71 results for "Fluorescent Probes" in 产品

Fluorescent Probes

Fluorescent probes bound to receptors or proteins enable researchers to detect particular components of complex biomolecular assemblies, such as live cells, with high sensitivity and selectivity. Tocris also offers a wide selection of fluorescent dyes and labels and stains.

Brain penetrant fluorescent amyloid β probe. Used for: detection and quantification of plaques, tangles and cerebrovascular amyloid. Application: confocal microscopy, suitable for in vivo imaging

Chemical Name: 4,4'-[(2-methoxy-1,4-phenylene)di-(1E)-2,1-ethenediyl]bisphenol
Purity: ≥98%
Fluorescent amyloid β detector; brain penetrant
Loading...

Signal amplification kit for use in ISH, ICC and IHC

Application of ClariTSA™ Fluorophore Kit 650 in RNAscope Multiplex Fluorescent v2 Assay
Loading...

Signal amplification kit for use in ISH, ICC and IHC

Application of ClariTSA™ Fluorophore Kit 520 in RNAscope Multiplex Fluorescent v2 Assay
Loading...

Signal amplification kit for use in ISH, ICC and IHC

Application of ClariTSA™ Fluorophore Kit 570 in RNAscope Multiplex Fluorescent v2 Assay
Loading...

Universal red fluorescent mitochondrial stain for both live and fixed cells

Purity: ≥95%
Mitobrilliant 646 product image
(3)
Loading...

Green-fluorescent taxol derivative; binds microtubules. Used for: imaging microtubules in live cells. Application: Fluorescent microscopy

Chemical Name: (2aR,4S,4aS,6R,9S,11S,12S,12aR,12bS)-6,12b-Bis(acetyloxy)-9-[(2R,3S)-3-(benzoylamino)-2-hydroxy-1-oxo-3-phenylpropoxy]-12-(benzoyloxy)-2a,3,4,4a,5,6,9,10,11,12,12a,12b-dodecahydro-11-hydroxy-4a,8,13,13-tetramethyl-5-oxo-7,11-methano-1H-cyclodeca[3,4]benz[1,2-b]oxet-4-yl ester N-[(3',6'-dihydroxy-3-oxospiro[isobenzofuran-1(3H),9'-[9H]xanthen]-5-yl)carbonyl]-L-alanine
Purity: ≥95%
flutax 1 labeled HeLa cells
(2)
Loading...

Fluorescent mitochondrial hydrogen peroxide indicator. Used for: live cell imaging. Application: confocal microscopy

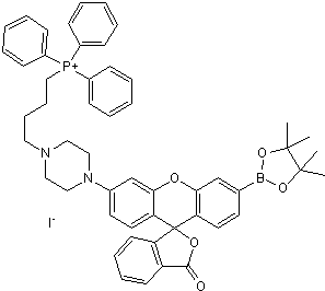
Chemical Name: [4-[4-[3-Oxo-6'-(4,4,5,5-tetramethyl-1,3,2-dioxaborolan-2-yl)spiro[isobenzofuran-1(3H),9'-[9H]xanthen]-3'-yl]-1-piperazinyl]butyl]triphenyl-phosphonium iodide
Fluorescent mitochondrial hydrogen peroxide indicator
Loading...

Fluorescent hydrogen peroxide indicator

Alternate Names: PO1
Chemical Name: 2',3',6',7'-Tetrahydro-12'-(4,4,5,5-tetramethyl-1,3,2-dioxaborolan-2-yl)-spiro[isobenzofuran-1(3H),9'-[1H,5H,9H]xantheno[2,3,4-ij]quinolizin]-3-one
Purity: ≥98%
Fluorescent hydrogen peroxide indicator
Loading...

GFP fluorophore mimic for imaging RNA in living cells; activated by binding Spinach2 and Broccoli aptamers

Chemical Name: (5Z)-5-[(3,5-Difluoro-4-hydroxyphenyl)methylene]-3,5-dihydro-2-methyl-3-(2,2,2-trifluoroethyl)-4H-imidazol-4-one
Purity: ≥98%
GFP fluorophore mimic for imaging RNA in living cells; activated by binding Spinach2 and Broccoli aptamers
Loading...

Green fluorescent reagent widely used for signal amplification in IHC and FISH

Chemical Name: 3',6'-Dihydroxy-N-(4-hydroxyphenylethyl)-3-oxo-3H-spiro[isobenzofuran-1,9'-xanthene]-5(6)-carboxamide
Purity: ≥95%
Green fluorescent reagent widely used for signal amplification in IHC and FISH
Loading...

Fluorescent Ca2+ indicator

Chemical Name: 2-[6-[bis[2-[(Acetyloxy)methoxy]-2-oxoethyl]amino]-5-[2-[2-[bis[2-[(acetyloxy)methoxy]-2-oxoethyl]amino]-5-methylphenoxy]ethoxy]-2-benzofuranyl]-5-oxazolecarboxylic acid (acetyloxy)methyl ester
Purity: ≥95%
Fluorescent Ca2+ indicator
Loading...

NAADP antagonist; inhibits Ca2+ release

Chemical Name: (1R,3S)-1-[3-[[4-(2-Fluorophenyl)piperazin-1-yl]methyl]-4-methoxyphenyl]-2,3,4,9-tetrahydro-1H-pyrido[3,4-b]indole-3-carboxylic acid
Purity: ≥98%
NAADP antagonist; inhibits Ca2+ release
Loading...

