Human Cystatin C Quantikine ELISA Kit Summary
Sample Values
Serum/Plasma/Saliva/Urine - Samples from apparently healthy volunteers were evaluated for the presence of human Cystatin C in this assay. No medical histories were available for the donors used in this study.| Sample Type | Mean (ng/mL) | Range (ng/mL) | Standard Deviation (ng/mL) |
| Serum (n=36) | 792 | 553-1257 | 161 |
| EDTA plasma (n=36) | 774 | 560-1173 | 155 |
| Heparin plasma (n=36) | 786 | 524-1284 | 177 |
| Saliva (n=11) | 1259 | 103-3184 | 1077 |
| Urine (n=12) | 62.9 | 12.6-188 | 43.8 |
Cell Culture Supernates:
| Condition | Day 1 (ng/mL) | Day 5 (ng/mL) |
| Unstimulated | ND | ND |
| Stimulated | ND | 16 |
Product Summary
Precision
Cell Culture Supernates, Serum, EDTA Plasma, Heparin Plasma, Saliva, Urine, Human Milk
| Intra-Assay Precision | Inter-Assay Precision | |||||
|---|---|---|---|---|---|---|
| Sample | 1 | 2 | 3 | 1 | 2 | 3 |
| n | 20 | 20 | 20 | 40 | 40 | 40 |
| Mean (pg/mL) | 16.2 | 29.9 | 52.6 | 17.2 | 30.8 | 60.9 |
| Standard Deviation | 1.07 | 0.92 | 2.41 | 1.21 | 1.53 | 3.6 |
| CV% | 6.6 | 3.1 | 4.6 | 7 | 5 | 5.9 |
Recovery
The recovery of Cystatin C spiked to levels throughout the range of the assay was evaluated.
| Sample Type | Average % Recovery | Range % |
|---|---|---|
| Cell Culture Media (n=4) | 96 | 88-102 |
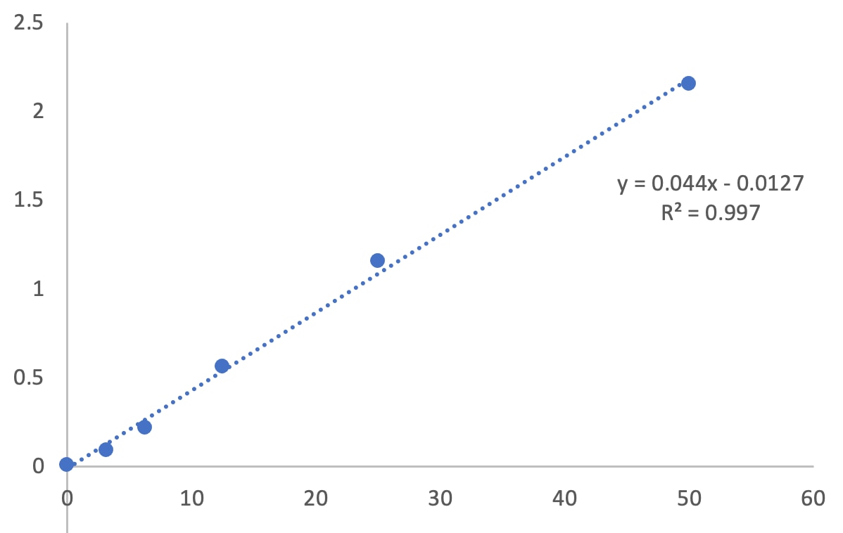
Linearity
Scientific Data
Product Datasheets
Preparation and Storage
Background: Cystatin C
Cystatin C is a secreted cysteine protease inhibitor that inhibits Cathepsins B, H, K, L, and S. Cystatin C serum concentration correlates closely to the glomerular filtration rate (GFR); elevated levels are associated with coronary artery and cardiovascular disease risk. Dysregulation of Cystatin C can modulate tumor growth and metastasis. In humans, the L68Q variant forms dimers and oligomers more easily than wild type protein and is the cause for hereditary Cystatin C amyloid angiopathy.
Assay Procedure
Refer to the product- Prepare all reagents, standard dilutions, and samples as directed in the product insert.
- Remove excess microplate strips from the plate frame, return them to the foil pouch containing the desiccant pack, and reseal.
- Add 100 µL of Assay Diluent to each well.
- Add 50 µL of Standard, control, or sample to each well. Cover with a plate sealer, and incubate at 2-8 °C for 3 hours.
- Aspirate each well and wash, repeating the process 3 times for a total of 4 washes.
- Add 200 µL of cold Conjugate to each well. Cover with a new plate sealer, and incubate at 2-8 °C for 1 hour.
- Aspirate and wash 4 times.
