KRCA 0008
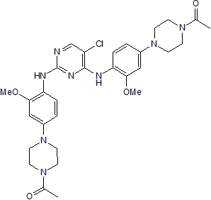
Chemical Name: 1,1'-[(5-Chloro-2,4-pyrimidinediyl)bis[imino(3-methoxy-4,1-phenylene)-4,1-piperazinediyl]]bisethanone
Purity: ≥99%
Biological Activity
KRCA 0008 is a potent Ack1 and anaplastic lymphoma kinase (ALK) dual inhibitor (IC50 values are 4 and 12 nM respectively). Inhibits lung cancer H3122 cell proliferation (IC50 = 80 nM). Attenuates H3122 cell xenograft tumor growth in mice. Orally bioavailable.Technical Data
The technical data provided above is for guidance only.
For batch specific data refer to the Certificate of Analysis.
Tocris products are intended for laboratory research use only, unless stated otherwise.
Background References
-
Novel bis-ortho-alkoxy-para-piperazinesubstituted-2,4-dianilinopyrimidines (KRCA-0008) as potent and selective ALK inhibitors for anticancer treatment.
Park et al.
Bioorg.Med.Chem.Lett., 2013;23:6192 -
ALK inhibitors of bis-ortho-alkoxy-para-piperazinesubstituted-pyrimidines and -triazines for cancer treatment.
Lee et al.
Arch.Pharm.Res., 2014;37:1130
Product Datasheets
Reconstitution Calculator
Molarity Calculator
FAQs
No product specific FAQs exist for this product, however you may
View all Small Molecule FAQsReviews for KRCA 0008
There are currently no reviews for this product. Be the first to review KRCA 0008 and earn rewards!
Have you used KRCA 0008?
Submit a review and receive an Amazon gift card.
$25/€18/£15/$25CAN/¥75 Yuan/¥2500 Yen for a review with an image
$10/€7/£6/$10 CAD/¥70 Yuan/¥1110 Yen for a review without an image
