22 results for "P2X Receptor Antagonists" in 产品

P2X Receptor Antagonists

P2X Purinergic Receptor Subunits

Each functional P2X receptor is formed from either three identical subunits (homomeric) or a combination of two or three different subunits (heteromeric). Except for P2X6, all subunits can form homomeric receptors, however, P2X7 subunits only form homomeric receptors. Functional receptors are named for their constituent subunits, for example a homomeric receptor composed of P2X7 subunits is called a P2X7 receptor, while a heteromeric receptor composed of P2X2 ...

Show More

Competitive P2X7 antagonist

Chemical Name: 3-[[5-(2,3-Dichlorophenyl)-1H-tetrazol-1-yl]methyl]pyridine hydrochloride
Purity: ≥98%
Competitive P2X7 antagonist
Loading...

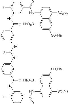
Highly selective P2X1 antagonist

Chemical Name: 4,4',4'',4'''-[Carbonylbis(imino-5,1,3-benzenetriyl-bis(carbonylimino))]tetrakis-1,3-benzenedisulfonic acid, octasodium salt
Purity: ≥90%
Highly selective P2X1 antagonist
Loading...

Potent and selective P2X7 antagonist

Chemical Name: N-[1-[[(Cyanoamino)(5-quinolinylamino)methylene]amino]-2,2-dimethylpropyl]-3,4-dimethoxybenzeneacetamide
Purity: ≥97%
Potent and selective P2X7 antagonist
Loading...

Non-competitive P2X7 antagonist

Chemical Name: 4-[(2S)-2-[(5-isoquinolinylsulfonyl)methylamino]-3-oxo-3-(4-phenyl-1-piperazinyl)propyl] phenyl isoquinolinesulfonic acid ester
Purity: ≥98%
Non-competitive P2X7 antagonist
Loading...

Potent and selective P2X4 antagonist

Chemical Name: 5-(3-Bromophenyl)-1,3-dihydro-2H-benzofuro[3,2-e]-1,4-diazepin-2-one
Purity: ≥98%
Potent and selective P2X4 antagonist
Loading...

Potent and selective P2X antagonist

Chemical Name: 2',3'-O-(2,4,6-Trinitrophenyl)adenosine-5'-triphosphate tetra(triethylammonium) salt
Purity: ≥95%
Potent and selective P2X antagonist
Loading...

Potent and selective human P2X7 antagonist

Chemical Name: 3-[1-[[(3'-Nitro[1,1'-biphenyl]-4-yl)oxy]methyl]-3-(4-pyridinyl)propyl]-2,4-thiazolidinedione
Purity: ≥98%
Potent and selective human P2X7 antagonist
Loading...

Potent P2X7 antagonist

Chemical Name: N-[2-[[2-[(2-Hydroxyethyl)amino]ethyl]amino]-5-quinolinyl]-2-tricyclo[3.3.1.13,7]dec-1-ylacetamide dihydrochloride
Purity: ≥98%
Potent P2X7 antagonist
Loading...

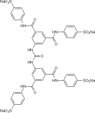
Non-selective P2 antagonist

Chemical Name: 8,8'-[Carbonylbis[imino-3,1-phenylenecarbonylimino(4-methyl-3,1-phenylene)carbonylimino]]bis-1,3,5-naphthalenetrisulfonic acid hexasodium salt
Purity: ≥98%
Non-selective P2 antagonist
Loading...

Non-selective P2 antagonist

Chemical Name: Pyridoxalphosphate-6-azophenyl-2',4'-disulfonic acid tetrasodium salt
Non-selective P2 antagonist
Loading...

Selective P2Y11 and P2X1 antagonist

Chemical Name: 8,8'-[Carbonylbis[imino-3,1-phenylenecarbonylimino(4-fluoro-3,1-phenylene)carbonylimino]]bis-1,3,5-naphthalenetrisulfonic acid hexasodium salt
Purity: ≥90%
Selective P2Y11 and P2X1 antagonist
Loading...

Potent and selective P2X7 antagonist

Chemical Name: N-Cyano-N"-[(1S)-1-phenylethyl]-N'-5-quinolinyl-guanidine
Purity: ≥98%
Potent and selective P2X7 antagonist
Loading...

Non-selective P2X antagonist

Chemical Name: Pyridoxalphosphate-6-azophenyl-2',5'-disulfonic acid tetrasodium salt
Non-selective P2X antagonist
Loading...

Dye for assessing cell viability and blood brain barrier permeability; also EAAT inhibitor and iGluR antagonist

Chemical Name: 6,6-[(3,3'-Dimethyl[1,1'-biphenyl]-4,4'-diyl)bis(azo)bis[4-amino- 5-hydroxy-1,3-naphthalenedisulphonic acid] tetrasodium salt
Purity: ≥90%
Dye for assessing cell viability and blood brain barrier permeability; also EAAT inhibitor and iGluR antagonist
Loading...

Potent and selective P2X1 antagonist

Chemical Name: 8,8'-[Carbonylbis(imino-4,1-phenylenecarbonylimino-4,1-phenylenecarbonylimino)]bis-1,3,5-naphthalenetrisulfonic acid hexasodium salt
Purity: ≥95%
Potent and selective P2X1 antagonist
Loading...

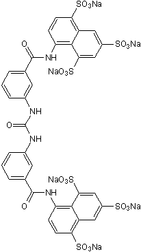
Selective and competitive P2X1 antagonist

Chemical Name: 8,8'-[carbonylbis(imino-3,1-phenylenecarbonylimino)]bis-1,3,5-naphthalene-trisulphonic acid, hexasodium salt
Selective and competitive P2X1 antagonist
Loading...

Potent and selective P2X7 antagonist; brain penetrant

Chemical Name: 2-(Phenylthio)-N-[[tetrahydro-4-(4-phenyl-1-piperazinyl)-2H-pyran-4-yl]methyl-3-pyridinecarboxamide
Purity: ≥98%
Potent and selective P2X7 antagonist; brain penetrant
Loading...

Selective P2X4 allosteric antagonist

Chemical Name: N-[2,6-Dibromo-4-(1-methylethyl)phenyl]-N'-(3-pyridinyl)urea
Purity: ≥98%
Selective P2X4 allosteric antagonist
Loading...

Potent P2X3 antagonist

Chemical Name: 4,4',4'',4'''-[Carbonylbis[imino-5,1,3-benzenetriylbis(carbonylimino)]]tetrakisbenzenesulfonic acid tetrasodium salt
Purity: ≥90%
Potent P2X3 antagonist
Loading...

Selective P2X3 and P2X2/3 antagonist

Chemical Name: 5-[[4,5-Dimethoxy-2-(methylethyl)phenyl]methyl]-2,4-pyrimidinediamine
Purity: ≥98%
Selective P2X3 and P2X2/3 antagonist
Loading...

Selective, high affinity P2X3 and P2X2/3 antagonist; antinociceptive

Chemical Name: 5-[[[(3-Phenoxyphenyl)methyl][(1S)-1,2,3,4-tetrahydro-1-naphthalenyl]amino]carbonyl]-1,2,4-benzenetricarboxylic acid disodium salt
Purity: ≥98%
Selective, high affinity P2X3 and P2X2/3 antagonist; antinociceptive
Loading...

Selective P2X4 antagonist

Chemical Name: N-[3-(Aminosulfonyl)-4-(3-chlorophenoxy)phenyl]benzeneacetamide
Purity: ≥98%
Selective P2X4 antagonist
Loading...
Results Per Page
5 10 25 50
  • / 1