- Add 200 µL Substrate Solution to each well. Incubate at room temperature for 30 minutes. PROTECT FROM LIGHT.
- Add 50 µL of Stop Solution to each well. Read at 450 nm within 30 minutes. Set wavelength correction to 540 nm or 570 nm.





Citations for Human Cystatin C Quantikine ELISA Kit
R&D Systems personnel manually curate a database that contains references using R&D Systems products. The data collected includes not only links to publications in PubMed, but also provides information about sample types, species, and experimental conditions.
32
Citations: Showing 1 - 10
Filter your results:
Filter by:
-
Associations of cystatin C with incident chronic kidney disease and all-cause mortality in patients with normal glucose tolerance and prediabetes
Authors: Lin, GH;Lin, CH;Wang, JS;
Scientific reports
Species: Human
Sample Types: Serum
-
Comparison of Measured Glomerular Filtration Rate Versus Estimated Glomerular Filtration Rate in Indian Cirrhotic Patients: Report of a Pilot Study
Authors: Divyaveer, S;Kashyap, M;Kekan, K;Yadav, AK;Kaur, J;Premkumar, M;Gandotra, A;Prajapati, K;De, A;Duseja, AK;Verma, N;Aggarwal, R;Venkatasubramanian, V;Tiwari, V;Bagur, V;Patil, AN;Safiq, N;Kohli, HS;
Journal of clinical and experimental hepatology
Species: Human
Sample Types: Plasma
-
Urinary biomarkers in metastatic bone pain: Results from a multicentre randomized trial of ibandronate compared to single dose radiotherapy for localized metastatic bone pain in prostate cancer (RIB)
Authors: Hoskin, PJ;Malhi, A;Reczko, K;Hackshaw, A;
Journal of bone oncology
Species: Human
Sample Types: Urine
-
KIM-1, IL-18, and NGAL, in the Machine Learning Prediction of Kidney Injury among Children Undergoing Hematopoietic Stem Cell Transplantation-A Pilot Study
Authors: Musia?, K;Stojanowski, J;Mi?kiewicz-Bujna, J;Ka?wak, K;Ussowicz, M;
International journal of molecular sciences
Species: Human
Sample Types: Serum
-
Optimizing Vancomycin Therapy in Critically Ill Children: A Population Pharmacokinetics Study to Inform Vancomycin Area under the Curve Estimation Using Novel Biomarkers
Authors: Downes, KJ;Zuppa, AF;Sharova, A;Neely, MN;
Pharmaceutics
Species: Human
Sample Types: Plasma, Urine
-
Prenatal Metal Exposures and Associations with Kidney Injury Biomarkers in Children
Authors: MD Politis, M Yao, C Gennings, M Tamayo-Ort, D Valvi, S Kim-Schulz, J Qi, C Amarasiriw, I Pantic, MC Tolentino, G Estrada-Gu, JH Greenberg, MM Téllez-Roj, RO Wright, AP Sanders, MJ Rosa
Toxics, 2022-11-16;10(11):.
Species: Human
Sample Types: Serum
-
CD14 and CD26 from serum exosomes are associated with type 2 diabetes, exosomal Cystatin C and CD14 are associated with metabolic syndrome and atherogenic index of plasma
Authors: CP Pérez-Mace, E Flores-Alf, LDC Alarcón-Ro, A Vences-Vel, N Castro-Ala, E Martínez-M, M Ramirez
PeerJ, 2022-07-12;10(0):e13656.
Species: Human
Sample Types: Cell Lysates
-
Prenatal and early childhood critical windows for the association of nephrotoxic metal and metalloid mixtures with kidney function
Authors: AP Sanders, C Gennings, M Tamayo-Ort, S Mistry, I Pantic, M Martinez, G Estrada-Gu, A Espejel-Nu, LT Olascoaga, RO Wright, MM Téllez-Roj, M Arora, C Austin
Oncogene, 2022-06-27;166(0):107361.
Species: Human
Sample Types: Serum
-
Acute kidney injury in hospitalized children with sickle cell anemia
Authors: A Batte, S Menon, J Ssenkusu, S Kiguli, R Kalyesubul, J Lubega, EI Mutebi, RO Opoka, CC John, MC Starr, AL Conroy
Bmc Nephrology, 2022-03-18;23(1):110.
Species: Human
Sample Types: Plasma
-
Cerebrospinal Fluid EV Concentration and Size Are Altered in Alzheimer's Disease and Dementia with Lewy Bodies
Authors: A Longobardi, R Nicsanu, S Bellini, R Squitti, M Catania, P Tiraboschi, C Saraceno, C Ferrari, R Zanardini, G Binetti, G Di Fede, L Benussi, R Ghidoni
Cells, 2022-01-28;11(3):.
