; orally bioavailable
Loading...

PARP inhibitor; photoaffinity probe

Chemical Name: 3-(3-Butyn-1-yl)-N-[5-cyano-6-[4-[3-[(3,4-dihydro-4-oxo-1-phthalazinyl)methyl]benzoyl]-1-piperazinyl]-3-pyridinyl]-3H-diazirine-3-propanamide
Purity: ≥95%
PARP inhibitor; photoaffinity probe
Loading...

Potent PARP1 Degrader (PROTAC®)

Chemical Name: N-(2-((2-(2,6-Dioxopiperidin-3-yl)-1,3-dioxoisoindolin-4-yl)amino)ethyl)-12-(4-(2-fluoro-5-((4-oxo-3,4-dihydrophthalazin-1-yl)methyl)benzoyl)piperazin-1-yl)-12-oxododecanamide
Purity: ≥98%
Potent PARP1 Degrader (PROTAC®)
Loading...

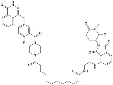
Negative control for SK 575 (Cat. No. 7583)

Chemical Name: 12-(4-(2-Fluoro-5-((4-oxo-3,4-dihydrophthalazin-1-yl)methyl)benzoyl)piperazin-1-yl)-N-(2-((2-(1-methyl-2,6-dioxopiperidin-3-yl)-1,3-dioxoisoindolin-4-yl)amino)ethyl)-12-oxododecanamide
Purity: ≥98%
Negative control for SK 575 (Cat. No. 7583)
Loading...

Nicotinamide synthesized to Ancillary Material Grade

Chemical Name: Pyridine-3-carboxamide
Purity: ≥99%
Nicotinamide synthesized to Ancillary Material Grade
Loading...
Results Per Page
5 10 25 50
  • / 1