4 results for "BromoCatch Platform Fluorescent Probes and Dyes" in Products

BromoCatch Platform Fluorescent Probes and Dyes

Self-labeling Protein (SLP) tag platform is the combination of a protein tag, expressed as a fusion to the protein-of-interest (POI), and a complementary small molecule ligand ('tag ligand') that potently (typically covalently) and selectively reacts with the protein tag (Figure 1). The key advantage of the technology is the intrinsic versatility of SLPs due to the small molecule ligand component, which can be modified to incorporate a wide variety of handles including fluorophores, biotin, ...

Show More

Fluorogenic Janelia Fluor® 635 conjugated covalent ligand for BromoCatch™, enabling no-wash live-cell imaging

Chemical Name: 4-(((R)-14-((S)-4-(4-Acrylamidophenyl)-2,3,9-trimethyl-6H-thieno[3,2-f][1,2,4]triazolo[4,3-a][1,4]diazepin-6-yl)-13-oxo-3,6,9-trioxa-12-azahexadecyl)carbamoyl)-2-(3-(3-fluoroazetidin-1-ium-1-ylidene)-7-(3-fluoroazetidin-1-yl)-5,5-dimethyl-3,5-dihydrodibenzo[b,e]silin-10-yl)benzoate
Purity: ≥95%
In gel fluorescence of Janelia Fluor® 635, BromoCatch Ligand​
(3)
Loading...

Clickable alkyne-functionalized covalent probe for BromoCatch-tagged proteins

Chemical Name: (2R)-2-((6S)-4-(4-Acrylamidophenyl)-2,3,9-trimethyl-6H-thieno[3,2-f][1,2,4]triazolo[4,3-a][1,4]diazepin-6-yl)-N-(2-(2-(2-(prop-2-yn-1-yloxy)ethoxy)ethoxy)ethyl)butanamide
Purity: ≥95%
BromoCatch can be used for clicking fluorophores in a two-step CuAAC mediated reaction
(3)
Loading...

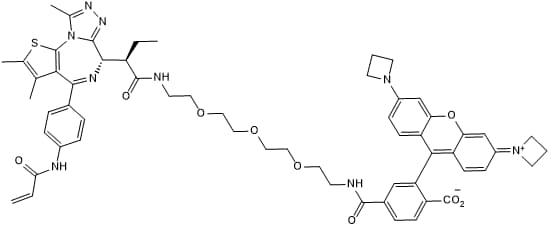
Fluorogenic Janelia Fluor® 549 conjugated covalent ligand for BromoCatch™, enabling no-wash live-cell imaging

Chemical Name: 4-(((R)-14-((S)-4-(4-Acrylamidophenyl)-2,3,9-trimethyl-6H-thieno[3,2-f][1,2,4]triazolo[4,3-a][1,4]diazepin-6-yl)-13-oxo-3,6,9-trioxa-12-azahexadecyl)carbamoyl)-2-(3-(azetidin-1-ium-1-ylidene)-6-(azetidin-1-yl)-3H-xanthen-9-yl)benzoate
Purity: ≥90%
Fluorogenic Janelia Fluor® 549 conjugated covalent ligand for BromoCatch™, enabling no-wash live-cell imaging
Loading...

Fluorogenic Janelia Fluor® 525 conjugated covalent ligand for BromoCatch™, enabling no-wash live-cell imaging

Chemical Name: 4-(((R)-14-((S)-4-(4-Acrylamidophenyl)-2,3,9-trimethyl-6H-thieno[3,2-f][1,2,4]triazolo[4,3-a][1,4]diazepin-6-yl)-13-oxo-3,6,9-trioxa-12-azahexadecyl)carbamoyl)-2-(3-(3,3-difluoroazetidin-1-ium-1-ylidene)-6-(3,3-difluoroazetidin-1-yl)-3H-xanthen-9-yl)benzoate
Purity: ≥90%
Fluorogenic Janelia Fluor® 525 conjugated covalent ligand for BromoCatch™, enabling no-wash live-cell imaging
Loading...
Results Per Page
5 10 25 50
  • / 1