Fluorescent VMAT2 substrate

Chemical Name: 4-(2-Aminoethyl)-7-(methylamino)-2H-1-benzopyran-2-one dihydrochloride
Purity: ≥98%
Fluorescent VMAT2 substrate
Loading...

Cell permeable non-fluorescent compound; green-fluorescent in living cells once hydrolyzed. Used for: cell tracing and cell viability monitoring. Application: fluorescent microscopy and flow cytometry

Chemical Name: N,N'-[[3',6'-Bis(acetyloxy)-oxospiro[isobenzofuran-1-(3H),9'-(9H)xanthene]-4',5'-diyl]bis(methylene)]bis[N-[2-(acetyloxy)methoxy]-2-oxoethyl]glycine 1,1'-bis[(acetyloxy)methyl] ester
Purity: ≥90%
Cell permeable compound; hydrolyzed to become fluorescent in living cells
Loading...

Green-fluorescent cytoskeleton stain. Binds and labels F-actin. Used for: F-actin staining. Application: fluorescent microscopy, immunofluorescence (IHC, ICC)

Chemical Name: 7-[(4R)-N5-[[(3',6'-Dihydroxy-3-oxospiro[isobenzofuran-1(3H),9'-[9H]xanthen]-5-yl)amino]thioxomethyl]-4-hydroxy-4-methyl-L-ornithine]phalloidin
Purity: ≥90%
Applications in HeLa Cells for Phalloidin-FITC
(2)
Loading...

Selective fluorescent VMAT2 substrate

Chemical Name: 4-(2-Aminoethyl)-7-amino-2H-1-benzopyran-2-one dihydrochloride
Purity: ≥98%
FFN 200 dihydrochloride application
(2)
Loading...

Orange fluorescent reagent widely used for signal amplification in IHC and FISH

Chemical Name: 2-[3-[(1-Ethyl-1,3-dihydro-3,3-dimethyl-5-sulfo-2H-indol-2-ylidene)-1-propen-1-yl]-1-[6-[[2-(4-hydroxyphenyl)ethyl]amino-6-oxohexyl]-3,3-dimethyl-5-sulfo-3H-indolium inner salt
Purity: ≥95%
Orange fluorescent reagent widely used for signal amplification in IHC and FISH
Loading...

Red fluorescent reagent widely used for signal amplification in IHC and FISH

Alternate Names: Cy5 Tyramide
Chemical Name: 2-[5-[1,3-Dihydro-1-[6-[[2-(4-hydroxyphenyl)ethyl]amino]-6-oxohexyl]3,3-dimethyl-5-sulfo-2H-indol-2-ylidene]-1,3-pentadien-1-yl]-1-ethyl-3,3-dimethyl-5-sulfo-3H-indolium inner salt
Purity: ≥95%
Red fluorescent reagent widely used for signal amplification in IHC and FISH
Loading...

Fluorescent substrate for NET and VMAT2

Chemical Name: 3-(2-Aminoethyl)-8-fluoro-7-hydroxy-2H-chromen-2-one hydrochloride
Purity: ≥98%
FFN 270 application
(2)
Loading...

Cell-permeable fluorescent amyloid stain. Used for: in vitro Aβ staining in brain tissues.

Chemical Name: 2-[4-(Dimethylamino)phenyl]-3,6-dimethylbenzothiazolium chloride
Purity: ≥95%
Fluorescent amyloid stain, binds to the stacked β sheets of amyloid fibrils
Loading...

Amyloid fibril-specific fluorescent probe. Used for: amyloid fibril detection. Application: fluorescence microscopy, confocal microscopy

Chemical Name: 4,4'-[(2-Bromo-1,4-phenylene)di-(1E)-2,1-ethenediyl]bisphenol
Purity: ≥98%
Amyloid fibril-specific fluorescent dye
Loading...

H2S fluorescent probe

Chemical Name: N-[2-[(Acetyloxy)methoxy]-2-oxoethyl]-N-[(3',6'-diazido-3-oxospiro[isobenzofuran-1(3H),9'-[9H]xanthen]-5-yl)carbonyl]glycine (acetyloxy)methyl ester
H2S fluorescent probe
Loading...

Chemiluminescent ROS and RNS indicator

Chemical Name: 8-Amino-5-chloro-2,3-dihydro-7-phenyl-pyrido[3,4-d]pyridazine sodium salt
Purity: ≥98%
Chemiluminescent ROS and RNS indicator
Loading...

Fluorescent dye. Used for: synaptic vesicles staining. Application: fluorescence microscopy

Alternate Names: FM4-64
Chemical Name: 4-[6-[4-(Diethylamino)phenyl]-1,3,5-hexatrien-1-yl]-1-[3-(triethylammonio)propyl]pyridinium dibromide
Purity: ≥95%
Fluorescent dye; stains synaptic vesicles
Loading...

Selective fluorescent substrate of DAT and VMAT2

Chemical Name: 4-(2-Aminoethyl)-6-chloro-7-hydroxy-2H-1-benzopyran-2-one methanesulfonate
Purity: ≥98%
Selective fluorescent substrate of DAT and VMAT2
Loading...
Results Per Page
5 10 25 50