Species: Human
Sample Types: CSF
-
Impact of Chronic Kidney Disease on the Associations of Cardiovascular Biomarkers With Adverse Outcomes in Patients With Suspected or Known Coronary Artery Disease: The EXCEED-J Study
Authors: H Wada, T Shinozaki, M Suzuki, S Sakagami, Y Ajiro, J Funada, M Matsuda, M Shimizu, T Takenaka, Y Morita, K Yonezawa, H Matsubara, Y Ono, T Nakamura, K Fujimoto, A Ninomiya, T Kato, T Unoki, D Takagi, K Wada, M Wada, M Iguchi, H Yamakage, T Kusakabe, A Yasoda, A Shimatsu, K Kotani, N Satoh-Asah, M Abe, M Akao, K Hasegawa, EXCEED?J S
Journal of the American Heart Association, 2022-01-20;11(3):e023464.
Species: Human
Sample Types: Serum
-
Advanced glycation end products as predictors of renal function in youth with type 1 diabetes
Authors: JM Forbes, S Le Bagge, S Righi, AK Fotheringh, LA Gallo, DA McCarthy, S Leung, T Baskervill, J Nisbett, A Morton, S Teasdale, N D'Silva, H Barrett, T Jones, J Couper, K Donaghue, N Isbel, DW Johnson, L Donnellan, P Deo, LK Akison, KM Moritz, T O'Moore-Su
Scientific Reports, 2021-05-03;11(1):9422.
Species: Human
Sample Types: Serum
-
Prenatal blood lead levels and reduced preadolescent glomerular filtration rate: Modification by body mass index
Authors: C Saylor, M Tamayo-Ort, I Pantic, C Amarasiriw, N McRae, G Estrada-Gu, S Parra-Hern, MC Tolentino, AA Baccarelli, JJ Fadrowski, C Gennings, LM Satlin, RO Wright, MM Tellez-Roj, AP Sanders
Environment international, 2021-03-04;0(0):106414.
Species: Human
Sample Types: Serum
-
The impact of dyslipidemia on early markers of endothelial and renal dysfunction in children
Authors: C Kosmeri, H Milionis, AP Vlahos, T Benekos, E Bairaktari, V Cholevas, E Siomou
Journal of clinical lipidology, 2020-12-11;0(0):.
Species: Human
Sample Types: Serum
-
Changes in Water Soluble Uremic Toxins and Urinary Acute Kidney Injury Biomarkers After 10- and 100-km Runs
Authors: W Wo?yniec, K Kasprowicz, J Giebu?towi, N Korytowska, K Zorena, M Bartoszewi, P Rita-Tkach, M Renke, W Ratkowski
Int J Environ Res Public Health, 2019-10-28;16(21):.
Species: Human
Sample Types: Urine
-
The role of renal biomarkers to predict the need of surgery in congenital urinary tract obstruction in infants
Authors: D Kostic, GPNS Beozzo, SB do Couto, AHT Kato, L Lima, P Palmeira, VLJ Krebs, V Bunduki, RPV Francisco, M Zugaib, FT Dénes, WB de Carvalh, VHK Koch
J Pediatr Urol, 2019-03-16;0(0):.
Species: Human
Sample Types: Serum
-
Evaluation of neutrophil gelatinase-associated lipocalin and cystatin C as biomarkers of acute kidney injury after ST-segment elevation myocardial infarction treated by percutaneous coronary intervention
Authors: LS Nguyen, V Spagnoli, M Kerneis, M Hauguel-Mo, O Barthélémy, JP Collet, G Montalesco, J Silvain
Arch Cardiovasc Dis, 2019-01-09;0(0):.
Species: Human
Sample Types: Plasma
-
Increased Cathepsin S activity associated with decreased protease inhibitory capacity contributes to altered tear proteins in Sj�gren's Syndrome patients
Authors: MC Edman, SR Janga, Z Meng, M Bechtold, AF Chen, C Kim, L Naman, A Sarma, N Teekappana, AY Kim, S Madrigal, S Singh, E Ortiz, S Christiana, DG Arkfeld, WJ Mack, M Heur, W Stohl, SF Hamm-Alvar
Sci Rep, 2018-07-23;8(1):11044.
Species: Human
Sample Types: Tears
-
Influence of the 6-month physical activity programs on renal function in obese boys
Authors: I Lousa, H Nascimento, S Rocha, C Catarino, F Reis, C Rêgo, A Santos-Sil, A Seabra, S Ribeiro, L Belo
Pediatr. Res., 2018-04-11;0(0):.
