11 results for "Multidrug Transporter Inhibitors" in Products

Multidrug Transporter Inhibitors

ATP-binding cassette (ABC) transporters form one of the largest groups of paralogous protein families that have a wide diversity of functions and substrates. Specificity has been shown for small and large molecules, highly charged molecules and highly hydrophobic molecule systems such as that for polysaccharides. Multidrug transporters (MDRs) are a specific type of ABC transporter and are commonly overexpressed in cancer cells.

P-glycoprotein (P-gp, ABCB1, MDR1) is a well-characterized human ...

Show More

Potent and selective BCRP inhibitor

Chemical Name: (3S,6S,12aS)-1,2,3,4,6,7,12,12a-Octahydro-9-methoxy-6-(2-methylpropyl)-1,4-dioxopyrazino[1',2':1,6]pyrido[3,4-b]indole-3-propanoic acid 1,1-dimethylethyl ester
Purity: ≥98%
Potent and selective BCRP inhibitor
Loading...

MRP and OAT3 inhibitor

Chemical Name: 4-(Dipropylsulfamoyl)benzoic acid
Purity: ≥98%
MRP and OAT3 inhibitor
Loading...

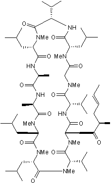
Inhibitor of P-gp-mediated MDR

Alternate Names: Valspodar
Chemical Name: 6-[(2S,4R,6E)-4-methyl-2-(methylamino)-3-oxo-6-octenoic acid]-7-L-valine-cyclosporin A
Purity: ≥98%
Inhibitor of P-gp-mediated MDR
Loading...

P-gp and BCRP inhibitor

Alternate Names: GF 120918
Chemical Name: N-[4-[2-(3,4-Dihydro-6,7-dimethoxy-2(1H)-isoquinolinyl)ethyl]phenyl]-9,10-dihydro-5-methoxy-9-oxo-4-acridinecarboxamide hydrochloride
Purity: ≥98%
P-gp and BCRP inhibitor
Loading...

Potent CysLT1 (LTD4) inverse agonist. Also MRP1 inhibitor

Alternate Names: L-660711
Chemical Name: 3-[[[3-[(1E)-2-(7-Chloro-2-quinolinyl)ethenyl]phenyl][[3-(dimethylamino)-3-oxopropyl]thio]methyl]thio]propanoic acid
Purity: ≥98%
Potent CysLT1 (LTD4) inverse agonist. Also MRP1 inhibitor
Loading...

Selective MRP1 and P-gp inhibitor

Chemical Name: N-[3-(4-Morpholinyl)propyl]-5,7-diphenylpyrazolo[1,5-a]pyrimidine-3-carboxamide
Purity: ≥95%
Selective MRP1 and P-gp inhibitor
Loading...

Potent inhibitor of multidrug and toxin extrusion (MATE) transporters; also DHFR and STAT3 inhibitor

Chemical Name: 5-(4-Chlorophenyl)-6-ethyl-2,4-pyrimidinediamine
Purity: ≥98%
Potent inhibitor of multidrug and toxin extrusion (MATE) transporters; also DHFR and STAT3 inhibitor
Loading...

Selective BCRP inhibitor

Chemical Name: N-[4-(2-Hydroxyethyl)phenyl]-2-[(4-nitrobenzoyl)amino]benzamide
Purity: ≥98%
Selective BCRP inhibitor
Loading...

P-gp inhibitor

Chemical Name: 4-(3,4-Dihydro-6,7-dimethoxy-2(1H)-isoquinolinyl)-N-2[2-(3,4-dimethoxyphenyl)ethyl]-6,7-dimethoxy-2-quinazolinamine hydrochloride
Purity: ≥98%
P-gp inhibitor
Loading...

Potent P-glycoprotein (P-gp) inhibitor

Chemical Name: N-[2-[[[4-[2-(3,4-dihydro-6,7-dimethoxy-2(1H)-isoquinolinyl)ethyl]phenyl]amino]carbonyl]-4,5-dimethoxyphenyl]-3-quinolinecarbxamide dihydrochloride
Purity: ≥98%
Potent P-glycoprotein (P-gp) inhibitor
Loading...

Selective MRP4 inhibitor

Chemical Name: 5-[(2-Benzothiazolylthio)methyl]-2,4-dihydro-4-methyl-3H-1,2,4-triazole-3-thione
Purity: ≥98%
Selective MRP4 inhibitor
Loading...
Results Per Page
5 10 25 50
  • / 1