Iloprost
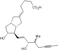
Chemical Name: (5E)-5-[(3aS,4R,5R,6aS)-Hexahydro-5-hydroxy-4-[(1E,3S)-3-hydroxy-4-methyl-1-octen-6-ynyl]-2(1H)-pentalenylidene]pentanoic acid
Purity: ≥97%
Biological Activity
Iloprost is a prostacyclin (PGI2) analog that binds with high affinity to IP, EP1 and EP3 receptors (Ki values are 11, 11, 56, 284, 619, 1035, 1870 and 6487 nM for IP, EP1, EP3, EP4, FP, DP, EP2 and TP receptors respectively). Inhibits platelet aggregation induced by collagen, thrombin and ADP (IC50 values are 0.24, 0.71 and 1.07 nM respectively).Technical Data
The technical data provided above is for guidance only.
For batch specific data refer to the Certificate of Analysis.
Tocris products are intended for laboratory research use only, unless stated otherwise.
Background References
-
Novel mode of action of iloprost: in vitro down-regulaton of endothelial cell adhesion molecules.
Della Bella et al.
Prostaglandins Other Lipid Mediat., 2001;65:73 -
The utilization of recombinant prostanoid receptors to determine the affinities and selectivities of prostaglandins and related analogs.
Abramovitz et al.
Biochim.Biophys.Acta, 2000;1483:285 -
The antiplatelet and cardiovascular actions of a new carbacyclin derivative (ZK 36 374) - equipotent to PGI2 in vitro.
Schror et al.
Naunyn-Schmied.Arch.Pharmacol., 1981;316:252
Product Datasheets
Reconstitution Calculator
Molarity Calculator
Citations for Iloprost
The citations listed below are publications that use Tocris products. Selected citations for Iloprost include:
2 Citations: Showing 1 - 2
-
A human platelet calcium calculator trained by pairwise agonist scanning.
Authors: Lee and Diamond
Nat Commun 2015;11:e1004118
-
Multiscale prediction of patient-specific platelet function under flow.
Authors: Flamm Et al.
Blood 2012;120:190
FAQs
No product specific FAQs exist for this product, however you may
View all Small Molecule FAQsReviews for Iloprost
There are currently no reviews for this product. Be the first to review Iloprost and earn rewards!
Have you used Iloprost?
Submit a review and receive an Amazon gift card.
$25/€18/£15/$25CAN/¥75 Yuan/¥2500 Yen for a review with an image
$10/€7/£6/$10 CAD/¥70 Yuan/¥1110 Yen for a review without an image
