Recombinant Human Serpin E1/PAI-1 Protein, CF
Recombinant Human Serpin E1/PAI-1 Protein, CF Summary
- R&D Systems Sf 21 (stably transfected)-derived Recombinant Human Serpin E1/PAI-1 Protein (1786-PI)
- Quality control testing to verify active proteins with lot specific assays by in-house scientists
- All R&D Systems proteins are covered with a 100% guarantee
Product Specifications
Met1-Pro402, with a C-terminal 10-His tag
Analysis
Product Datasheets
Carrier Free
CF stands for Carrier Free (CF). We typically add Bovine Serum Albumin (BSA) as a carrier protein to our recombinant proteins. Adding a carrier protein enhances protein stability, increases shelf-life, and allows the recombinant protein to be stored at a more dilute concentration. The carrier free version does not contain BSA.
In general, we advise purchasing the recombinant protein with BSA for use in cell or tissue culture, or as an ELISA standard. In contrast, the carrier free protein is recommended for applications, in which the presence of BSA could interfere.
1786-PI
| Formulation | Lyophilized from a 0.2 μm filtered solution in Sodium Acetate, NaCl and CHAPS. |
| Reconstitution | Reconstitute at 500 μg/mL in sterile 50 mM Sodium Acetate and 100 mM NaCl, pH 5.5. |
| Shipping | The product is shipped at ambient temperature. Upon receipt, store it immediately at the temperature recommended below. |
| Stability & Storage: | Use a manual defrost freezer and avoid repeated freeze-thaw cycles.
|
Assay Procedure
- Assay Buffer: 50 mM Tris, 0.01% (v/v) Tween® 20, pH 8.5
- Recombinant Human Serpin E1/PAI-1 (rhSerpin E1/PAI-1) (Catalog # 1786-PI)
- Recombinant Human u‑Plasminogen Activator (uPA)/Urokinase (rhuPA) (Catalog # 1310-SE)
- Substrate: Z-Gly-Gly-Arg-AMC (Bachem, Catalog # I-1140)
- F16 Black Maxisorp Plate (Nunc, Catalog # 475515)
- Fluorescent Plate Reader (Model: SpectraMax Gemini EM by Molecular Devices) or equivalent
- Dilute rhuPA to 2 µg/mL in Assay Buffer.
- Prepare a rhSerpin E1/PAI-1 (MW: 44146 Da) dilution curve in Assay Buffer. Make the following serial dilutions: 1500, 750, 375, 187.5, 125, 75, 50, 25, and 12.5 nM.
- Mix equal volumes of the rhSerpin E1/PAI-1 curve and the diluted rhuPA at 2 µg/mL. Include 2 controls containing rhuPA and Assay Buffer only.
- Incubate mixtures at room temperature for 15 minutes.
- After incubation, dilute the mixtures 5 fold in Assay Buffer.
- Dilute the Substrate to 200 µM in Assay Buffer.
- Load 50 µL of the incubated reactions into a plate, and start the reaction by adding 50 µL of 200 µM Substrate to each well.
- Read at excitation and emission wavelengths of 380 nm and 460 nm (top read), respectively, in kinetic mode for 5 minutes.
- Determine the 50% inhibiting concentration (IC50) for rhSerpin E1 by plotting RFU/min (or specific activity) vs. concentration with 4‑PL fitting.
- The specific activity for rhuPA at each point may be determined using the following formula (if necessary):
|
Specific Activity (pmol/min/µg) = |
Adjusted Vmax* (RFU/min) x Conversion Factor** (pmol/RFU) |
| amount of enzyme (µg) |
*Adjusted for Substrate Blank
**Derived using calibration standard 7-amino, 4-Methyl Coumarin (AMC) (Sigma, Catalog # A-9891).
- rhuPA: 0.010 µg
- rhSerpin E1/PAI-1 curve: 75, 37.5, 18.75, 9.375, 6.25, 3.75, 2.5, 1.25, and 0.625 nM
- Substrate: 100 µM
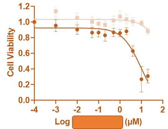
Scientific Data
View Larger
Recombinant Human Serpin E1/PAI-1 (Catalog # 1786-PI) is measured by its ability to inhibit uPA cleavage of a peptide substrate, N-carbobenzyloxy-Gly-Gly-Arg-7-amido-4-methylcoumarin (Z-GGR-AMC).
Reconstitution Calculator
Background: Serpin E1/PAI-1
As a member of the Serpin superfamily of serine protease inhibitors, Serpin E1/PAI‑1 is the principal inhibitor of urokinase‑type plasminogen activator (uPA) and tissue‑type PA (1, 2). As important regulators of extracellular matrix remodeling, uPA and PAI‑1 play a major role in many processes such as angiogenesis, tumor invasion and obesity (2‑4). For example, uPA and PAI-1 are the only tumor prognostic factors validated at the highest level of evidence with regard to their clinical utility in breast cancer (5). The human PAI-1 is initially synthesized as 402 amino acid precursor with a N‑terminal signal peptide (6, 7). PAI‑1 may exist in one of two possible conformations, designated as active or latent (8). The purified rhPAI‑1 is active against rhuPA. The heterogeneity at the N‑terminus of the purified
rhPAI‑1 has been observed before for both the recombinant and native proteins (9).
- Silverman, G.A. et al. (2001) J. Biol. Chem. 276:33293.
- Stefansson, S. et al. (2003) Curr. Pharm. Des. 9:1545.