Species: Human
Sample Types: Plasma
-
Association of Biomarker Clusters With Cardiac Phenotypes and Mortality in Patients With HIV Infection
Authors: R Scherzer, SJ Shah, E Secemsky, J Butler, C Grunfeld, MG Shlipak, PY Hsue
Circ Heart Fail, 2018-04-01;11(4):e004312.
Species: Human
Sample Types: Serum
-
Identifying biomarkers of dementia prevalent among amnestic mild cognitively impaired ethnic female patients
Alzheimers Res Ther, 2016-10-18;8(1):43.
Species: Human
Sample Types: Plasma
-
Neonatal acute kidney injury following Valsartan exposure in utero: report of two cases
Authors: V Drossou-Ag
Hippokratia, 2016-01-01;20(1):73-75.
Species: Human
Sample Types: Urine
-
Combined Biomarker Analysis for Risk of Acute Kidney Injury in Patients with ST-Segment Elevation Myocardial Infarction.
Authors: Tung Y, Chang C, Chen Y, Chu P
PLoS ONE, 2015-04-08;10(4):e0125282.
Species: Human
Sample Types: Serum
-
A novel PKD1 variant demonstrates a disease-modifying role in trans with a truncating PKD1 mutation in patients with autosomal dominant polycystic kidney disease.
Authors: Ali H, Hussain N, Naim M, Zayed M, Al-Mulla F, Kehinde E, Seaburg L, Sundsbak J, Harris P
BMC Nephrol, 2015-03-01;16(0):26.
Species: Human
Sample Types: Serum
-
Age-related changes of cystatin C expression and polarized secretion by retinal pigment epithelium: potential age-related macular degeneration links.
Authors: Kay, Paul, Yang, Yit C, Hiscott, Paul, Gray, Donna, Maminishkis, Arvydas, Paraoan, Luminita
Invest Ophthalmol Vis Sci, 2014-02-14;55(2):926-34.
Species: Human
Sample Types: Cell Culture Supernates
-
Acute kidney injury biomarkers for patients in a coronary care unit: a prospective cohort study.
Authors: Chen TH, Chang CH, Lin CY, Jenq CC, Chang MY, Tian YC, Hung CC, Fang JT, Yang CW, Wen MS, Lin FC, Chen YC
PLoS ONE, 2012-02-22;7(2):e32328.
Species: Human
Sample Types: Serum
-
Increased prevalence of albuminuria in HIV-infected adults with diabetes.
Authors: Kim PS, Woods C, Dutcher L, Georgoff P, Rosenberg A, Mican JA, Kopp JB, Smith MA, Hadigan C
PLoS ONE, 2011-09-13;6(9):e24610.
Species: Human
Sample Types: Serum
-
Comprehensive analysis of conditioned media from ovarian cancer cell lines identifies novel candidate markers of epithelial ovarian cancer.
Authors: Gunawardana CG, Kuk C, Smith CR
J. Proteome Res., 2009-10-01;8(10):4705-13.
Species: Human
Sample Types: Cell Culture Supernates
-
Use of cystatin C-based estimations of glomerular filtration rate in patients with type 2 diabetes.
Authors: Chudleigh RA, Ollerton RL, Dunseath G
Diabetologia, 2009-05-09;52(7):1274-8.
Species: Human
Sample Types: Serum
-
A urinary biomarker profile for children with HIV-associated renal diseases.
Authors: Soler-Garcia AA, Rakhmanina NY, Mattison PC, Ray PE
Kidney Int., 2009-04-08;76(2):207-14.
Species: Human
Sample Types: Urine
-
Cystatin C in cerebrospinal fluid as a biomarker of ALS.
Authors: Tsuji-Akimoto S, Yabe I, Niino M, Kikuchi S, Sasaki H
Neurosci. Lett., 2009-03-06;452(1):52-5.
Species: Human
Sample Types: CSF
-
Imbalanced serum concentration between cathepsin B and cystatin C in patients with pelvic inflammatory disease.
Authors: Tsai HT, Wang PH, Tee YT, Lin LY, Hsieh YS, Yang SF
Fertil. Steril., 2008-03-07;91(2):549-55.
Species: Human
Sample Types: Serum
FAQs
No product specific FAQs exist for this product, however you may
View all ELISA FAQsReviews for Human Cystatin C Quantikine ELISA Kit
Average Rating: 4.7 (Based on 6 Reviews)
Have you used Human Cystatin C Quantikine ELISA Kit?
Submit a review and receive an Amazon gift card.
$25/€18/£15/$25CAN/¥75 Yuan/¥2500 Yen for a review with an image
$10/€7/£6/$10 CAD/¥70 Yuan/¥1110 Yen for a review without an image
Filter by:
