Mouse VEGFR2/KDR/Flk-1 Antibody Summary
Ala20-Glu762
Accession # P35918
Applications
Please Note: Optimal dilutions should be determined by each laboratory for each application. General Protocols are available in the Technical Information section on our website.
Scientific Data
View Larger
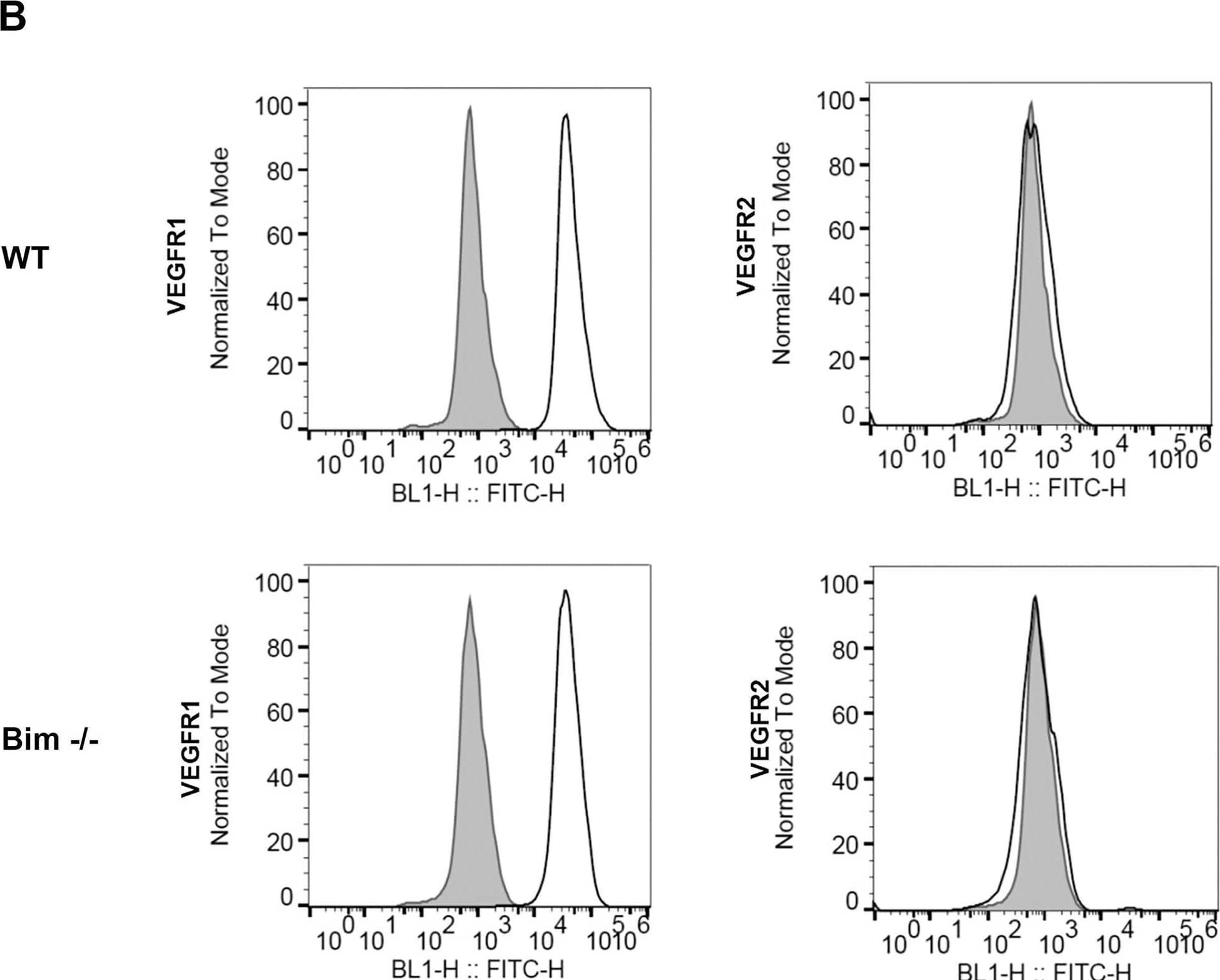
Detection of VEGFR2/KDR/Flk-1 by Flow Cytometry Increased VEGF expression in the absence of Bim. In Panel A, VEGF levels of wild-type and Bim -/- astroglial cells were determined utilizing an ELISA as described in the Methods section. In Panel B, FACScan analysis was employed to assess VEGFR1 and VEGFR2 expression in wild-type and Bim -/- astroglial cells. The shaded histogram denotes staining in the presence of control IgG. Please note increased VEGF expression in the absence of Bim. No VEGFR2 expression was noted in retinal astroglial cells. (P***< 0.001; n = 6; student’s unpaired t-test (2-tailed) was utilized). Image collected and cropped by CiteAb from the following open publication (https://pubmed.ncbi.nlm.nih.gov/32365083), licensed under a CC-BY license. Not internally tested by R&D Systems.
Reconstitution Calculator
Preparation and Storage
- 12 months from date of receipt, -20 to -70 °C as supplied.
- 1 month, 2 to 8 °C under sterile conditions after reconstitution.
- 6 months, -20 to -70 °C under sterile conditions after reconstitution.
Background: VEGFR2/KDR/Flk-1
VEGFR2 (KDR/Flk-1), VEGFR1 (Flt-1) and VEGFR3 (Flt-4) belong to the class III subfamily of receptor tyrosine kinases (RTKs). All three receptors contain seven immunoglobulin-like repeats in their extracellular domains and kinase insert domains in their intracellular regions. The expression of VEGFR1, 2, and 3 is almost exclusively restricted to the endothelial cells. These receptors are likely to play essential roles in vasculogenesis and angiogenesis.
Mouse VEGFR2 cDNA encodes a 1367 amino acid (aa) residue precursor protein with a 19 aa residue signal peptide. Mature VEGFR2 is composed of a 743 aa residue extracellular domain, a 22 aa residue transmembrane domain and a 583 aa residue cytoplasmic domain. In contrast to VEGFR1 which binds both PlGF and VEGF with high affinity, VEGFR2 binds VEGF but not PlGF with high affinity. The recombinant soluble VEGFR2/Fc chimera binds VEGF with high affinity and is a potent VEGF antagonist.
- Ferra, N. and R. Davis-Smyth (1997) Endocrine Reviews 18:4.
- Achen, M.G. et al. (1998) Proc. Natl. Acad. Sci. USA. 95:548.
Product Datasheets
Citations for Mouse VEGFR2/KDR/Flk-1 Antibody
R&D Systems personnel manually curate a database that contains references using R&D Systems products. The data collected includes not only links to publications in PubMed, but also provides information about sample types, species, and experimental conditions.
5
Citations: Showing 1 - 5
Filter your results:
Filter by:
-
1,25(OH)2D3 regulates the proangiogenic activity of pericyte through VDR-mediated modulation of VEGF production and signaling of VEGF and PDGF receptors
Authors: Nasim Jamali, Yong‐Seok Song, Christine M. Sorenson, Nader Sheibani
FASEB BioAdvances
-
Bim expression modulates the pro-inflammatory phenotype of retinal astroglial cells
Authors: J Falero-Per, N Sheibani, CM Sorenson
PLoS ONE, 2020-05-04;15(5):e0232779.
Species: Mouse
Sample Types: Whole Cells
Applications: Flow Cytometry -
Cyp1b1 expression impacts the angiogenic and inflammatory properties of liver sinusoidal endothelial cells
Authors: J Falero-Per, YS Song, Y Zhao, L Teixeira, CM Sorenson, N Sheibani
PLoS ONE, 2018-10-29;13(10):e0206756.
Species: Mouse
Sample Types: Whole Cells
Applications: Flow Cytometry -
Dysfunctional microvasculature as a consequence of shb gene inactivation causes impaired tumor growth.
Authors: Funa NS, Kriz V, Zang G, Calounova G, Akerblom B, Mares J, Larsson E, Sun Y, Betsholtz C, Welsh M
Cancer Res., 2009-02-17;69(5):2141-8.
Species: Mouse
Sample Types: Cell Lysates
Applications: Western Blot -
PEDF expression affects retinal endothelial cell proangiogenic properties through alterations in cell adhesive mechanisms
Authors: Juliana Falero-Perez, SunYoung Park, Christine M. Sorenson, Nader Sheibani
American Journal of Physiology-Cell Physiology
FAQs
No product specific FAQs exist for this product, however you may
View all Antibody FAQsReviews for Mouse VEGFR2/KDR/Flk-1 Antibody
There are currently no reviews for this product. Be the first to review Mouse VEGFR2/KDR/Flk-1 Antibody and earn rewards!
Have you used Mouse VEGFR2/KDR/Flk-1 Antibody?
Submit a review and receive an Amazon gift card.
$25/€18/£15/$25CAN/¥75 Yuan/¥2500 Yen for a review with an image
$10/€7/£6/$10 CAD/¥70 Yuan/¥1110 Yen for a review without an image