- Duffy, M.J. (2002) Clin. Chem. 48:1194.
- Juhan-Vague, I. et al. (2003) J. Thromb. Haemost. 1:1575.
- Harbeck, N. et al. (2002) Clin. Breast Cancer 3:196.
- Pannekoek, H. et al. (1986) EMBO J. 5:2539.
- Ginsburg, D. et al. (1986) J. Clin. Invest. 78:1673.
- Wang, Z. et al. (1996) Biochemistry 35:16443.
- Stromqvist, M. et al. (1994) Protein Expr. Purif. 5:309.
Citations for Recombinant Human Serpin E1/PAI-1 Protein, CF
R&D Systems personnel manually curate a database that contains references using R&D Systems products. The data collected includes not only links to publications in PubMed, but also provides information about sample types, species, and experimental conditions.
10
Citations: Showing 1 - 10
Filter your results:
Filter by:
-
PAI-1 uncouples integrin-?1 from restrain by membrane-bound ?-catenin to promote collagen fibril remodeling in obesity-related neoplasms
Authors: Lin, LL;Nayak, B;Osmulski, PA;Wang, E;Wang, CP;Valente, PT;Wang, CM;Tan, X;Santanam, N;Wang, TL;Gaczynska, ME;Kost, ER;Huang, TH;Kirma, NB;
Cell reports
Species: Human
Sample Types: Cell Lysates, Whole Cells
Applications: Western Blot, Immunocytochemistry -
Secretome analysis of in vitro aged human mesenchymal stem cells reveals IGFBP7 as a putative factor for promoting osteogenesis
Authors: A Infante, CI Rodríguez
Sci Rep, 2018-03-15;8(1):4632.
Species: Human
Sample Types: Whole Cells
Applications: Bioassay -
Senescent peritoneal mesothelium creates a niche for ovarian cancer metastases
Cell Death Dis, 2016-12-29;7(12):e2565.
Species: Human
Sample Types: Whole Cells
Applications: Bioassay -
An acidic microenvironment sets the humoral pattern recognition molecule PTX3 in a tissue repair mode.
Authors: Doni A, Musso T, Morone D, Bastone A, Zambelli V, Sironi M, Castagnoli C, Cambieri I, Stravalaci M, Pasqualini F, Laface I, Valentino S, Tartari S, Ponzetta A, Maina V, Barbieri S, Tremoli E, Catapano A, Norata G, Bottazzi B, Garlanda C, Mantovani A
J Exp Med, 2015-05-11;212(6):905-25.
Applications: Bioassay -
Staphylococcal nuclease domain containing-1 (SND1) promotes migration and invasion via angiotensin II type 1 receptor (AT1R) and TGFbeta signaling.
Authors: Santhekadur P, Akiel M, Emdad L, Gredler R, Srivastava J, Rajasekaran D, Robertson C, Mukhopadhyay N, Fisher P, Sarkar D
FEBS Open Bio, 2014-04-01;4(0):353-61.
Species: Human
Sample Types: Whole Cells
Applications: Bioassay -
Regulated proteolytic processing of Reelin through interplay of tissue plasminogen activator (tPA), ADAMTS-4, ADAMTS-5, and their modulators.
Authors: Krstic D, Rodriguez M, Knuesel I
PLoS ONE, 2012-10-17;7(10):e47793.
Species: Human
Sample Types: Recombinant Protein
Applications: Enzyme Assay -
A multiplex immunoassay for human adipokine profiling.
Authors: Schipper HS, De Jager W, van Dijk ME, Meerding J, Zelissen PM, Adan RA, Prakken BJ, Kalkhoven E
Clin. Chem., 2010-06-08;56(0):1320.
Applications: ELISA (Standard) -
Human CD4- 8- T cells are a distinctive immunoregulatory subset.
Authors: Huang MC, Patel K, Taub DD, Longo DL, Goetzl EJ
FASEB J, 2010-02-12;24(7):2558-66.
Species: Human
Sample Types: Whole Cells
Applications: Bioassay -
Potent Inhibition and Global Co-localization Implicate the Transmembrane Kunitz-type Serine Protease Inhibitor Hepatocyte Growth Factor Activator Inhibitor-2 in the Regulation of Epithelial Matriptase Activity.
Authors: Szabo R, Hobson JP, List K, Molinolo A, Lin CY, Bugge TH
J. Biol. Chem., 2008-08-19;283(43):29495-504.
Species: Human
Sample Types: Whole Cells
Applications: Bioassay -
Enzymatic properties of human kallikrein-related peptidase 12 (KLK12).
Authors: Memari</LastName><ForeNam N</Initial, Memari N, Jiang W, Diamandis EP, Luo LY
Biol. Chem., 2007-04-01;388(4):427-35.
Species: Human
Sample Types: Recombinant Protein
Applications: Enzyme Assay
FAQs
No product specific FAQs exist for this product, however you may
View all Proteins and Enzyme FAQsReviews for Recombinant Human Serpin E1/PAI-1 Protein, CF
Average Rating: 5 (Based on 1 Review)
Have you used Recombinant Human Serpin E1/PAI-1 Protein, CF?
Submit a review and receive an Amazon gift card.
$25/€18/£15/$25CAN/¥75 Yuan/¥2500 Yen for a review with an image
$10/€7/£6/$10 CAD/¥70 Yuan/¥1110 Yen for a review without an image
Filter by:
