Recombinant Human Wnt-3a Protein Summary
- R&D Systems CHO-derived Recombinant Human Wnt-3a Protein (5036-WN)
- Quality control testing to verify active proteins with lot specific assays by in-house scientists
- All R&D Systems proteins are covered with a 100% guarantee
Product Specifications
Optimal concentrations should be determined by each laboratory for each application.
Ser19-Lys352
Analysis
Product Datasheets
Carrier Free
CF stands for Carrier Free (CF). We typically add Bovine Serum Albumin (BSA) as a carrier protein to our recombinant proteins. Adding a carrier protein enhances protein stability, increases shelf-life, and allows the recombinant protein to be stored at a more dilute concentration. The carrier free version does not contain BSA.
In general, we advise purchasing the recombinant protein with BSA for use in cell or tissue culture, or as an ELISA standard. In contrast, the carrier free protein is recommended for applications, in which the presence of BSA could interfere.
5036-WN
| Formulation | Lyophilized from a 0.2 μm filtered solution in PBS, EDTA and CHAPS with BSA as a carrier protein. |
| Reconstitution | Reconstitute at 200 μg/mL in sterile PBS containing at least 0.1% human or bovine serum albumin. |
| Shipping | The product is shipped at ambient temperature. Upon receipt, store it immediately at the temperature recommended below. |
| Stability & Storage: | Use a manual defrost freezer and avoid repeated freeze-thaw cycles.
|
5036-WN/CF
| Formulation | Lyophilized from a 0.2 μm filtered solution in PBS, EDTA and CHAPS. |
| Reconstitution | Reconstitute at 200 μg/mL in sterile PBS. |
| Shipping | The product is shipped at ambient temperature. Upon receipt, store it immediately at the temperature recommended below. |
| Stability & Storage: | Use a manual defrost freezer and avoid repeated freeze-thaw cycles.
|
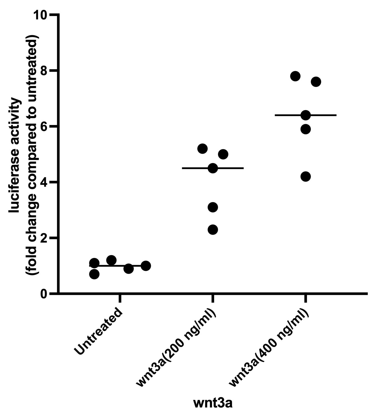
Scientific Data
View Larger
Recombinant Human Wnt-3a (Catalog # 5036-WN) induces alkaline phosphatase production by the MC3T3-E1 mouse preosteoblast cell line. The ED50 is 1.7-fold better with more than twice the maximum response compared to the top competitor's Wnt-3a.
View Larger
The lot-to-lot consistency of Recombinant Human Wnt-3a Protein (Catalog # 5036-WN) was assessed by testing the ability of three independent lots of the protein to induce alkaline phosphatase production in the MC3T3-E1 mouse preosteoblast cell line. Each trace on the graph represents data obtained from Recombinant Human Wnt-3a from a different manufacturing run. The ED50 for this effect is 5.00-25.0 ng/mL.
View Larger
iPSC-derived human intestinal organoids were cultured using Cultrex™ UltiMatrix RGF Basement Membrane Extract (BME001-05) and intestinal organoid culture medium, which includes Recombinant Human Wnt-3a (Catalog # 5036-WN), Recombinant Human EGF (236-EG), Recombinant Human Noggin (6057-NG), and Recombinant Human R-Spondin 1 (4645-RS), along with the other reagents listed in the intestinal organoid culture medium recipe in the human intestinal organoid culture protocol. (A) Human intestinal organoids were stained using a Rat Anti-Human/Mouse/Rat Vimentin Monoclonal Antibody (MAB2105; green) and a Goat Anti-Human/Mouse Desmin Antigen Affinity-purified Polyclonal Antibody (AF3844; red) to visualize myofibroblast cells and counterstained with DAPI (5748; blue). (B) Human intestinal organoids were stained using a Goat Anti-Human/Mouse E-Cadherin Antigen Affinity-purified Polyclonal Antibody (AF748; green) and a Mouse Anti-Human MUC2 Monoclonal Antibody (Novus Biologicals, Catalog # NBP2-44431; red) and counterstained with DAPI (5748; blue).
View Larger
Adult stem cells isolated from human descending colon were embedded in Cultrex UltiMatrix RGF Basement Membrane Extract (BME001-05) and cultured for 30 days in intestinal organoid culture medium, which includes Recombinant Human Wnt-3a (Catalog # 5036-WN), Recombinant Human EGF (236-EG), Recombinant Human Noggin (6057-NG), and Recombinant Human R-Spondin 1 (4645-RS), along with the other reagents listed in the intestinal organoid culture medium recipe in the human intestinal organoid culture protocol. (A) Organoids were fixed and stained with a Mouse Anti-Human MUC2 Monoclonal Antibody (Novus Biologicals; Catalog # NBP2-44431; green) to visualize intestinal goblet cells and counterstained with a Goat Anti-Human/Mouse E-Cadherin Antigen Affinity-purified Polyclonal Antibody (AF748; red) and DAPI (5748; blue). The image shown was taken at 10x magnification. (B) Organoids were fixed and stained with a Mouse Anti-Human Chromogranin A Monoclonal Antibody (MAB90981; green) to visualize enteroendocrine cells and counterstained with a Goat Anti-Human/Mouse E-Cadherin Antigen Affinity-purified Polyclonal Antibody (AF748; red) and DAPI (5748; blue). The image shown was taken at 20x magnification.
Reconstitution Calculator
Background: Wnt-3a
Wnt-3a is one of 19 vertebrate members of the Wingless-type MMTV integration site (Wnt) family of highly conserved cysteine-rich secreted glycoproteins important for normal developmental processes (1). Wnts bind to the cell surface Frizzled family receptors in conjunction with low-density lipoprotein receptor-related protein family receptors (LRP5 or 6) resulting in the stabilization of intracellular beta -catenin levels (2). As intracellular beta -catenin levels rise, beta -catenin binds to TCF/LEF transcription factors leading to expression of Wnt target genes (3). Endo-IWR 1 (Catalog # 3532, # PSM1324) is a cell-permeant small molecule inhibitor of Axin turnover that suppresses Wnt signal transduction by stabilizing the beta -catenin destruction complex (4). Wnt-3a is a 44 kDa secreted hydrophobic glycoprotein containing a conserved pattern of 24 cysteine residues (5). Wnt-3a has two N-linked glycosylation sites (Asn 87, Asn 298), and Ser 209 is modified with palmitoleic acid (6). Glycosylation and acylation are essential for efficient Wnt secretion and biological activity, respectively (6, 7). Human Wnt-3a shares 96% amino acid (aa) identity with mouse mouse, bovine and canine Wnt-3a, and 89%, 86% and 84% aa identity with chicken, Xenopus and zebrafish Wnt-3a, respectively. It also shares 87% aa identity with Wnt3. During embryonic development, Wnt-3a is necessary for proper development of the hippocampus, anterior-posterior patterning, somite development, and tailbud formation (9-12). Wnt-3a also promotes self-renewal of hematopoietic stem cells, neural stem cells, and embryonic stem cells (13, 14).
- Willert, K. and Nusse, R. (2012) Cold Spring Harb. Perspect. Biol. 4:a007864.
- MacDonald, B.T. and X. He (2012) Cold Spring Harb. Perspect. Biol. 4:a007880.
- Korinek, V. et al. (1997) Science 275:1784.
- Chen, B. et al. (2009) Nat. Chem. Biol. 5:100.
- Smolich, B.D. et al. (1993) Mol. Biol. Cell 4:1267.
- Takada, R. et al. (2006) Dev. Cell 11:791.
- Komekado, H. (2007) Genes Cells 12:521.
- Dunty Jr. W. C. et al. (2008) Development 135:85.
- Ikeya, M. and S. Takada (2001) Mech. Dev. 103:27.
- Lee, S. M. et al. (2000) Development 127:457.
- Takada, S. et al. (1994) Genes Dev. 8:174.
- Willert, K. et al. (2003) Nature 423:6938.
- Kalani, M.Y. et al. (2008) Proc. Natl. Acad. Sci. USA 105:16970.
- Ten Berge, D. et al. (2011) Nat. Cell Biol. 13:1070.
Citations for Recombinant Human Wnt-3a Protein
R&D Systems personnel manually curate a database that contains references using R&D Systems products. The data collected includes not only links to publications in PubMed, but also provides information about sample types, species, and experimental conditions.
388
Citations: Showing 1 - 10
Filter your results:
Filter by:
-
A pancreas-hippocampus feedback mechanism regulates circadian changes in depression-related behaviors
Authors: Liu, YN;Wang, QW;She, XY;Li, LJ;Wang, B;Yang, R;Li, Q;Lu, SY;Wang, YH;Shen, W;Fu, CL;Li, D;Yi, L;Wang, CX;Shi, W;Cheng, X;Cao, L;Mi, S;Yao, J;
Nature neuroscience
Species: Human
Sample Types: Whole Cells
Applications: Bioassay -
Establishment of human gastrulating stem cells with the capacity of stable differentiation into multiple gastrulating cell types
Authors: Huang, M;Chen, M;Yuan, G;Cui, Y;Shen, B;Liu, Z;Zhang, B;Chen, J;Chen, D;Qiu, S;Zhang, Y;Liu, L;Qin, L;Zhu, Y;Liu, J;Zhang, H;Wu, J;Yuan, Y;Sha, J;
Cell research
Species: Human
Sample Types: Whole Cells
Applications: Bioassay -
Local Growth Hormone Facilitates Aging of the Colon Epithelial Microenvironment
Authors: Chesnokova, V;Zonis, S;Ainsworth, R;Apaydin, T;Valencia, CW;Greiner, EC;Barrett, R;Kettenbach, AN;Melmed, S;
Aging cell
Species: Human
Sample Types: Organoid
Applications: Bioassay -
Redefining the role of IL-18 in post-surgical recovery and sepsis: a key mediator of inflammation resolution
Authors: Papatheodorou, I;Blaková, G;Bosáková, V;Tomáiková, Z;Spearing, E;Klieber, R;Ostaov, P;tíchová, J;Dvon?ová, M;Mýtniková, A;Emmer, J;Bendí?ková, K;Tomá, T;rámek, V;Kolovos, P;Holubová, M;Helán, M;Vlková, M;Fri?, J;Hortová-Kohoutková, M;
Journal of translational medicine
Species: Human
Sample Types: Organoid
Applications: Bioassay -
WNT-induced association of Frizzled and LRP6 is not sufficient for the initiation of WNT/?-catenin signaling
Authors: Voss, JH;Koszegi, Z;Yan, Y;Shorter, E;Grätz, L;Lanner, JT;Calebiro, D;Schulte, G;
Nature communications
Species: Human
Sample Types: Transfected Whole Cells
Applications: Bioassay -
Cholesterol-targeting Wnt-?-catenin signaling inhibitors for colorectal cancer
Authors: Sharma, A;Zalejski, J;Bendre, SV;Kavrokova, S;Hasdemir, HS;Ozgulbas, DG;Sun, J;Pathmasiri, KC;Shi, R;Aloulou, A;Berkley, K;Delisle, CF;Wang, Y;Weisser, E;Buweneka, P;Pierre-Jacques, D;Mukherjee, S;Abbasi, DA;Lee, D;Wang, B;Gevorgyan, V;Cologna, SM;Tajkhorshid, E;Nelson, ER;Cho, W;
Nature chemical biology
Species: Human
Sample Types: Whole Cells
Applications: Bioassay -
Robust and reproducible human intestinal organoid-derived monolayer model for analyzing drug absorption
Authors: Tanaka, K;Mochizuki, T;Baba, S;Kawai, S;Nakano, K;Tachibana, T;Uchimura, K;Kato, A;Miyayama, T;Yamaguchi, T;Nishihara, H;Terao, K;Kato, Y;
Scientific reports
Species: Human
Sample Types: Organoid
Applications: Bioassay -
Construction organoid model of ovarian endometriosis and the function of estrogen and progesterone in the model
Authors: Zhang, R;Yang, Y;Li, R;Ma, Y;Ma, S;Chen, X;Li, B;Li, B;Qi, X;Ha, C;
Scientific reports
Species: Human
Sample Types: Whole Cells, Organoid
Applications: Bioassay -
Enhanced viability and functional maturity of iPSC-derived islet organoids by collagen-VI-enriched ECM scaffolds
Authors: Zhu, D;Chen, Z;Guo, K;Xie, Q;Zou, Y;Mou, Q;Zhou, Z;Jin, G;
Cell stem cell
Species: Human
Sample Types: Organoid
Applications: Bioassay -
IRE1?-XBP1 safeguards hematopoietic stem and progenitor cells by restricting pro-leukemogenic gene programs
Authors: Barton, BM;Son, F;Verma, A;Bal, SK;Tang, Q;Wang, R;Umphred-Wilson, K;Khan, R;Trichka, J;Dong, H;Lentucci, C;Chen, X;Chen, Y;Hong, Y;Duy, C;Elemento, O;Melnick, AM;Cao, J;Chen, X;Glimcher, LH;Adoro, S;
Nature immunology
Species: Human, Mouse
Sample Types: Whole Cells, Transduced Whole Cells
Applications: Bioassay -
Wnt signaling drives stromal inflammation in inflammatory arthritis
Authors: Mueller, AA;Zou, AE;Marsh, LJ;Kemble, S;Nayar, S;Watts, GFM;Murphy, CL;Taylor, E;Major, T;Gardner, D;Buckley, CD;Wei, K;Raychaudhuri, S;Korsunsky, I;Filer, A;Croft, AP;Brenner, MB;
bioRxiv : the preprint server for biology
Species: Human
Sample Types: Whole Cells
Applications: Bioassay -
A human forebrain organoid model reveals the essential function of GTF2IRD1-TTR-ERK axis for the neurodevelopmental deficits of Williams syndrome
Authors: Zhao, X;Sun, Q;Shou, Y;Chen, W;Wang, M;Qu, W;Huang, X;Li, Y;Wang, C;Gu, Y;Ji, C;Shu, Q;Li, X;
eLife
Species: Human
Sample Types: Organoid
Applications: Bioassay -
PTPRK regulates glycolysis and de novo lipogenesis to promote hepatocyte metabolic reprogramming in obesity
Authors: Gilglioni, EH;Li, A;St-Pierre-Wijckmans, W;Shen, TK;Pérez-Chávez, I;Hovhannisyan, G;Lisjak, M;Negueruela, J;Vandenbempt, V;Bauzá-Martinez, J;Herranz, JM;Ezeri?a, D;Demine, S;Feng, Z;Vignane, T;Otero Sanchez, L;Lambertucci, F;Pranická, A;Devière, J;Hay, DC;Encinar, JA;Singh, SP;Messens, J;Filipovic, MR;Sharpe, HJ;Trépo, E;Wu, W;Gurzov, EN;
Nature communications
Species: Human
Sample Types: Whole Cells
Applications: Bioassay -
Hormonally and chemically defined expansion conditions for organoids of biliary tree Stem Cells
Authors: Zhang, W;Cui, Y;Lu, M;Xu, M;Li, Y;Song, H;Luo, Y;Song, J;Yang, Y;Wang, X;Liao, L;Wang, Y;Reid, L;He, Z;
Bioactive materials
Species: Mouse
Sample Types: Whole Cells
Applications: Bioassay -
IGF1 drives Wnt-induced joint damage and is a potential therapeutic target for osteoarthritis
Authors: Escribano-Núñez, A;Cornelis, FMF;De Roover, A;Sermon, A;Cailotto, F;Lories, RJ;Monteagudo, S;
Nature communications
Species: Human
Sample Types: Whole Cells
Applications: Bioassay -
TGF-? induces an atypical EMT to evade immune mechanosurveillance in lung adenocarcinoma dormant metastasis
Authors: Wang, Z;Elbanna, Y;Godet, I;Peters, L;Lampe, G;Chen, Y;Xavier, J;Huse, M;Massagué, J;
bioRxiv : the preprint server for biology
Species: Human
Sample Types: Whole Cells
Applications: Bioassay -
Screening a Compound Library to Identify Additives That Boost Cytochrome P450 Enzyme Function in Vascularised Liver Spheres
Authors: Lucendo-Villarin, B;Wang, Y;Mallanna, SK;Kimbrel, EA;Hay, DC;
Cells
Species: Human
Sample Types: Whole Cells
Applications: Bioassay -
Developing Patient-Derived 3D-Bioprinting models of pancreatic cancer
Authors: Sun, H;Wang, Y;Sun, M;Ke, X;Li, C;Jin, B;Pang, M;Wang, Y;Jiang, S;Du, L;Du, S;Zhong, S;Zhao, H;Pang, Y;Sun, Y;Yang, Z;Yang, H;Mao, Y;
Journal of advanced research
Species: Human
Sample Types: Whole Cells
Applications: Bioassay -
Genome Engineering of Primary and Pluripotent Stem Cell-Derived Hepatocytes for Modeling Liver Tumor Formation
Authors: Zhang, L;Wang, X;Yang, X;Chi, Y;Chu, Y;Zhang, Y;Gong, Y;Wang, F;Zhao, Q;Zhao, D;
Biology
Species: Human
Sample Types: Whole Cells
Applications: Bioassay -
?-catenin mRNA encapsulated in SM-102 lipid nanoparticles enhances bone formation in a murine tibia fracture repair model
Authors: Nelson, AL;Mancino, C;Gao, X;Choe, JA;Chubb, L;Williams, K;Czachor, M;Marcucio, R;Taraballi, F;Cooke, JP;Huard, J;Bahney, C;Ehrhart, N;
Bioactive materials
Species: Mouse
Sample Types: Whole Cells
Applications: Bioassay -
Enhanced Maturity and Functionality of Vascularized Human Liver Organoids through 3D Bioprinting and Pillar Plate Culture
Authors: Lekkala, VKR;Shrestha, S;Al Qaryoute, A;Dhinoja, S;Acharya, P;Raheem, A;Jagadeeswaran, P;Lee, MY;
bioRxiv : the preprint server for biology
Species: Human
Sample Types: Whole Cells
Applications: Bioassay -
Epigenetic and oncogenic inhibitors cooperatively drive differentiation and kill KRAS-mutant colorectal cancers
Authors: Loi, P;Schade, AE;Rodriguez, CL;Krishnan, A;Perurena, N;Nguyen, VTM;Xu, Y;Watanabe, M;Davis, RA;Gardner, A;Pilla, NF;Mattioli, K;Popow, O;Gunduz, N;Lannagan, TRM;Fitzgerald, S;Sicinska, ET;Lin, JR;Tan, W;Brais, LK;Haigis, KM;Giannakis, M;Ng, K;Santagata, S;Helin, K;Sansom, OJ;Cichowski, K;
Cancer discovery
Species: Human
Sample Types: Whole Cells
Applications: Bioassay -
A primate-specific endogenous retroviral envelope protein sequesters SFRP2 to regulate human cardiomyocyte development
Authors: Zhang, R;Wu, M;Xiang, D;Zhu, J;Zhang, Q;Zhong, H;Peng, Y;Wang, Z;Ma, G;Li, G;Liu, F;Ye, W;Shi, R;Zhou, X;Babarinde, IA;Su, H;Chen, J;Zhang, X;Qin, D;Hutchins, AP;Pei, D;Li, D;
Cell stem cell
Species: Human
Sample Types: Whole Cells
Applications: Bioassay -
Intracellular domain of epithelial cell adhesion molecule induces Wnt receptor transcription to promote colorectal cancer progression
Authors: Panda, SS;Lee, CC;Geevimaan, K;Chen, KC;Yang, SH;Shen, CN;HuangFu, WC;Wu, HC;
Journal of biomedical science
Species: Human
Sample Types: Whole Cells
Applications: Bioassay -
An iPSC-derived small intestine-on-chip with self-organizing epithelial, mesenchymal, and neural cells
Authors: Moerkens, R;Mooiweer, J;Ramírez-Sánchez, AD;Oelen, R;Franke, L;Wijmenga, C;Barrett, RJ;Jonkers, IH;Withoff, S;
Cell reports
Species: Human
Sample Types: Whole Cells
Applications: Bioassay -
Craniofacial studies in chicken embryos confirm the pathogenicity of human FZD2 variants associated with Robinow syndrome
Authors: Tophkhane, SS;Fu, K;Verheyen, EM;Richman, JM;
Disease models & mechanisms
Species: Human
Sample Types: Whole Cells
Applications: Bioassay -
Non-pituitary growth hormone enables colon cell senescence evasion
Authors: Chesnokova, V;Zonis, S;Apaydin, T;Barrett, R;Melmed, S;
Aging cell
Species: Human
Sample Types: Whole Cells
Applications: Bioassay -
Comparative analysis of SEC61A1 mutant R236C in two patient-derived cellular platforms
Authors: Weiand, M;Sandfort, V;Nadzemova, O;Schierwagen, R;Trebicka, J;Schlevogt, B;Kabar, I;Schmidt, H;Zibert, A;
Scientific reports
Species: Human
Sample Types: Whole Cells
Applications: Bioassay -
Patient-derived tumor-like cell clusters for personalized chemo- and immunotherapies in non-small cell lung cancer
Authors: Yin, S;Yu, Y;Wu, N;Zhuo, M;Wang, Y;Niu, Y;Ni, Y;Hu, F;Ding, C;Liu, H;Cheng, X;Peng, J;Li, J;He, Y;Li, J;Wang, J;Zhang, H;Zhai, X;Liu, B;Wang, Y;Yan, S;Chen, M;Li, W;Peng, J;Peng, F;Xi, R;Ye, B;Jiang, L;Xi, JJ;
Cell stem cell
Species: Human
Sample Types: Whole Cells
Applications: Bioassay -
Glutamine metabolism prognostic index predicts tumour microenvironment characteristics and therapeutic efficacy in ovarian cancer
Authors: Gao, L;Wei, Z;Ying, F;Huang, L;Zhang, J;Sun, S;Wang, Z;Cai, J;Zhang, Y;
Journal of cellular and molecular medicine
Species: Human
Sample Types: Whole Cells
Applications: Bioassay -
Tofacitinib uptake by patient-derived intestinal organoids predicts individual clinical responsiveness
Authors: Jang, KK;Ercelen, D;Cen Feng, JYC;Gurunathan, S;Zhou, C;Korman, A;Newell, L;Hudesman, D;Jones, DR;Loke, P;Axelrad, JE;Cadwell, K;
bioRxiv : the preprint server for biology
Species: Human
Sample Types: Organoid
Applications: Bioassay -
Integration of Kupffer cells into human iPSC-derived liver organoids for modeling liver dysfunction in sepsis
Authors: Li, Y;Nie, Y;Yang, X;Liu, Y;Deng, X;Hayashi, Y;Plummer, R;Li, Q;Luo, N;Kasai, T;Okumura, T;Kamishibahara, Y;Komoto, T;Ohkuma, T;Okamoto, S;Isobe, Y;Yamaguchi, K;Furukawa, Y;Taniguchi, H;
Cell reports
Species: Human
Sample Types: Whole Cells
Applications: Bioassay -
A genome-wide screen links peroxisome regulation with Wnt signaling through RNF146 and tankyrase
Authors: Vu, JT;Tavasoli, KU;Mandjikian, L;Sheedy, CJ;Bacal, J;Morrissey, MA;Richardson, CD;Gardner, BM;
bioRxiv : the preprint server for biology
Species: Human
Sample Types: Whole Cells
Applications: Bioassay -
Chemically-defined and scalable culture system for intestinal stem cells derived from human intestinal organoids
Authors: Kwon, O;Lee, H;Jung, J;Son, YS;Jeon, S;Yoo, WD;Son, N;Jung, KB;Choi, E;Lee, IC;Kwon, HJ;Kim, C;Lee, MO;Cho, HS;Kim, DS;Son, MY;
Nature communications
Species: Human
Sample Types: Whole Cells
Applications: Differentiation -
Sox9 regulates alternative splicing and pancreatic beta cell function
Authors: Puri, S;Maachi, H;Nair, G;Russ, HA;Chen, R;Pulimeno, P;Cutts, Z;Ntranos, V;Hebrok, M;
Nature communications
Species: Human
Sample Types: Whole Cells
Applications: Bioassay -
Unique structural characteristics and biological activities of heparan sulfate isolated from the mantle of the scallop Chlamys farreri
Authors: Qin, Y;Xu, Y;Yi, H;Shi, L;Wang, X;Wang, W;Li, F;
Carbohydrate polymers
Species: N/A
Sample Types: Carbohydrates
Applications: Surface Plasmon Resonance -
Establishment of the Myeloid TBX-Code Reveals Aberrant Expression of T-Box Gene TBX1 in Chronic Myeloid Leukemia
Authors: Nagel, S;Haake, J;Pommerenke, C;Meyer, C;MacLeod, RAF;
International journal of molecular sciences
Species: Human
Sample Types: Whole Cells
Applications: Bioassay -
Assessment of Fallopian Tube Epithelium Features Derived from Induced Pluripotent Stem Cells of Both Fallopian Tube and Skin Origins
Authors: Chang, YH;Wu, KC;Wang, KH;Ding, DC;
Cells
Species: Human
Sample Types: Whole Cells
Applications: Bioassay -
RIPK4 downregulation impairs Wnt3A-stimulated invasiveness via Wnt/?-catenin signaling in melanoma cells and tumor growth in vivo
Authors: Wronski, N;Madej, E;Grabacka, M;Bro?yna, AA;Wolnicka-G?ubisz, A;
Cellular signalling
Species: Human
Sample Types: Transfected Whole Cells
Applications: Bioassay -
IL-17 Signaling in Primary Sclerosing Cholangitis Patient-Derived Organoids
Authors: Moreno, ASG;Guicciardi, ME;Wixom, AQ;Jessen, E;Yang, J;Ilyas, SI;Bianchi, JK;Vairo, FPE;Lazaridis, KN;Gores, GJ;
Research square
Species: Human
Sample Types: Organoid
Applications: Bioassay -
Improvements in Maturity and Stability of 3D iPSC-Derived Hepatocyte-like Cell Cultures
Authors: Suominen, S;Hyypijev, T;Venäläinen, M;Yrjänäinen, A;Vuorenpää, H;Lehti-Polojärvi, M;Räsänen, M;Seppänen, A;Hyttinen, J;Miettinen, S;Aalto-Setälä, K;Viiri, LE;
Cells
Species: Human
Sample Types: Whole Cells
Applications: Bioassay -
Lgr5-expressing secretory cells form a Wnt inhibitory niche in cartilage critical for chondrocyte identity
Authors: Ruscitto, A;Chen, P;Tosa, I;Wang, Z;Zhou, G;Safina, I;Wei, R;Morel, MM;Koch, A;Forman, M;Reeve, G;Lecholop, MK;Wilson, M;Bonthius, D;Chen, M;Ono, M;Wang, TC;Yao, H;Embree, MC;
Cell stem cell
Species: Porcine, Human
Sample Types: Whole Cells
Applications: Bioassay -
Wnt3a signaling with serum supply induces replication stress in cultured cells
Authors: Wang, Y;Wang, R;Ma, H;Yang, M;Li, Z;Zhang, L;
Biochemistry and biophysics reports
Species: Human
Sample Types: Whole Cell
Applications: Cell Culture -
Heparan sulfate modifications of betaglycan promote TIMP3-dependent ectodomain shedding to fine-tune TGF-? signaling
Authors: Choi, AS;Jenkins-Lane, LM;Barton, W;Kumari, A;Lancaster, C;Raulerson, C;Ji, H;Altomare, D;Starr, MD;Whitaker, R;Phaeton, R;Arend, R;Shtutman, M;Nixon, AB;Hempel, N;Lee, NY;Mythreye, K;
bioRxiv : the preprint server for biology
Species: Human
Sample Types: Whole Cells
Applications: Bioassay -
Pathway selectivity in Frizzleds is achieved by conserved micro-switches defining pathway-determining, active conformations
Authors: Grätz, L;Kowalski-Jahn, M;Scharf, MM;Kozielewicz, P;Jahn, M;Bous, J;Lambert, NA;Gloriam, DE;Schulte, G;
Nature communications
Species: Human
Sample Types: Whole Cells
Applications: Bioassay -
A novel RIP1-mediated canonical WNT signaling pathway that promotes colorectal cancer metastasis via beta -catenin stabilization-induced EMT
Authors: Kang, AR;Kim, JL;Kim, Y;Kang, S;Oh, SC;Park, JK;
Cancer gene therapy
Species: Human
Sample Types: Transfected Whole Cells, Whole Cells
Applications: Bioassay -
Tissue tension permits beta -catenin phosphorylation to drive mesoderm specification in human embryonic stem cells
Authors: Ayad, NME;Lakins, JN;Ghagre, A;Ehrlicher, AJ;Weaver, VM;
bioRxiv : the preprint server for biology
Species: Human
Sample Types: Whole Cells
Applications: Bioassay -
The temporal balance between self-renewal and differentiation of human neural stem cells requires the amyloid precursor protein
Authors: Shabani, K;Pigeon, J;Benaissa Touil Zariouh, M;Liu, T;Saffarian, A;Komatsu, J;Liu, E;Danda, N;Becmeur-Lefebvre, M;Limame, R;Bohl, D;Parras, C;Hassan, BA;
Science advances
Species: Human
Sample Types: Whole Cells
Applications: Bioassay -
Machine learning on large scale perturbation screens for SARS-CoV-2 host factors identifies ?-catenin/CBP inhibitor PRI-724 as a potent antiviral
Authors: Kelch, MA;Vera-Guapi, A;Beder, T;Oswald, M;Hiemisch, A;Beil, N;Wajda, P;Ciesek, S;Erfle, H;Toptan, T;Koenig, R;
Frontiers in microbiology
Species: Human
Sample Types: Transfected Whole Cells
Applications: Bioassay -
Therapeutic blood-brain barrier modulation and stroke treatment by a bioengineered FZD4-selective WNT surrogate in mice
Authors: Ding, J;Lee, SJ;Vlahos, L;Yuki, K;Rada, CC;van Unen, V;Vuppalapaty, M;Chen, H;Sura, A;McCormick, AK;Tomaske, M;Alwahabi, S;Nguyen, H;Nowatzke, W;Kim, L;Kelly, L;Vollrath, D;Califano, A;Yeh, WC;Li, Y;Kuo, CJ;
Nature communications
Species: Human
Sample Types: Whole Cells
Applications: Bioassay -
Oligodendrocytes in human induced pluripotent stem cell-derived cortical grafts remyelinate adult rat and human cortical neurons
Authors: Martinez-Curiel, R;Jansson, L;Tsupykov, O;Avaliani, N;Aretio-Medina, C;Hidalgo, I;Monni, E;Bengzon, J;Skibo, G;Lindvall, O;Kokaia, Z;Palma-Tortosa, S;
Stem cell reports
Species: Human
Sample Types: Whole Cells
Applications: Bioassay -
Developmental and hormonal regulation of FBN1 and OR4M1 mRNA in bovine granulosa cells
Authors: Maylem, ERS;Spicer, LJ;Batalha, IM;Sch�tz, LF;
Domestic animal endocrinology
Species: Bovine
Sample Types: Whole Cells
Applications: Bioassay -
Organoids from mouse molar and incisor as new tools to study tooth-specific biology and development
Authors: F Hermans, L Hemeryck, C Bueds, M Torres Per, S Hasevoets, H Kobayashi, D Lambrechts, I Lambrichts, A Bronckaers, H Vankelecom
Stem Cell Reports, 2023-04-20;18(5):1166-1181.
Species: Mouse
Sample Types: Whole Cell
Applications: Bioassay -
WNT5a Signaling through ROR2 Activates the Hippo Pathway to Suppress YAP1 Activity and Tumor Growth
Authors: K Wang, F Ma, S Arai, Y Wang, A Varkaris, L Poluben, O Voznesensk, F Xie, X Zhang, X Yuan, SP Balk
Cancer Research, 2023-04-04;0(0):.
Species: Human
Sample Types: Whole Cells
Applications: Bioassay -
ASPM activates Hedgehog and Wnt signaling to promote small cell lung cancer stemness and progression
Authors: LH Cheng, CC Hsu, HW Tsai, WY Liao, PM Yang, TY Liao, HY Hsieh, TS Chan, KK Tsai
Cancer Research, 2023-03-15;0(0):.
Species: Human
Sample Types: Whole Cells
Applications: Bioassay -
Novel method of differentiating human induced pluripotent stem cells to mature cardiomyocytes via Sfrp2
Authors: YC Hsueh, RE Pratt, VJ Dzau, CP Hodgkinson
Scientific Reports, 2023-03-09;13(1):3920.
Species: Human
Sample Types: Whole Cells
Applications: Bioassay -
Mucociliary Wnt signaling promotes cilia biogenesis and beating
Authors: C Seidl, F Da Silva, K Zhang, K Wohlgemuth, H Omran, C Niehrs
Nature Communications, 2023-03-06;14(1):1259.
Species: Frog
Sample Types: Embryo
Applications: Bioassay -
Age-Dependent Dysregulation of APP in Neuronal and Skin Cells from Fragile X Individuals
Authors: G Cencelli, L Pacini, A De Luca, I Messia, A Gentile, Y Kang, V Nobile, E Tabolacci, P Jin, MG Farace, C Bagni
Cells, 2023-02-27;12(5):.
Species: Human
Sample Types: Organoid
Applications: Bioassay -
CDK5RAP2 is a Wnt target gene and promotes stemness and progression of oral squamous cell carcinoma
Authors: Y Shen, Y Chen, Y Lin, Y Li, P Liu, B Zhang, Y Wang, KC Chan, NK Mak, M Kahn, RZ Qi, H Yang
Cell Death & Disease, 2023-02-11;14(2):107.
Species: Human
Sample Types: Whole Cells
Applications: Bioassay -
Intravital imaging of Wnt/beta-catenin and ATF2-dependent signalling pathways during tumour cell invasion and metastasis
Authors: K Stoletov, S Sanchez, I Gorroño, M Rabano, M Vivanco, R Kypta, JD Lewis
Journal of Cell Science, 2023-02-10;0(0):.
Species: Human
Sample Types: Whole Cells
Applications: Bioassay -
LEF1 drives a central memory program and supports antitumor activity of natural killer T cells
Authors: H Ngai, GA Barragán, G Tian, JC Balzeau, C Zhang, AN Courtney, L Guo, X Xu, MS Wood, JM Drabek, T Demberg, CM Sands, CN Chauvin-Fl, EJ Di Pierro, JM Rosen, LS Metelitsa
Cancer Immunology Research, 2023-02-03;0(0):.
Species: Human
Sample Types: Whole Cells
Applications: Stimulation -
Insulin-like growth factor 2 mRNA-binding protein 3 promotes kidney injury by regulating beta-catenin signaling
Authors: D Song, J Shang, Y Long, M Zhong, L Li, J Chen, Y Xiang, H Tan, H Zhu, X Hong, FF Hou, H Fu, Y Liu
JCI Insight, 2023-01-24;0(0):.
Species: Human
Sample Types: Whole Cells
Applications: Cell Culture -
Mucociliary Wnt signaling promotes cilia biogenesis and beating
Authors: C Seidl, F Da Silva, K Zhang, K Wohlgemuth, H Omran, C Niehrs
Nature Communications, 2023;14(1):1259.
Species: Frog
Sample Types: Embryo
Applications: Bioassay -
Nuclear S6K1 Enhances Oncogenic Wnt Signaling by Inducing Wnt/beta-Catenin Transcriptional Complex Formation
Authors: MG Lee, H Oh, JW Park, JS You, JW Han
International Journal of Molecular Sciences, 2022-12-18;23(24):.
Species: Human
Sample Types: Whole Cell
Applications: Cell Culture -
Bradykinin/bradykinin 1 receptor promotes brain microvascular endothelial cell permeability and proinflammatory cytokine release by downregulating Wnt3a
Authors: Linqiang Huang, Mengting Liu, Wenqiang Jiang, Hongguang Ding, Yongli Han, Miaoyun Wen et al.
Journal of Biochemical and Molecular Toxicology
Species: Human
Sample Types: Whole Cells
Applications: Bioassay -
Generation of Hepatocytes and Nonparenchymal Cell Codifferentiation System from Human-Induced Pluripotent Stem Cells
Authors: Y Shi, J Deng, X Sang, Y Wang, F He, X Chen, A Xu, F Wu
Stem Cells International, 2022-11-22;2022(0):3222427.
Species: Human
Sample Types: Whole Cells
Applications: Bioassay -
R-spondin 3 deletion induces Erk phosphorylation to enhance Wnt signaling and promote bone formation in the appendicular skeleton
Authors: K Nagano, K Yamana, H Saito, R Kiviranta, AC Pedroni, D Raval, C Niehrs, F Gori, R Baron
Elife, 2022-11-02;11(0):.
Species: Mouse
Sample Types: Whole Cells
Applications: Bioassay -
Ivermectin inhibits tumor metastasis by regulating the Wnt/beta-catenin/integrin beta1/FAK signaling pathway
Authors: L Jiang, YJ Sun, XH Song, YY Sun, WY Yang, J Li, YJ Wu
American journal of cancer research, 2022-10-15;12(10):4502-4519.
Species: Human
Sample Types: Whole Cells
Applications: Bioassay -
Inhibition of phospholipase D1 induces immunogenic cell death and potentiates cancer immunotherapy in colorectal cancer
Authors: WC Hwang, D Song, H Lee, C Oh, SH Lim, HJ Bae, ND Kim, G Han, DS Min
Experimental & Molecular Medicine, 2022-09-21;0(0):.
Species: Human
Sample Types: Whole Cells
Applications: Bioassay -
WRN promotes bone development and growth by unwinding SHOX-G-quadruplexes via its helicase activity in Werner Syndrome
Authors: Y Tian, W Wang, S Lautrup, H Zhao, X Li, PWN Law, ND Dinh, EF Fang, HH Cheung, WY Chan
Nature Communications, 2022-09-16;13(1):5456.
Species: Human
Sample Types: Whole Cells
Applications: Bioassay -
Pharmacological targeting of TFIIH suppresses KRAS mutant pancreatic ductal adenocarcinoma and synergizes with TRAIL
Authors: R Moser, J Annis, O Nikolova, CJ Whatcott, KE Gurley, E Mendez, K Moran-Jone, C Dorrell, RC Sears, CJ Kuo, H Han, AV Biankin, C Grandori, DD Von Hoff, CJ Kemp
Cancer Research, 2022-09-16;0(0):.
Species: Human
Sample Types: Whole Cells
Applications: Bioassay -
CK1alpha/RUNX2 Axis in the Bone Marrow Microenvironment: A Novel Therapeutic Target in Multiple Myeloma
Authors: A Fregnani, L Saggin, K Gianesin, L Quotti Tub, M Carraro, G Barilà, G Scapinello, G Bonetto, M Pesavento, T Berno, A Branca, C Gurrieri, R Zambello, G Semenzato, L Trentin, S Manni, F Piazza
Cancers, 2022-08-29;14(17):.
Species: Human
Sample Types: Whole Cells
Applications: Bioassay -
Exposure to e-cigarette vapor extract induces vocal fold epithelial injury and triggers intense mucosal remodeling
Authors: V Lungova, K Wendt, SL Thibeault
Oncogene, 2022-08-23;0(0):.
Species: Human
Sample Types: Whole Cells
Applications: Bioassay -
Combined Systemic Drug Treatment with Proton Therapy: Investigations on Patient-Derived Organoids
Authors: M Naumann, T Czempiel, AJ Lö beta ner, K Pape, E Beyreuther, S Löck, S Drukewitz, A Hennig, C von Neubec, B Klink, M Krause, D William, DE Stange, R Bütof, A Dietrich
Cancers, 2022-08-03;14(15):.
Species: Human
Sample Types: Whole Cells
Applications: Cell Culture -
In�vitro atlas of dorsal spinal interneurons reveals Wnt signaling as a critical regulator of progenitor expansion
Authors: S Gupta, R Kawaguchi, E Heinrichs, S Gallardo, S Castellano, I Mandric, BG Novitch, SJ Butler
Oncogene, 2022-07-19;40(3):111119.
Species: Human
Sample Types: Whole Cells
Applications: Bioassay -
Tissue transglutaminase activates integrin-linked kinase and beta-catenin in ovarian cancer
Authors: S Condello, M Prasad, R Atwani, D Matei
The Journal of Biological Chemistry, 2022-07-08;0(0):102242.
Species: Human
Sample Types: Whole Cells
Applications: Bioassay -
Sec61 Inhibitor Apratoxin S4 Potently Inhibits SARS-CoV-2 and Exhibits Broad-Spectrum Antiviral Activity
Authors: Marie O. Pohl, Laura Martin-Sancho, Ranjala Ratnayake, Kris M. White, Laura Riva, Qi-Yin Chen et al.
ACS Infectious Diseases
Species: Human
Sample Types: Whole Cells
Applications: Bioassay -
The Casein kinase 1alpha agonist pyrvinium attenuates Wnt-mediated CK1alpha degradation via interaction with the E3 ubiquitin ligase component Cereblon
Authors: C Shen, A Nayak, LR Neitzel, F Yang, B Li, CH Williams, CC Hong, Y Ahmed, E Lee, DJ Robbins
The Journal of Biological Chemistry, 2022-07-01;0(0):102227.
Species: Human
Sample Types: Whole Cells
Applications: Bioassay -
Generation of a human iPSC line CIBi010-A with a reporter for ASGR1 using CRISPR/Cas9
Authors: J Fu, L Jiang, B Yu, Y Liu, R Wei, Y Hu, WI Ho, B Yang, M Chu, HF Tse, J Yang
Stem Cell Research, 2022-05-05;62(0):102800.
Species: Human
Sample Types: Whole Cells
Applications: Bioassay -
Hotspot ESR1 mutations are multimodal and contextual modulators of breast cancer metastasis
Authors: Z Li, Y Wu, ME Yates, N Tasdemir, A Bahreini, J Chen, KM Levine, NM Priedigkei, A Nasrazadan, S Ali, L Buluwela, S Arnesen, J Gertz, JK Richer, B Troness, D El-Ashry, Q Zhang, L Gerratana, Y Zhang, M Cristofani, MA Montanez, P Sundd, CT Wallace, SC Watkins, C Fumagalli, E Guerini-Ro, L Zhu, GC Tseng, N Wagle, JS Carroll, P Jank, C Denkert, MM Karsten, JU Blohmer, BH Park, PC Lucas, JM Atkinson, AV Lee, S Oesterreic
Cancer Research, 2022-04-01;0(0):.
Species: Human
Sample Types: Whole Cells
Applications: Bioassay -
Elimination of Reprogramming Transgenes Facilitates the Differentiation of Induced Pluripotent Stem Cells into Hepatocyte-like Cells and Hepatic Organoids
Authors: J Jeong, TH Kim, M Kim, YK Jung, KS Kim, S Shim, H Jang, WI Jang, SB Lee, D Choi
Biology, 2022-03-23;11(4):.
Species: Human
Sample Types: Transduced Whole Cells
Applications: Bioassay -
Pseudohypoxic HIF pathway activation dysregulates collagen structure-function in human lung fibrosis
Authors: CJ Brereton, L Yao, ER Davies, Y Zhou, M Vukmirovic, JA Bell, S Wang, RA Ridley, LSN Dean, OG Andriotis, F Conforti, L Brewitz, S Mohammed, T Wallis, A Tavassoli, RM Ewing, A Alzetani, BG Marshall, SV Fletcher, PJ Thurner, A Fabre, N Kaminski, L Richeldi, A Bhaskar, CJ Schofield, M Loxham, DE Davies, Y Wang, MG Jones
Elife, 2022-02-21;11(0):.
Species: Human
Sample Types: Whole Cells
Applications: Bioassay -
Suspension culture promotes serosal mesothelial development in human intestinal organoids
Authors: MM Capeling, S Huang, CJ Childs, JH Wu, YH Tsai, A Wu, N Garg, EM Holloway, N Sundaram, C Bouffi, M Helmrath, JR Spence
Cell Reports, 2022-02-15;38(7):110379.
Species: Human
Sample Types: Organoids
Applications: Bioassay -
Induction of Pro-Fibrotic CLIC4 in Dermal Fibroblasts by TGF-beta/Wnt3a Is Mediated by GLI2 Upregulation
Authors: CW Wasson, B Caballero-, J Gillespie, E Derrett-Sm, J Mankouri, CP Denton, G Canettieri, NA Riobo-Del, F Del Galdo
Cells, 2022-02-03;11(3):.
Species: Human
Sample Types: Whole Cells
Applications: Bioassay -
Targeting Wnt/Tenascin C-Mediated Cross Talk between Pancreatic Cancer Cells and Stellate Cells via activation of the Metastasis Suppressor NDRG1
Authors: B Geleta, FS Tout, SC Lim, S Sahni, PJ Jansson, MV Apte, DR Richardson, Ž Kova?evi?
The Journal of Biological Chemistry, 2022-01-20;0(0):101608.
Species: Human
Sample Types: Whole Cells
Applications: Bioassay -
Coordinate control of basal epithelial cell fate and stem cell maintenance by core EMT transcription factor Zeb1
Authors: Y Han, A Villarreal, G Gutierrez, Q Nguyen, P Sun, T Wu, B Sui, G Berx, T Brabletz, K Kessenbroc, YA Zeng, K Watanabe, X Dai
Cell Reports, 2022-01-11;38(2):110240.
Species: Mouse
Sample Types: Whole Cells
Applications: Bioassay -
Pluripotent Stem Cell-Derived Hepatocytes Inhibit T Cell Proliferation In Vitro through Tryptophan Starvation
Authors: M Romano, R Elgueta, D McCluskey, AM Ortega-Pri, E Stolarczyk, F Dazzi, B Lucendo-Vi, J Meseguer-R, J Williams, G Fanelli, DC Hay, FM Watt, G Lombardi
Cells, 2021-12-22;11(1):.
Species: Human
Sample Types: Whole Cells
Applications: Bioassay -
Local non-pituitary growth hormone is induced with aging and facilitates epithelial damage
Authors: V Chesnokova, S Zonis, A Apostolou, HQ Estrada, S Knott, K Wawrowsky, K Michelsen, A Ben-Shlomo, R Barrett, V Gorbunova, K Karalis, S Melmed
Cell Reports, 2021-12-14;37(11):110068.
Species: Human
Sample Types: Whole Cells
Applications: Bioassay -
Functional human gastrointestinal organoids can be engineered from three primary germ layers derived separately from pluripotent stem cells
Authors: AK Eicher, DO Kechele, N Sundaram, HM Berns, HM Poling, LE Haines, JG Sanchez, K Kishimoto, M Krishnamur, L Han, AM Zorn, MA Helmrath, JM Wells
Cell Stem Cell, 2021-12-01;0(0):.
Species: Human
Sample Types: Whole Cells
Applications: Bioassay -
Frizzled BRET sensors based on bioorthogonal labeling of unnatural amino acids reveal WNT-induced dynamics of the cysteine-rich domain
Authors: M Kowalski-J, H Schihada, A Turku, T Huber, TP Sakmar, G Schulte
Science Advances, 2021-11-10;7(46):eabj7917.
Species: Human
Sample Types: Whole Cells
Applications: Bioassay -
Patient-Specific iPSC-Derived Neural Differentiated and Hepatocyte-like Cells, Carrying the Compound Heterozygous Mutation p.V1023Sfs*15/p.G992R, Present the "Variant" Biochemical Phenotype of Niemann-Pick Type C1 Disease
Authors: C Völkner, M Liedtke, R Untucht, A Hermann, MJ Frech
International Journal of Molecular Sciences, 2021-11-10;22(22):.
Species: Human
Sample Types: Whole Cells
Applications: Bioassay -
Small molecule allosteric inhibitors of RORgammat block Th17-dependent inflammation and associated gene expression in vivo
Authors: SA Saenz, A Local, T Carr, A Shakya, S Koul, H Hu, L Chourb, J Stedman, J Malley, LA D'Agostino, V Shanmugasu, J Malona, CE Schwartz, L Beebe, M Clements, G Rajaraman, J Cho, L Jiang, A Dubrovskiy, M Kreilein, R Shimanovic, LG Hamann, L Escoubet, JM Ellis
PLoS ONE, 2021-11-09;16(11):e0248034.
Species: Human
Sample Types: Organoids
Applications: Bioassay -
Chemically Defined Conditions Mediate an Efficient Induction of Dental Pulp Pluripotent-Like Stem Cells into Hepatocyte-Like Cells
Authors: C Gil-Recio, S Montori, S Al Demour, MA Ababneh, E Ferrés-Pad, C Marti, E Ferrés-Ama, M Barajas, A Al Madhoun, M Atari
Stem Cells International, 2021-11-08;2021(0):5212852.
Species: Human
Sample Types: Whole Cells
Applications: Bioassay -
Glycoprotein PTGDS promotes tumorigenesis of diffuse large B-cell lymphoma by MYH9-mediated regulation of Wnt-beta-catenin-STAT3 signaling
Authors: S Hu, S Ren, Y Cai, J Liu, Y Han, Y Zhao, J Yang, X Zhou, X Wang
Cell Death and Differentiation, 2021-11-06;0(0):.
Species: Human
Sample Types: Whole Cells
Applications: Bioassay -
RNF43 inhibits WNT5A-driven signaling and suppresses melanoma invasion and resistance to the targeted therapy
Authors: T Radaszkiew, M Nosková, K Gömöryová, O Vondálová, KA Radaszkiew, M Picková, R Víchová, T Gybe?, K Kaiser, L Demková, L Ku?erová, T Bárta, D Pot?šil, Z Zdráhal, K Sou?ek, V Bryja
Elife, 2021-10-27;10(0):.
Species: Human
Sample Types: Transduced Whole Cells, Transfected Whole Cells
Applications: Bioassay -
Transcriptome-Wide Analysis Reveals a Role for Extracellular Matrix and Integrin Receptor Genes in Otic Neurosensory Differentiation from Human iPSCs
Authors: L Johnson Ch, H Lahlou, C Steinacher, S Assou, Y Messat, J Dudás, A Edge, B Crespo, M Crosier, C Sergi, A Schrott-Fi, A Zine
International Journal of Molecular Sciences, 2021-10-07;22(19):.
Species: Human
Sample Types: Whole Cells
Applications: Bioassay -
USP28 facilitates pancreatic cancer progression through activation of Wnt/beta-catenin pathway via stabilising FOXM1
Authors: L Chen, Z Xu, Q Li, Q Feng, C Zheng, Y Du, R Yuan, X Peng
Cell Death & Disease, 2021-09-28;12(10):887.
Species: Human
Sample Types: Whole Cell
Applications: Bioassay -
The E3 ubiquitin ligase component, Cereblon, is an evolutionarily conserved regulator of Wnt signaling
Authors: C Shen, A Nayak, LR Neitzel, AA Adams, M Silver-Ise, LM Sawyer, H Benchabane, H Wang, N Bunnag, B Li, DT Wynn, F Yang, M Garcia-Con, CH Williams, S Dakshanamu, CC Hong, NG Ayad, AJ Capobianco, Y Ahmed, E Lee, DJ Robbins
Nature Communications, 2021-09-06;12(1):5263.
Species: Human
Sample Types: Whole Cells
Applications: Bioassay -
KCTD11 inhibits progression of lung cancer by binding to beta-catenin to regulate the activity of the Wnt and Hippo pathways
Authors: M Yang, YM Han, Q Han, XZ Rong, XF Liu, XY Ln
Journal of Cellular and Molecular Medicine, 2021-08-28;0(0):.
Species: Human
Sample Types: Cell Lysates
Applications: Bioassay -
Repositioning of duloxetine to target pancreatic stellate cells
Authors: A Sagara, K Nakata, S Matsumoto, W Guan, T Shinkawa, C Iwamoto, N Ikenaga, K Ohuchida, M Nakamura
Oncology Letters, 2021-08-20;22(4):744.
Species: Human
Sample Types: Organoid, Organoids
Applications: Bioassay -
A human forebrain organoid model of fragile X syndrome exhibits altered neurogenesis and highlights new treatment strategies
Authors: Y Kang, Y Zhou, Y Li, Y Han, J Xu, W Niu, Z Li, S Liu, H Feng, W Huang, R Duan, T Xu, N Raj, F Zhang, J Dou, C Xu, H Wu, GJ Bassell, ST Warren, EG Allen, P Jin, Z Wen
Nature Neuroscience, 2021-08-19;0(0):.
Species: Human
Sample Types: Organoid
Applications: Bioassay -
Selective deletion of human leukocyte antigens protects stem cell-derived islets from immune rejection
Authors: AV Parent, G Faleo, J Chavez, M Saxton, DI Berrios, NR Kerper, Q Tang, M Hebrok
Cell Reports, 2021-08-17;36(7):109538.
Species: Human
Sample Types: Whole Cells
Applications: Bioassay -
An in vitro stem cell model of human epiblast and yolk sac interaction
Authors: KM Mackinlay, BA Weatherbee, V Souza Rosa, CE Handford, G Hudson, T Coorens, LV Pereira, S Behjati, L Vallier, MN Shahbazi, M Zernicka-G
Elife, 2021-08-17;10(0):.
Species: Human
Sample Types: Whole Cells
Applications: Bioassay -
Generation of equine enteroids and enteroid-derived 2D monolayers that are responsive to microbial mimics
Authors: S Hellman
Veterinary research, 2021-08-14;52(1):108.
Species: Equine
Sample Types: Organoid
Applications: Bioassay -
Generation of human induced pluripotent stem cell lines from 2 patients with MIRAGE syndrome
Authors: I Fischer, J Küchler, C Schaar, T Fisch, J Cernoch, K Fischer, V Fernández, P Kühnen, H Stachelsch
Stem Cell Research, 2021-06-10;54(0):102417.
Species: Human
Sample Types: Whole Cells
Applications: Cell Culture -
The development of a functional human small intestinal epithelium model for drug absorption
Authors: O Kwon, KB Jung, KR Lee, YS Son, H Lee, JJ Kim, K Kim, S Lee, YK Song, J Jung, K Park, DS Kim, MJ Son, MO Lee, TS Han, HS Cho, SJ Oh, H Chung, SH Kim, KS Chung, J Kim, CR Jung, MY Son
Science Advances, 2021-06-02;7(23):.
Species: Human
Sample Types: Whole Cells
Applications: Bioassay -
Development of selective bispecific Wnt mimetics for bone loss and repair
Authors: TW Fowler, TL Mitchell, CY Janda, L Xie, S Tu, H Chen, H Zhang, J Ye, B Ouyang, TZ Yuan, SJ Lee, M Newman, N Tripuranen, ES Rego, D Mutha, A Dilip, M Vuppalapat, H Baribault, WC Yeh, Y Li
Nature Communications, 2021-05-31;12(1):3247.
Species: Human
Sample Types: Whole Cells
Applications: Bioassay -
Roles of individual human Dishevelled paralogs in the Wnt signalling pathways
Authors: P Paclíková, TW Radaszkiew, D Pot?šil, J Harnoš, Z Zdráhal, V Bryja
Cellular Signalling, 2021-05-31;85(0):110058.
Species: Human
Sample Types: Whole Cells
Applications: Cell Culture -
Direct derivation of human alveolospheres for SARS-CoV-2 infection modeling and drug screening
Authors: T Ebisudani, S Sugimoto, K Haga, A Mitsuishi, R Takai-Toda, M Fujii, K Toshimitsu, J Hamamoto, K Sugihara, T Hishida, H Asamura, K Fukunaga, H Yasuda, K Katayama, T Sato
Cell Reports, 2021-05-19;0(0):109218.
Species: Human
Sample Types: Spheroid
Applications: Bioassay -
WNT/&beta-catenin-suppressed FTO expression increases m6A of c-Myc mRNA to promote tumor cell glycolysis and tumorigenesis
Authors: X Yang, F Shao, D Guo, W Wang, J Wang, R Zhu, Y Gao, J He, Z Lu
Cell Death & Disease, 2021-05-08;12(5):462.
Species: Human
Sample Types: Whole Cells
Applications: Bioassay -
5-hydroxymethylcytosine is dynamically regulated during forebrain organoid development and aberrantly altered in Alzheimer's disease
Authors: JN Kuehner, J Chen, EC Bruggeman, F Wang, Y Li, C Xu, ZT McEachin, Z Li, L Chen, CM Hales, Z Wen, J Yang, B Yao
Cell Reports, 2021-04-27;35(4):109042.
Species: Human
Sample Types: Whole Cells
Applications: Bioassay -
Triptolide suppresses the growth and metastasis of non-small cell lung cancer by inhibiting &beta-catenin-mediated epithelial-mesenchymal transition
Authors: QD Deng, XP Lei, YH Zhong, MS Chen, YY Ke, Z Li, J Chen, LJ Huang, Y Zhang, L Liang, ZX Lin, Q Liu, SP Li, XY Yu
Acta pharmacologica Sinica, 2021-04-23;0(0):.
Species: Human
Sample Types: Whole Cells
Applications: Bioassay -
KAT6A, a novel regulator of &beta-catenin, promotes tumorigenicity and chemoresistance in ovarian cancer by acetylating COP1
Authors: W Liu, Z Zhan, M Zhang, B Sun, Q Shi, F Luo, M Zhang, W Zhang, Y Hou, X Xiao, Y Li, H Feng
Theranostics, 2021-04-15;11(13):6278-6292.
Species: Human
Sample Types: Whole Cells
Applications: Bioassay -
Cell-type-specific profiling of human cellular models of fragile X syndrome reveal PI3K-dependent defects in translation and neurogenesis
Authors: N Raj, ZT McEachin, W Harousseau, Y Zhou, F Zhang, ME Merritt-Ga, JM Taliaferro, M Kalinowska, SG Marro, CM Hales, E Berry-Krav, MW Wolf-Ochoa, V Martinez-C, M Wernig, L Chen, E Klann, ST Warren, P Jin, Z Wen, GJ Bassell
Cell Reports, 2021-04-13;35(2):108991.
Species: Human
Sample Types: Organoid
Applications: Bioassay -
Autophagy of the m6A mRNA demethylase FTO is impaired by low-level arsenic exposure to promote tumorigenesis
Authors: YH Cui, S Yang, J Wei, CR Shea, W Zhong, F Wang, P Shah, MG Kibriya, X Cui, H Ahsan, C He, YY He
Nature Communications, 2021-04-12;12(1):2183.
Species: Human
Sample Types: Cell Lysates
Applications: Western Blot -
LGR5/R-Spo1/Wnt3a axis promotes stemness and aggressive phenotype in hepatoblast-like hepatocellular carcinoma cell lines
Authors: S Akbari, ? Kunter, Y Azbazdar, G Ozhan, N Atabey, ZF Karagonlar, E Erdal
Cellular Signalling, 2021-03-06;0(0):109972.
Species: Human
Sample Types: Whole Cells
Applications: Bioassay -
Wnt-&beta-catenin activation epigenetically reprograms Treg cells in inflammatory bowel disease and dysplastic progression
Authors: J Quandt, S Arnovitz, L Haghi, J Woehlk, A Mohsin, M Okoreeh, PS Mathur, AO Emmanuel, A Osman, M Krishnan, SB Morin, AT Pearson, RF Sweis, J Pekow, CR Weber, K Khazaie, F Gounari
Nature Immunology, 2021-03-04;0(0):.
Species: Human
Sample Types: Whole Cells
Applications: Bioassay -
Ubiquitin-specific protease 53 promotes osteogenic differentiation of human bone marrow-derived mesenchymal stem cells
Authors: D Baek, KH Park, KM Lee, S Jung, S Joung, J Kim, JW Lee
Cell Death & Disease, 2021-03-04;12(3):238.
Species: Human
Sample Types: Whole Cells
Applications: Bioassay -
Repression of Wnt/&beta-catenin signaling by SOX9 and Mastermind-like transcriptional coactivator 2
Authors: A Sinha, VB Fan, AB Ramakrishn, N Engelhardt, J Kennell, KM Cadigan
Science Advances, 2021-02-17;7(8):.
Species: Human
Sample Types: Whole Cells
Applications: Bioassay -
Global chromatin organizer SATB1 acts as a context-dependent regulator of the Wnt/Wg target genes
Authors: PL Ramanujam, S Mehrotra, RP Kumar, S Verma, G Deshpande, RK Mishra, S Galande
Scientific Reports, 2021-02-09;11(1):3385.
Species: Human
Sample Types: Whole Cells
Applications: Bioassay -
ATF4 promotes lung cancer cell proliferation and invasion partially through regulating Wnt/&beta-catenin signaling
Authors: J Du, H Liu, X Mao, Y Qin, C Fan
International Journal of Medical Sciences, 2021-01-29;18(6):1442-1448.
Species: Human
Sample Types: Plasmid
Applications: Bioassay -
Farnesyl dimethyl chromanol targets colon cancer stem cells and prevents colorectal cancer metastasis
Authors: K Husain, D Coppola, CS Yang, MP Malafa
Scientific Reports, 2021-01-26;11(1):2185.
Species: Human
Sample Types: Organoid
Applications: Bioassay -
PGC7 promotes tumor oncogenic dedifferentiation through remodeling DNA methylation pattern for key developmental transcription factors
Authors: Q Yan, Y Zhang, X Fang, B Liu, TL Wong, L Gong, S Liu, D Yu, M Liu, L Jiang, X Wang, T Wei, Y Jia, L Li, L Sun, Y Tang, N Zhou, YF Yuan, Y Li, S Ma, XY Guan
Cell Death and Differentiation, 2021-01-26;0(0):.
Species: Human
Sample Types: Whole Cells
Applications: Bioassay -
Serine synthesis pathway inhibition cooperates with dietary serine and glycine limitation for cancer therapy
Authors: M Tajan, M Hennequart, EC Cheung, F Zani, AK Hock, N Legrave, ODK Maddocks, RA Ridgway, D Athineos, A Suárez-Bon, RL Ludwig, L Novellasde, N Angelis, VSW Li, G Vlachogian, N Valeri, N Mainolfi, V Suri, A Friedman, M Manfredi, K Blyth, OJ Sansom, KH Vousden
Nature Communications, 2021-01-14;12(1):366.
Species: Human
Sample Types: Organoid
Applications: Bioassay -
Single cell transcriptomic analysis of human pluripotent stem cell chondrogenesis
Authors: CL Wu, A Dicks, N Steward, R Tang, DB Katz, YR Choi, F Guilak
Nature Communications, 2021-01-13;12(1):362.
Species: Human
Sample Types: Whole Cells
Applications: Bioassay -
Deficient LEF1 expression is associated with lithium resistance and hyperexcitability in neurons derived from bipolar disorder patients
Authors: R Santos, SB Linker, S Stern, APD Mendes, MN Shokhirev, G Erikson, L Randolph-M, V Racha, Y Kim, JR Kelsoe, AG Bang, M Alda, MC Marchetto, FH Gage
Molecular Psychiatry, 2021-01-04;0(0):.
Species: Human
Sample Types: Whole Cells
Applications: Bioassay -
Identification of a Repair-Supportive Mesenchymal Cell Population during Airway Epithelial Regeneration
Authors: A Moiseenko, AI Vazquez-Ar, V Kheirollah, X Chu, A Tata, S Rivetti, S Günther, K Lebrigand, S Herold, T Braun, B Mari, S De Langhe, G Kwapiszews, A Günther, C Chen, W Seeger, PR Tata, JS Zhang, S Bellusci, E El Agha
Cell Reports, 2020-12-22;33(12):108549.
Species: Human
Sample Types: Whole Cells
Applications: Bioassay -
Elevated Dkk1 Mediates Downregulation of the Canonical Wnt Pathway and Lysosomal Loss in an iPSC Model of Neuronopathic Gaucher Disease
Authors: MP Srikanth, RA Feldman
Biomolecules, 2020-12-03;10(12):.
Species: Human
Sample Types: Whole Cells
Applications: Bioassay -
The Microfluidic Environment Reveals a Hidden Role of Self-Organizing Extracellular Matrix in Hepatic Commitment and Organoid Formation of hiPSCs
Authors: F Michielin, GG Giobbe, C Luni, Q Hu, I Maroni, MR Orford, A Manfredi, L Di Filippo, AL David, D Cacchiarel, P De Coppi, S Eaton, N Elvassore
Cell Rep, 2020-12-01;33(9):108453.
Species: Human
Sample Types: Whole Cells
Applications: Bioassay -
Propionate Enhances Cell Speed and Persistence to Promote Intestinal Epithelial Turnover and Repair
Authors: AJ Bilotta, C Ma, W Yang, Y Yu, Y Yu, X Zhao, Z Zhou, S Yao, SM Dann, Y Cong
Cell Mol Gastroenterol Hepatol, 2020-11-22;0(0):.
Species: Mouse
Sample Types: Whole Cells
Applications: Cell Culture -
Generation of a human iPSC line CIBi008-A from amniotic fluid-derived cells of a fetus with &beta-thalassemia carrying variants of -28A�>�G and IVS-II-654C�>�T in HBB
Authors: S Wu, H Wei, M Chu, Z Weng
Stem Cell Res, 2020-10-29;49(0):102074.
Species: Human
Sample Types: Whole Cells
Applications: Cell Culture -
YAP-TEAD1 control of cytoskeleton dynamics and intracellular tension guides human pluripotent stem cell mesoderm specification
Authors: S Pagliari, V Vinarsky, F Martino, AR Perestrelo, J Oliver De, G Caluori, J Vrbsky, P Mozetic, A Pompeiano, A Zancla, SG Ranjani, P Skladal, D Kytyr, Z Zdráhal, G Grassi, M Sampaolesi, A Rainer, G Forte
Cell Death Differ, 2020-10-28;0(0):.
Species: Human
Sample Types: Whole Cells
Applications: Bioassay -
Wnt/&beta-catenin signaling pathway inhibits porcine reproductive and respiratory syndrome virus replication by enhancing the nuclear factor-&kappaB-dependent innate immune response
Authors: J Wang, L Gong, W Zhang, W Chen, H Pan, Y Zeng, X Liang, J Ma, G Zhang, H Wang
Veterinary Microbiology, 2020-10-23;251(0):108904.
Species: Primate (Chlorocebus aethiops)
Sample Types: Whole Cells
Applications: Cell Culture -
Aberrant expression of NKL homeobox genes HMX2 and HMX3 interferes with cell differentiation in acute myeloid leukemia
Authors: S Nagel, C Pommerenke, C Meyer, RAF MacLeod, HG Drexler
PLoS ONE, 2020-10-13;15(10):e0240120.
Species: Human
Sample Types: Whole Cells
Applications: Cell Culture -
PWP1 Promotes the Malignant Phenotypes of Lung Cancer Cells by Interacting with DVL2 and Merlin
Authors: L Wei, P Li, Y Luo, M Zhang, T Yan, Y Yang, Y Han, S Liu, E Wang
Onco Targets Ther, 2020-10-08;13(0):10025-10037.
Species: Human
Sample Types: Whole Cells
Applications: Bioassay -
Aspirin Rescues Wnt-Driven Stem-like Phenotype in Human Intestinal Organoids and Increases the Wnt Antagonist Dickkopf-1
Authors: K Dunbar, A Valanciute, A Lima, PF Vinuela, T Jamieson, V Rajasekara, J Blackmur, AM Ochocka-Fo, A Guazzelli, P Cammareri, MJ Arends, OJ Sansom, KB Myant, SM Farrington, MG Dunlop, FVN Din
Cell Mol Gastroenterol Hepatol, 2020-09-22;0(0):.
Species: Human
Sample Types: Organoid
Applications: Cell Culture -
Activation of &beta-catenin by TGF-&beta1 promotes ligament-fibroblastic differentiation and inhibits cementoblastic differentiation of human periodontal ligament cells
Authors: JC Lim, SH Bae, G Lee, CJ Ryu, YJ Jang
Stem Cells, 2020-09-15;0(0):.
Species: Human
Sample Types: Whole Cells
Applications: Cell Culture -
Fallopian Tube Basal Stem Cells Reproducing the Epithelial Sheets In Vitro-Stem Cell of Fallopian Epithelium
Authors: M Zhu, T Iwano, S Takeda
Biomolecules, 2020-09-03;10(9):.
Species: Porcine
Sample Types: Whole Cells
Applications: Bioassay -
Aquaporin 1 promotes sensitivity of anthracycline chemotherapy in breast cancer by inhibiting &beta-catenin degradation to enhance TopoII&alpha activity
Authors: W Chong, H Zhang, Z Guo, L Yang, Y Shao, X Liu, Y Zhao, Z Wang, M Zhang, C Guo, L Fu, Y Ma, F Gu
Cell Death Differ., 2020-08-19;0(0):.
Species: Human
Sample Types: Whole Cells
Applications: Bioassay -
Generation of Functional Brown Adipocytes from Human Pluripotent Stem Cells via Progression through a Paraxial Mesoderm State
Authors: L Zhang, J Avery, A Yin, AM Singh, TS Cliff, H Yin, S Dalton
Cell Stem Cell, 2020-08-11;0(0):.
Species: Human
Sample Types: Whole Cells
Applications: Bioassay -
R-Spondin 2 Induces Odontogenic Differentiation of Dental Pulp Stem/Progenitor Cells via Regulation of Wnt/beta-Catenin Signaling
Authors: Y Gong, S Yuan, J Sun, Y Wang, S Liu, R Guo, W Dong, R Li
Front Physiol, 2020-08-07;11(0):918.
Species: Human
Sample Types: Whole Cells
Applications: Bioassay, Cell Culture -
Developmental excitation-inhibition imbalance underlying psychoses revealed by single-cell analyses of discordant twins-derived cerebral organoids
Authors: T Sawada, TE Chater, Y Sasagawa, M Yoshimura, N Fujimori-T, K Tanaka, KJM Benjamin, ACM Paquola, JA Erwin, Y Goda, I Nikaido, T Kato
Mol. Psychiatry, 2020-08-07;0(0):.
Species: Human
Sample Types: Organoid
Applications: Bioassay -
Implementing cell-free DNA of pancreatic cancer patient-derived organoids for personalized oncology
Authors: Z Dantes, HY Yen, N Pfarr, C Winter, K Steiger, A Muckenhube, A Hennig, S Lange, T Engleitner, R Öllinger, R Maresch, F Orben, I Heid, G Kaissis, K Shi, G Topping, F Stögbauer, M Wirth, K Peschke, A Papargyrio, M Rezaee-Ogh, K Feldmann, AP Schäfer, R Ranjan, C Lubeseder-, DE Stange, T Welsch, M Martignoni, GO Ceyhan, H Friess, A Herner, L Liotta, M Treiber, G von Figura, M Abdelhafez, P Klare, C Schlag, H Algül, J Siveke, R Braren, G Weirich, W Weichert, D Saur, R Rad, RM Schmid, G Schneider, M Reichert
JCI Insight, 2020-08-06;5(15):.
Species: Human
Sample Types: Cell Lysates, Organoid
Applications: Bioassay, Cell Culture -
Salt causes aging-associated hypertension via vascular Wnt5a under Klotho deficiency
Authors: W Kawarazaki, R Mizuno, M Nishimoto, N Ayuzawa, D Hirohama, K Ueda, F Kawakami-M, S Oba, T Marumo, T Fujita
J. Clin. Invest., 2020-08-03;0(0):.
Species: Human
Sample Types: Whole Cells
Applications: Cell Culture -
Identification and validation of the phosphorylation sites on Aristaless-related homeobox protein
Authors: X Shi, W Lin, X Gao, W Xie, JA Golden, T Tao
Biosci. Rep., 2020-07-31;40(7):.
Species: Human
Sample Types: Whole Cells
Applications: Bioassay -
Epigenetic regulator function through mouse gastrulation
Authors: S Grosswendt, H Kretzmer, ZD Smith, AS Kumar, S Hetzel, L Wittler, S Klages, B Timmermann, S Mukherji, A Meissner
Nature, 2020-07-29;584(7819):102-108.
Species: Mouse
Sample Types: Whole Cells
Applications: Bioassay -
Expression of MALAT1 Promotes Trastuzumab Resistance in HER2 Overexpressing Breast Cancers
Authors: Y Wu, M Sarkissyan, O Ogah, J Kim, JV Vadgama
Cancers (Basel), 2020-07-16;12(7):.
Species: Human
Sample Types: Whole Cells
Applications: Cell Culture -
Understanding the regulatory mechanisms of endometrial cells on activities of endometrial mesenchymal stem-like cells during menstruation
Authors: S Xu, RWS Chan, T Li, EHY Ng, WSB Yeung
Stem Cell Res Ther, 2020-06-17;11(1):239.
Species: Human
Sample Types: Whole Cells
Applications: Bioassay -
RSPO3 impacts body fat distribution and regulates adipose cell biology in vitro
Authors: NY Loh, JEN Minchin, KE Pinnick, M Verma, M Todor?evi?, N Denton, JE Moustafa, JP Kemp, CL Gregson, DM Evans, MJ Neville, KS Small, MI McCarthy, A Mahajan, JF Rawls, F Karpe, C Christodou
Nat Commun, 2020-06-03;11(1):2797.
Species: Human
Sample Types: Whole Cells
Applications: Bioassay -
Norrin mediates tumor-promoting and -suppressive effects in glioblastoma via Notch and WNT
Authors: A El-Sehemy, HJ Selvadurai, A Ortin-Mart, NT Pokrajac, Y Mamatjan, N Tachibana, KJ Rowland, L Lee, NI Park, KD Aldape, P Dirks, VA Wallace
J. Clin. Invest., 2020-06-01;0(0):.
Species: Human
Sample Types: Whole Cells
Applications: Cell Culture -
SULF1 suppresses Wnt3A-driven growth of bone metastatic prostate cancer in perlecan-modified 3D cancer-stroma-macrophage triculture models
Authors: FH Brasil da, MS Lewis, A Truong, DD Carson, MC Farach-Car
PLoS ONE, 2020-05-15;15(5):e0230354.
Species: Human
Sample Types:
Applications: Cell Culture -
FASN-Dependent Lipid Metabolism Links Neurogenic Stem/Progenitor Cell Activity to Learning and Memory Deficits
Authors: M Bowers, T Liang, D Gonzalez-B, S Zocher, BN Jaeger, WJ Kovacs, C Röhrl, KML Cramb, J Winterer, M Kruse, S Dimitrieva, RW Overall, T Wegleiter, H Najmabadi, CF Semenkovic, G Kempermann, C Földy, S Jessberger
Cell Stem Cell, 2020-05-07;0(0):.
Species: Human
Sample Types: Whole Cells
Applications: Bioassay -
LSD1 inhibition yields functional insulin-producing cells from human embryonic stem cells
Authors: F He, N Li, HB Huang, JB Wang, XF Yang, HD Wang, W Huang, FR Li
Stem Cell Res Ther, 2020-04-28;11(1):163.
Species: Human
Sample Types: Whole Cells
Applications: Bioassay -
Notch signalling drives synovial fibroblast identity and arthritis pathology
Authors: K Wei, I Korsunsky, JL Marshall, A Gao, GFM Watts, T Major, AP Croft, J Watts, PE Blazar, JK Lange, TS Thornhill, A Filer, K Raza, LT Donlin, CW Siebel, CD Buckley, S Raychaudhu, MB Brenner
Nature, 2020-04-22;582(7811):259-264.
Species: Human
Sample Types: Whole Cells
Applications: Bioassay -
iPSC-Derived Intestinal Organoids from Cystic Fibrosis Patients Acquire CFTR Activity upon TALEN-Mediated Repair of the p.F508del Mutation
Authors: A Fleischer, S Vallejo-Dí, JM Martín-Fer, A Sánchez-Gi, M Castresana, A Del Pozo, A Esquisabel, S Ávila, JL Castrillo, E Gaínza, JL Pedraz, M Viñas, D Bachiller
Mol Ther Methods Clin Dev, 2020-04-18;17(0):858-870.
Species: Human
Sample Types: Whole Cells
Applications: Cell Culture -
Canonical and non-canonical Wnt signaling are simultaneously activated by Wnts in colon cancer cells
Authors: E Flores-Her, DM Velázquez, MC Castañeda-, G Fuentes-Ga, G Fonseca-Ca, JK Yamamoto-F, MT Romero-Avi, JA García-Sái, M Robles-Flo
Cell. Signal., 2020-04-10;72(0):109636.
Species: Human
Sample Types: Whole Cell
Applications: Bioassay -
Lats1/2 Sustain Intestinal Stem Cells and Wnt Activation through TEAD-Dependent and Independent Transcription
Authors: Q Li, Y Sun, GK Jarugumill, S Liu, K Dang, JL Cotton, J Xiol, PY Chan, M DeRan, L Ma, R Li, LJ Zhu, JH Li, AB Leiter, YT Ip, FD Camargo, X Luo, RL Johnson, X Wu, J Mao
Cell Stem Cell, 2020-04-06;26(5):675-692.e8.
Species: Human
Sample Types: Whole Cells
Applications: Cell Culture -
Familial hypercholesterolemia class II low density lipoprotein-receptor response to statin treatment
Authors: L Omer, L Hindi, G Militello, KB Stivers, KC Tien, NL Boyd
Dis Model Mech, 2020-04-06;0(0):.
Species: Human
Sample Types: Whole Cells
Applications: Cell Culture -
Generation of intestinal organoids derived from human pluripotent stem cells for drug testing
Authors: S Yoshida, H Miwa, T Kawachi, S Kume, K Takahashi
Sci Rep, 2020-04-06;10(1):5989.
Species: Human
Sample Types: Whole Cells
Applications: Bioassay -
The Transcription Factor-microRNA Regulatory Network during hESC-chondrogenesis
Authors: R Griffiths, S Woods, A Cheng, P Wang, S Griffiths-, M Ronshaugen, SJ Kimber
Sci Rep, 2020-03-16;10(1):4744.
Species: Human
Sample Types: Whole Cells
Applications: Bioassay -
Dishevelled 1-Regulated Superpotent Cancer Stem Cells Mediate Wnt Heterogeneity and Tumor Progression in Hepatocellular Carcinoma
Authors: WY Liao, CC Hsu, TS Chan, CJ Yen, WY Chen, HW Pan, KK Tsai
Stem Cell Reports, 2020-03-10;14(3):462-477.
Species: Human
Sample Types: Whole Cells
Applications: Bioassay -
Wnt-3a Induces Epigenetic Remodeling in Human Dental Pulp Stem Cells
Authors: V Uribe-Etxe, P García-Gal, M Pérez-Garr, M Casado-And, I Irastorza, F Unda, G Ibarretxe, N Subirán
Cells, 2020-03-07;9(3):.
Species: Mouse
Sample Types: Whole Cells
Applications: Cell Culture -
Generation and characterization of human induced pluripotent stem cells (iPSCs) from hand osteoarthritis patient-derived fibroblasts
Authors: R Castro-Viñ, C Sanjurjo-R, M Piñeiro-Ra, T Hermida-Gó, S Rodríguez-, N Oreiro, J de Toro, I Fuentes, FJ Blanco, S Díaz-Prado
Sci Rep, 2020-03-06;10(1):4272.
Species: Human
Sample Types: Whole Cells
Applications: Cell Culture -
Induced pluripotent stem cell-derived tenocyte-like cells promote the regeneration of injured tendons in mice
Authors: S Komura, T Satake, A Goto, H Aoki, H Shibata, K Ito, A Hirakawa, Y Yamada, H Akiyama
Sci Rep, 2020-03-04;10(1):3992.
Species: Human
Sample Types: Whole Cells
Applications: Bioassay -
A hepatocyte differentiation model reveals two subtypes of liver cancer with different oncofetal properties and therapeutic targets
Authors: M Liu, Q Yan, Y Sun, Y Nam, L Hu, JH Loong, Q Ouyang, Y Zhang, HL Li, FE Kong, L Li, Y Li, MM Li, W Cheng, LX Jiang, S Fang, XD Yang, JQ Mo, YF Gong, YQ Tang, Y Li, YF Yuan, NF Ma, G Lin, S Ma, JG Wang, XY Guan
Proc. Natl. Acad. Sci. U.S.A., 2020-03-02;0(0):.
Species: Human
Sample Types: Whole Cells
Applications: Cell Culture -
Norrin restores blood-retinal barrier properties after vascular endothelial growth factor-induced permeability
Authors: M Díaz-Corán, CM Lin, S Liebner, DA Antonetti
J. Biol. Chem., 2020-02-21;0(0):.
Species: Bovine
Sample Types: Whole Cells
Applications: Bioassay -
Development of Physiologically Responsive Human iPSC-Derived Intestinal Epithelium to Study Barrier Dysfunction in IBD
Authors: JP Gleeson, HQ Estrada, M Yamashita, CN Svendsen, SR Targan, RJ Barrett
Int J Mol Sci, 2020-02-20;21(4):.
Species: Human
Sample Types: Whole Cell
Applications: Cell Culture -
Cancer cell-intrinsic function of CD177 in attenuating beta-catenin signaling
Authors: PN Kluz, R Kolb, Q Xie, N Borcherdin, Q Liu, Y Luo, MC Kim, L Wang, Y Zhang, W Li, C Stipp, KN Gibson-Cor, C Zhao, HH Qi, A Bellizzi, AW Tao, S Sugg, RJ Weigel, D Zhou, X Shen, W Zhang
Oncogene, 2020-02-10;39(14):2877-2889.
Species: Human
Sample Types: Whole Cells
Applications: Bioassay -
Cytokeratin 5 alters beta-catenin dynamics in breast cancer cells
Authors: O McGinn, AV Ward, LM Fettig, D Riley, J Ivie, KV Paul, P Kabos, J Finlay-Sch, CA Sartorius
Oncogene, 2020-01-27;39(12):2478-2492.
Species: Human
Sample Types: Whole Cells
Applications: Bioassay -
Structural insight into small molecule action on Frizzleds
Authors: P Kozielewic, A Turku, CF Bowin, J Petersen, J Valnohova, MCA Cañizal, Y Ono, A Inoue, C Hoffmann, G Schulte
Nat Commun, 2020-01-21;11(1):414.
Species: Human
Sample Types: Whole Cells
Applications: Cell Culture -
Immunomodulatory effects of interferon-gamma on human fetal cardiac mesenchymal stromal cells
Authors: KH Grinnemo, M Löfling, L Nathanson, R Baumgartne, DFJ Ketelhuth, V Beljanski, LC Davies, C Österholm
Stem Cell Res Ther, 2019-12-04;10(1):371.
Species: Human
Sample Types: Whole Cells
Applications: Bioassay -
Enteroendocrine progenitor cell enriched miR-7 regulates intestinal epithelial proliferation in an Xiap-dependent manner
Authors: AP Singh, YH Hung, MT Shanahan, M Kanke, A Bonfini, MK Dame, M Biraud, BCE Peck, OO Oyesola, JM Freund, RL Cubitt, EG Curry, LM Gonzalez, GA Bewick, ED Tait-Wojno, NA Kurpios, S Ding, JR Spence, CM Dekaney, N Buchon, P Sethupathy
Cell Mol Gastroenterol Hepatol, 2019-11-19;0(0):.
Species: Porcine
Sample Types: Whole Tissue
Applications: Tissue Culture -
Microenvironmental IL1beta promotes breast cancer metastatic colonisation in the bone via activation of Wnt signalling
Authors: R Eyre, DG Alférez, A Santiago-G, K Spence, JC McConnell, C Hart, BM Simões, D Lefley, C Tulotta, J Storer, A Gurney, N Clarke, M Brown, SJ Howell, AH Sims, G Farnie, PD Ottewell, RB Clarke
Nat Commun, 2019-11-01;10(1):5016.
Species: Human
Sample Types: Whole Cells
Applications: Cell Culture -
Wnt Glycation Inhibits Canonical Signaling
Authors: Z Ye, S Mittag, M Schmidt, A Simm, R Horstkorte, O Huber
Cells, 2019-10-25;8(11):.
Species: Human
Sample Types: Whole Cells
Applications: Cell Culture -
PRDM16 Maintains Homeostasis of the Intestinal Epithelium by Controlling Region-Specific Metabolism
Authors: RR Stine, AP Sakers, T TeSlaa, M Kissig, ZE Stine, CW Kwon, L Cheng, HW Lim, KH Kaestner, JD Rabinowitz, P Seale
Cell Stem Cell, 2019-09-26;0(0):.
Species: Mouse
Sample Types: Whole Tissue
Applications: Bioassay -
Human induced pluripotent stem cell-derived vocal fold mucosa mimics development and responses to smoke exposure
Authors: V Lungova, X Chen, Z Wang, C Kendziorsk, SL Thibeault
Nat Commun, 2019-09-24;10(1):4161.
Species: Human
Sample Types: Whole Cells
Applications: Bioassay -
Proton pump inhibitors attenuate myofibroblast formation associated with thyroid eye disease through the aryl hydrocarbon receptor
Authors: CL Hammond, E Roztocil, RP Phipps, SE Feldon, CF Woeller
PLoS ONE, 2019-09-19;14(9):e0222779.
Species: Human
Sample Types: Whole Cells
Applications: Bioassay -
In vitro metabolic zonation through oxygen gradient on a chip
Authors: F Tonon, GG Giobbe, A Zambon, C Luni, O Gagliano, A Floreani, G Grassi, N Elvassore
Sci Rep, 2019-09-19;9(1):13557.
Species: Human
Sample Types: Whole Cells
Applications: Bioassay -
Microenvironmental Factors Drive Tenascin C and Src Cooperation to Promote Invadopodia Formation in Ewing Sarcoma
Authors: AG Hawkins, CM Julian, S Konzen, S Treichel, ER Lawlor, KM Bailey
Neoplasia, 2019-09-13;21(10):1063-1072.
Species: Human
Sample Types: Whole Cells
Applications: Bioassay -
Robust, Long-Term Culture of Endoderm-Derived Hepatic Organoids for Disease Modeling
Authors: S Akbari, GG Sevinç, N Ersoy, O Basak, K Kaplan, K Sevinç, E Ozel, B Sengun, E Enustun, B Ozcimen, A Bagriyanik, N Arslan, TT Önder, E Erdal
Stem Cell Reports, 2019-09-12;13(4):627-641.
Species: Human
Sample Types: Whole Cells
Applications: Cell Culture -
Controlled modelling of human epiblast and amnion development using stem cells
Authors: Y Zheng, X Xue, Y Shao, S Wang, SN Esfahani, Z Li, JM Muncie, JN Lakins, VM Weaver, DL Gumucio, J Fu
Nature, 2019-09-11;573(7774):421-425.
Species: Human
Sample Types: Whole Cells
Applications: Bioassay -
Derivation of Brain Capillary-like Endothelial Cells from Human Pluripotent Stem Cell-Derived Endothelial Progenitor Cells
Authors: C Praça, SC Rosa, E Sevin, R Cecchelli, MP Dehouck, LS Ferreira
Stem Cell Reports, 2019-09-05;13(4):599-611.
Species: Human
Sample Types: Whole Cells
Applications: Bioassay -
USP9X Deubiquitylates DVL2 to Regulate WNT Pathway Specification
Authors: CP Nielsen, KK Jernigan, NL Diggins, DJ Webb, JA MacGurn
Cell Rep, 2019-07-23;28(4):1074-1089.e5.
Species: Human
Sample Types: Whole Cells
Applications: Cell Culture -
Enhanced chondrogenesis from human embryonic stem cells
Authors: T Wang, P Nimkingrat, CA Smith, A Cheng, TE Hardingham, SJ Kimber
Stem Cell Res, 2019-07-09;39(0):101497.
Species: Human
Sample Types: Whole Cells
Applications: Bioassay -
Blockade of STAT3 Causes Severe In Vitro and In Vivo Maturation Defects in Intestinal Organoids Derived from Human Embryonic Stem Cells
Authors: KB Jung, O Kwon, MO Lee, H Lee, YS Son, O Habib, JH Oh, HS Cho, CR Jung, J Kim, MY Son
J Clin Med, 2019-07-04;8(7):.
Species: Human
Sample Types: Whole Cells
Applications: Bioassay -
TRAF6 function as a novel co-regulator of Wnt3a target genes in prostate cancer
Authors: K Aripaka, SK Gudey, G Zang, A Schmidt, SS Åhrling, L Österman, A Bergh, J von Hofste, M Landström
EBioMedicine, 2019-06-28;0(0):.
Species: Human
Sample Types: Whole Cells
Applications: Bioassay -
E2A attenuates tumor-initiating capacity of colorectal cancer cells via the Wnt/beta-catenin pathway
Authors: H Zhao, C Zhao, H Li, D Zhang, G Liu
J. Exp. Clin. Cancer Res., 2019-06-24;38(1):276.
Species: Human
Sample Types: Whole Cells
Applications: Bioassay -
Engineering Genetic Predisposition in Human Neuroepithelial Stem Cells Recapitulates Medulloblastoma Tumorigenesis
Authors: M Huang, J Tailor, Q Zhen, AH Gillmor, ML Miller, H Weishaupt, J Chen, T Zheng, EK Nash, LK McHenry, Z An, F Ye, Y Takashima, J Clarke, H Ayetey, FMG Cavalli, B Luu, BS Moriarity, S Ilkhanizad, L Chavez, C Yu, KM Kurian, T Magnaldo, N Sevenet, P Koch, SM Pollard, P Dirks, MP Snyder, DA Largaespad, YJ Cho, JJ Phillips, FJ Swartling, AS Morrissy, M Kool, SM Pfister, MD Taylor, A Smith, WA Weiss
Cell Stem Cell, 2019-06-13;0(0):.
Species: Human
Sample Types: Whole Cells
Applications: Bioassay -
COL4A2 in the tissue-specific extracellular matrix plays important role on osteogenic differentiation of periodontal ligament stem cells
Authors: Y Wen, H Yang, J Wu, A Wang, X Chen, S Hu, Y Zhang, D Bai, Z Jin
Theranostics, 2019-05-31;9(15):4265-4286.
Species: Human
Sample Types: Whole Cells
Applications: Cell Culture -
Vitamin D and Wnt3A have additive and partially overlapping modulatory effects on gene expression and phenotype in human colon fibroblasts
Authors: G Ferrer-May, N Niell, R Cantero, JM González-S, L Del Peso, A Muñoz, MJ Larriba
Sci Rep, 2019-05-30;9(1):8085.
Species: Human
Sample Types: Whole Cells
Applications: Bioassay -
Inhibition of ERK1/2 in cancer-associated pancreatic stellate cells suppresses cancer-stromal interaction and metastasis
Authors: Z Yan, K Ohuchida, S Fei, B Zheng, W Guan, H Feng, S Kibe, Y Ando, K Koikawa, T Abe, C Iwamoto, K Shindo, T Moriyama, K Nakata, Y Miyasaka, T Ohtsuka, K Mizumoto, M Hashizume, M Nakamura
J. Exp. Clin. Cancer Res., 2019-05-27;38(1):221.
Species: Human
Sample Types: Organoids
Applications: Bioassay -
Horizontal Boundary Cells, a Special Group of Somitic Cells, Play Crucial Roles in the Formation of Dorsoventral Compartments in Teleost Somite
Authors: K Abe, A Shimada, S Tayama, H Nishikawa, T Kaneko, S Tsuda, A Karaiwa, T Matsui, T Ishitani, H Takeda
Cell Rep, 2019-04-16;27(3):928-939.e4.
Applications: Bioassay, In Vivo -
WNT5A is transported via lipoprotein particles in the cerebrospinal fluid to regulate hindbrain morphogenesis
Authors: K Kaiser, D Gyllborg, J Procházka, A Salašová, P Kompaníkov, FL Molina, R Laguna-Goy, T Radaszkiew, J Harnoš, M Procházkov, D Pot?šil, RA Barker, ÁG Casado, Z Zdráhal, R Sedlá?ek, E Arenas, JC Villaescus, V Bryja
Nat Commun, 2019-04-02;10(1):1498.
Species: Mouse
Sample Types: Whole Cells
Applications: Bioassay -
Gfi1b regulates the level of Wnt/?-catenin signaling in hematopoietic stem cells and megakaryocytes
Authors: P Shooshtari, A Helness, C Vadnais, N Brouwer, H Beauchemin, R Chen, H Bagci, FJT Staal, JF Coté, T Möröy
Nat Commun, 2019-03-20;10(1):1270.
Species: Human
Sample Types: Whole Cells
Applications: Bioassay -
Point mutations in the PDX1 transactivation domain impair human ?-cell development and function
Authors: X Wang, M Sterr, Ansarullah, I Burtscher, A Böttcher, J Beckenbaue, J Siehler, T Meitinger, HU Häring, H Staiger, FM Cernilogar, G Schotta, M Irmler, J Beckers, CVE Wright, M Bakhti, H Lickert
Mol Metab, 2019-03-20;0(0):.
Species: Human
Sample Types: Whole Cells
-
In-depth characterization of the Wnt-signaling/?-catenin pathway in an in vitro model of Barrett's sequence
Authors: K Götzel, O Chemnitzer, L Maurer, A Dietrich, U Eichfeld, O Lyros, Y Moulla, S Niebisch, M Mehdorn, B Jansen-Win, M Vieth, A Hoffmeiste, I Gockel, R Thieme
BMC Gastroenterol, 2019-03-06;19(1):38.
Species: Human
Sample Types: Whole Cells
Applications: Bioassay -
Human Pluripotent Stem Cell-Derived Multipotent Vascular Progenitors of the Mesothelium Lineage Have Utility in Tissue Engineering and Repair
Authors: T Colunga, M Hayworth, S Kre beta, DM Reynolds, L Chen, KL Nazor, J Baur, AM Singh, JF Loring, M Metzger, S Dalton
Cell Rep, 2019-03-05;26(10):2566-2579.e10.
Species: Human
Sample Types: Whole Cells
Applications: Bioassay -
Excess growth hormone suppresses DNA damage repair in epithelial cells
Authors: V Chesnokova, S Zonis, R Barrett, H Kameda, K Wawrowsky, A Ben-Shlomo, M Yamamoto, J Gleeson, C Bresee, V Gorbunova, S Melmed
JCI Insight, 2019-02-07;4(3):.
Species: Human
Sample Types: Whole Cells
Applications: Bioassay -
Dickkopf-1 (DKK1) promotes tumor growth via Akt-phosphorylation and independently of Wnt-axis in Barrett's associated esophageal adenocarcinoma
Authors: O Lyros, AK Lamprecht, L Nie, R Thieme, K Götzel, M Gasparri, G Haasler, P Rafiee, R Shaker, I Gockel
Am J Cancer Res, 2019-02-01;9(2):330-346.
Species: Human
Sample Types: Whole Cells
Applications: Bioassay -
Induction of Expandable Tissue-Specific Progenitor Cells from Human Pancreatic Tissue through Transient Expression of Defined Factors
Authors: H Noguchi, C Miyagi-Shi, Y Nakashima, T Kinjo, N Kobayashi, I Saitoh, M Watanabe, AMJ Shapiro, T Kin
Mol Ther Methods Clin Dev, 2019-01-29;13(0):243-252.
Species: Human
Sample Types: Whole Cells
Applications: Bioassay -
ZNF326 promotes malignant phenotype of glioma by up-regulating HDAC7 expression and activating Wnt pathway
Authors: X Yu, M Wang, J Wu, Q Han, X Zhang
J. Exp. Clin. Cancer Res., 2019-01-28;38(1):40.
Species: Human
Sample Types: Whole Cells
Applications: Bioassay -
An integrated chromatin accessibility and transcriptome landscape of human pre-implantation embryos
Authors: L Liu, L Leng, C Liu, C Lu, Y Yuan, L Wu, F Gong, S Zhang, X Wei, M Wang, L Zhao, L Hu, J Wang, H Yang, S Zhu, F Chen, G Lu, Z Shang, G Lin
Nat Commun, 2019-01-21;10(1):364.
Species: Human
Sample Types: Whole Cells
Applications: Bioassay -
WNT/ beta -catenin modulates the axial identity of embryonic stem cell-derived human neural crest
Authors: Gustavo A. Gomez, Maneeshi S. Prasad, Man Wong, Rebekah M. Charney, Patrick B. Shelar, Nabjot Sandhu et al.
Development
Species: Human
Sample Types: Whole Cells
Applications: Bioassay -
Expression of the human antimicrobial peptide ?-defensin-1 is repressed by the EGFR-ERK-MYC axis in colonic epithelial cells
Authors: C Bonamy, E Sechet, A Amiot, A Alam, M Mourez, L Fraisse, PJ Sansonetti, B Sperandio
Sci Rep, 2018-12-21;8(1):18043.
Species: Human
Sample Types: Organoids
Applications: Bioassay -
Transcriptome 3'end organization by PCF11 links alternative polyadenylation to formation and neuronal differentiation of neuroblastoma
Authors: A Ogorodniko, M Levin, S Tattikota, S Tokalov, M Hoque, D Scherzinge, F Marini, A Poetsch, H Binder, S Macher-Göp, HC Probst, B Tian, M Schaefer, KJ Lackner, F Westermann, S Danckwardt
Nat Commun, 2018-12-14;9(1):5331.
Species: Human
Sample Types: Whole Cells
Applications: Bioassay -
A transient DMSO treatment increases the differentiation potential of human pluripotent stem cells through the Rb family
Authors: J Li, C Narayanan, J Bian, D Sambo, T Brickler, W Zhang, S Chetty
PLoS ONE, 2018-12-12;13(12):e0208110.
Species: Human
Sample Types: Whole Cells
Applications: Bioassay -
Aging differentially modulates the Wnt pro-survival signalling pathways in vascular smooth muscle cells
Authors: BA Brown, GM Connolly, CEJ Mill, H Williams, GD Angelini, JL Johnson, SJ George
Aging Cell, 2018-12-12;0(0):e12844.
Species: Mouse
Sample Types: Whole Cells
Applications: Bioassay -
Lineage-Specific Chiral Biases of Human Embryonic Stem Cells during Differentiation
Authors: KE Worley, AS Chin, LQ Wan
Stem Cells Int, 2018-12-02;2018(0):1848605.
Species: Human
Sample Types: Whole Cells
Applications: Bioassay -
GLIS3 Transcriptionally Activates WNT Genes to Promote Differentiation of Human Embryonic Stem Cells into Posterior Neural Progenitors
Authors: K Jeon, D Kumar, AE Conway, K Park, R Jothi, AM Jetten
Stem Cells, 2018-12-02;0(0):.
Species: Human
Sample Types: Cell Lysates
Applications: ELISA (Standard) -
Six3 and Six6 Are Jointly Required for the Maintenance of Multipotent Retinal Progenitors through Both Positive and Negative Regulation
Authors: R Diacou, Y Zhao, D Zheng, A Cvekl, W Liu
Cell Rep, 2018-11-27;25(9):2510-2523.e4.
Species: Mouse
Sample Types: Whole Tissue
Applications: Bioassay -
EPH receptor A2 governs a feedback loop that activates Wnt/?-catenin signaling in gastric cancer
Authors: Q Peng, L Chen, W Wu, J Wang, X Zheng, Z Chen, Q Jiang, J Han, L Wei, L Wang, J Huang, J Ma
Cell Death Dis, 2018-11-19;9(12):1146.
Species: Human
Sample Types: Whole Cells
Applications: Bioassay -
Establishment of a rapid and footprint-free protocol for differentiation of human embryonic stem cells into pancreatic endocrine cells with synthetic mRNAs encoding transcription factors
Authors: H Ida, T Akiyama, K Ishiguro, SK Goparaju, Y Nakatake, N Chikazawa-, S Sato, H Kimura, Y Yokoyama, M Nagino, MSH Ko, SBH Ko
Stem Cell Res Ther, 2018-10-25;9(1):277.
Species: Human
Sample Types: Whole Cells
Applications: Bioassay -
Complementary Wnt Sources Regulate Lymphatic Vascular Development via PROX1-Dependent Wnt/?-Catenin Signaling
Authors: B Cha, X Geng, MR Mahamud, JY Zhang, L Chen, W Kim, EH Jho, Y Kim, D Choi, JB Dixon, H Chen, YK Hong, L Olson, TH Kim, BJ Merrill, MJ Davis, RS Srinivasan
Cell Rep, 2018-10-16;25(3):571-584.e5.
Species: Human
Sample Types: Whole Cells
Applications: Bioassay -
Natural molecules induce and synergize to boost expression of the human antimicrobial peptide ?-defensin-3
Authors: E Sechet, E Telford, C Bonamy, PJ Sansonetti, B Sperandio
Proc. Natl. Acad. Sci. U.S.A., 2018-10-01;0(0):.
Species: Human
Sample Types: Organoids
Applications: Bioassay -
Three-Dimensional Organoids Reveal Therapy Resistance of Esophageal and Oropharyngeal Squamous Cell Carcinoma Cells
Authors: T Kijima, H Nakagawa, M Shimonoson, PM Chandramou, T Hara, V Sahu, Y Kasagi, O Kikuchi, K Tanaka, V Giroux, AB Muir, KA Whelan, S Ohashi, S Naganuma, AJ Klein-Szan, Y Shinden, K Sasaki, I Omoto, Y Kita, M Muto, AJ Bass, JA Diehl, GG Ginsberg, Y Doki, M Mori, Y Uchikado, T Arigami, NG Avadhani, D Basu, AK Rustgi, S Natsugoe
Cell Mol Gastroenterol Hepatol, 2018-09-14;7(1):73-91.
Species: Human
Sample Types: Organoids
Applications: Bioassay -
Tributyltin Inhibits Neural Induction of Human Induced Pluripotent Stem Cells
Authors: S Yamada, Y Kubo, D Yamazaki, Y Sekino, Y Nomura, S Yoshida, Y Kanda
Sci Rep, 2018-08-14;8(1):12155.
Species: Human
Sample Types: Whole Cells
Applications: Bioassay -
Effects of lung and airway epithelial maturation cocktail on the structure of lung bud organoids
Authors: E Magro-Lope, C Palmer, J Manso, I Liste, A Zambrano
Stem Cell Res Ther, 2018-07-11;9(1):186.
Species: Human
Sample Types: Whole Cells
Applications: Bioassay -
Functional 3D Human Liver Bud Assembled from MSC-Derived Multiple Liver Cell Lineages
Authors: J Li, F Xing, F Chen, L He, KF So, Y Liu, J Xiao
Cell Transplant, 2018-06-13;0(0):9636897187803.
Species: Human
Sample Types: Whole Cells
Applications: Bioassay -
An essential role for Wnt/?-catenin signaling in mediating hypertensive heart disease
Authors: Y Zhao, C Wang, C Wang, X Hong, J Miao, Y Liao, L Zhou, Y Liu
Sci Rep, 2018-06-12;8(1):8996.
Species: Rat
Sample Types: Whole Cells
Applications: Bioassay -
Reliance upon ancestral mutations is maintained in colorectal cancers that heterogeneously evolve during targeted therapies
Authors: M Russo, S Lamba, A Lorenzato, A Sogari, G Corti, G Rospo, B Mussolin, M Montone, L Lazzari, S Arena, D Oddo, M Linnebache, A Sartore-Bi, F Pietranton, S Siena, F Di Nicolan, A Bardelli
Nat Commun, 2018-06-12;9(1):2287.
Species: Human
Sample Types: Whole Cells
Applications: Bioassay -
Expansion of human primary hepatocytes in vitro through their amplification as liver progenitors in a 3D organoid system
Authors: D Garnier, R Li, F Delbos, A Fourrier, C Collet, C Guguen-Gui, C Chesné, TH Nguyen
Sci Rep, 2018-05-29;8(1):8222.
Species: Human
Sample Types: Organoids
Applications: Bioassay -
Efficient Generation of CA3 Neurons from Human Pluripotent Stem Cells Enables Modeling of Hippocampal Connectivity In�Vitro
Authors: A Sarkar, A Mei, ACM Paquola, S Stern, C Bardy, JR Klug, S Kim, N Neshat, HJ Kim, M Ku, MN Shokhirev, DH Adamowicz, MC Marchetto, R Jappelli, JA Erwin, K Padmanabha, M Shtrahman, X Jin, FH Gage
Cell Stem Cell, 2018-05-03;22(5):684-697.e9.
Species: Human
Sample Types: Whole Cells
Applications: Bioassay -
A20 regulates canonical wnt-signaling through an interaction with RIPK4
Authors: BN Nakamura, A Glazier, MG Kattah, B Duong, Y Jia, D Campo, L Shao
PLoS ONE, 2018-05-02;13(5):e0195893.
Species: Human
Sample Types: Whole Cells
Applications: Bioassay -
Ubiquitylation and degradation of adenomatous polyposis coli by MKRN1 enhances Wnt/?-catenin signaling
Authors: HK Lee, EW Lee, J Seo, M Jeong, SH Lee, SY Kim, EH Jho, CH Choi, JY Chung, J Song
Oncogene, 2018-05-01;0(0):.
Species: Human
Sample Types: Whole Cells
Applications: Bioassay -
TGF? activation primes canonical Wnt signaling through the downregulation of AXIN2
Authors: J Gillespie, RL Ross, C Corinaldes, F Esteves, E Derrett-Sm, MF McDermott, GM Doody, CP Denton, P Emery, F Del Galdo
Arthritis & rheumatology (Hoboken, N.J.), 2018-04-23;0(0):.
Species: Human
Sample Types: Whole Cells
Applications: Cell Culture -
LGR5 and BMI1 Increase Pig Intestinal Epithelial Cell Proliferation by Stimulating WNT/?-Catenin Signaling
Authors: XG Li, Z Wang, RQ Chen, HL Fu, CQ Gao, HC Yan, GX Xing, XQ Wang
Int J Mol Sci, 2018-03-30;19(4):.
Species: Porcine
Sample Types: Whole Cells
Applications: Bioassay -
Cholesterol Esterification Inhibition Suppresses Prostate Cancer Metastasis by Impairing the Wnt/?-catenin Pathway
Authors: HJ Lee, J Li, RE Vickman, J Li, R Liu, A Durkes, BD Elzey, S Yue, X Liu, TL Ratliff, JX Cheng
Mol. Cancer Res., 2018-03-15;0(0):.
Species: Human
Sample Types: Whole Cells
Applications: Bioassay -
Tissue transglutaminase regulates interactions between ovarian cancer stem cells and the tumor niche
Authors: S Condello, LE Sima, C Ivan, H Cardenas, GE Schiltz, RK Mishra, D Matei
Cancer Res., 2018-03-06;0(0):.
Species: Human
Sample Types: Whole Cells
Applications: Bioassay -
Wnt Signalling Drives Context-Dependent Differentiation or Proliferation in Neuroblastoma
Authors: M Szemes, A Greenhough, Z Melegh, S Malik, A Yuksel, D Catchpoole, K Gallacher, M Kollareddy, JH Park, K Malik
Neoplasia, 2018-03-03;20(4):335-350.
Species: Human
Sample Types: Whole Cells
Applications: Bioassay -
PBX3 is part of an EMT regulatory network and indicates poor outcome in colorectal cancer
Authors: S Lamprecht, M Kaller, EM Schmidt, C Blaj, TS Schiergens, J Engel, A Jung, H Hermeking, TGP Grünewald, T Kirchner, D Horst
Clin. Cancer Res., 2018-02-01;0(0):.
Species: Human
Sample Types: Whole Cells
Applications: Stimulation -
Cardiotrophic Growth Factor-Driven Induction of Human Muse Cells Into Cardiomyocyte-Like Phenotype
Authors: M Amin, Y Kushida, S Wakao, M Kitada, K Tatsumi, M Dezawa
Cell Transplant, 2018-02-01;27(2):285-298.
Species: Human
Sample Types: Whole Cells
Applications: Bioassay -
Timing is everything: Reiterative Wnt, BMP and RA signaling regulate developmental competence during endoderm organogenesis
Authors: Scott A. Rankin, Kyle W. McCracken, David M. Luedeke, Lu Han, James M. Wells, John M. Shannon et al.
Developmental Biology
Species: Human
Sample Types: Whole Cells
Applications: Bioassay -
The Ewing sarcoma secretome and its response to activation of Wnt/beta-catenin signaling
Authors: AG Hawkins, V Basrur, F da Veiga L, E Pedersen, C Sperring, AI Nesvizhski, ER Lawlor
Mol. Cell Proteomics, 2018-01-31;0(0):.
Species: Human
Sample Types: Whole Cells
-
Genome-wide analysis of PDX1 target genes in human pancreatic progenitors
Authors: X Wang, M Sterr, I Burtscher, S Chen, A Hieronimus, F Machicao, H Staiger, HU Häring, G Lederer, T Meitinger, FM Cernilogar, G Schotta, M Irmler, J Beckers, M Hrab? de A, M Ray, CVE Wright, M Bakhti, H Lickert
Mol Metab, 2018-01-31;0(0):.
Species: Human
Sample Types: Whole Cells
Applications: Bioassay -
IKK? is a ?-catenin kinase that regulates mesenchymal stem cell differentiation
Authors: Y Sui, Z Liu, SH Park, SE Thatcher, B Zhu, JP Fernandez, H Molina, PA Kern, C Zhou
JCI Insight, 2018-01-25;3(2):.
Species: Mouse
Sample Types: Whole Cells
Applications: Bioassay -
The Wnt-?-catenin signaling regulated MRTF-A transcription to activate migration-related genes in human breast cancer cells
Authors: H He, F Du, Y He, Z Wei, C Meng, Y Xu, H Zhou, N Wang, XG Luo, W Ma, TC Zhang
Oncotarget, 2018-01-04;9(20):15239-15251.
Species: Human
Sample Types: Whole Cells
Applications: Bioassay -
A simple and scalable hydrogel-based system for culturing protein-producing cells
Authors: Q Li, Q Wang, O Wang, K Shao, H Lin, Y Lei
PLoS ONE, 2018-01-02;13(1):e0190364.
Species: Human
Sample Types: Whole Cells
Applications: Bioassay -
Enhanced Utilization of Induced Pluripotent Stem Cell-Derived Human Intestinal Organoids Using Microengineered Chips.
Authors: Michael J Workman, John P Gleeson, Elissa J Troisi, Hannah Q Estrada, S Jordan Kerns, Christopher D Hinojosa, Geraldine A Hamilton, Stephan R Targan, Clive N Svendsen, Robert J Barrett
Cellular and Molecular Gastroenterology and Hepatology, 2017-12-29;0(0):2352-345X.
Species: Human
Sample Types: Whole Cells
Applications: Bioassay -
BMP3 expression by osteoblast lineage cells is regulated by canonical Wnt signaling
Authors: S Kokabu, V Rosen
FEBS Open Bio, 2017-12-16;8(2):168-176.
Species: Mouse
Sample Types: Whole Cells
Applications: Bioassay -
Notch/Wnt cross-signalling regulates stemness of dental pulp stem cells through expression of neural crest and core pluripotency factors
Authors: V Uribe-Etxe, J Luzuriaga, P García-Gal, A Agliano, F Unda, G Ibarretxe
Eur Cell Mater, 2017-11-01;34(0):249-270.
Species: Human
Sample Types: Whole Cells
Applications: Bioassay -
SPARCL1 suppresses osteosarcoma metastasis and recruits macrophages by activation of canonical WNT/?-catenin signaling through stabilization of the WNT-receptor complex
Authors: SJ Zhao, YQ Jiang, NW Xu, Q Li, Q Zhang, SY Wang, J Li, YH Wang, YL Zhang, SH Jiang, YJ Wang, YJ Huang, XX Zhang, GA Tian, CC Zhang, YY Lv, M Dai, F Liu, R Zhang, D Zhou, ZG Zhang
Oncogene, 2017-10-30;0(0):.
Species: Human
Sample Types: Whole Cells
Applications: Bioassay -
A Novel Positive Feedback Loop Between NTSR1 and Wnt/?-Catenin Contributes to Tumor Growth of Glioblastoma
Authors: H Xiao, Y Zeng, Q Wang, S Wei, X Zhu
Cell. Physiol. Biochem., 2017-10-24;43(5):2133-2142.
Species: Human
Sample Types: Whole Cells
Applications: Cell Culture -
MYC Controls Human Pluripotent Stem Cell Fate Decisions through Regulation of Metabolic Flux
Authors: TS Cliff, T Wu, BR Boward, A Yin, H Yin, JN Glushka, JH Prestegaar, S Dalton
Cell Stem Cell, 2017-09-28;21(4):502-516.e9.
Species: Human
Sample Types: Whole Cells
Applications: Bioassay -
Effects of Aminoglycoside Antibiotics on Human Embryonic Stem Cell Viability during Differentiation In Vitro
Authors: DS Varghese, S Parween, MT Ardah, BS Emerald, SA Ansari
Stem Cells Int, 2017-09-24;2017(0):2451927.
Species: Human
Sample Types: Whole Cells
Applications: Bioassay -
Generation of Mouse and Human Organoid-Forming Intestinal Progenitor Cells by Direct Lineage Reprogramming
Authors: S Miura, A Suzuki
Cell Stem Cell, 2017-09-21;0(0):.
Species: Human
Sample Types: Whole Cells
Applications: Bioassay -
Directed Differentiation of Human Induced Pluripotent Stem Cells into Fallopian Tube Epithelium
Authors: N Yucer, M Holzapfel, T Jenkins Vo, L Lenaeus, L Ornelas, A Laury, D Sareen, R Barrett, BY Karlan, CN Svendsen
Sci Rep, 2017-09-06;7(1):10741.
Species: Human
Sample Types: Whole Cells
Applications: Bioassay -
AKAP2 is upregulated in ovarian cancer, and promotes growth and migration of cancer cells
Authors: X Li, C Wang, G Zhang, M Liang, B Zhang
Mol Med Rep, 2017-08-18;0(0):.
Species: Human
Sample Types: Whole Cells
Applications: Bioassay -
Loss of Usp9x disrupts cell adhesion, and components of the Wnt and Notch signaling pathways in neural progenitors
Authors: S Premarathn, M Murtaza, N Matigian, LA Jolly, SA Wood
Sci Rep, 2017-08-14;7(1):8109.
Species: Human
Sample Types: Whole Cells
Applications: Bioassay -
Suppression of Wnt Signaling and Osteogenic Changes in Vascular Smooth Muscle Cells by Eicosapentaenoic Acid.
Authors: Yukihiro Saito, Kazufumi Nakamura, Daiji Miura, Kei Yunoki, Toru Miyoshi, Masashi Yoshida, Norifumi Kawakita, Tomonari Kimura, Megumi Kondo, Toshihiro Sarashina, Satoshi Akagi, Atsuyuki Watanabe, Nobuhiro Nishii, Hiroshi Morita, Hiroshi Ito
Nutrients, 2017-08-10;0(0):2072-6643.
Species: Human
Sample Types: Whole Cells
Applications: Cell Culture -
Wnt/?-catenin signaling suppresses expressions of Scx, Mkx, and Tnmd in tendon-derived cells
Authors: Y Kishimoto, B Ohkawara, T Sakai, M Ito, A Masuda, N Ishiguro, C Shukunami, D Docheva, K Ohno
PLoS ONE, 2017-07-27;12(7):e0182051.
Species: Human
Sample Types: Whole Cells
Applications: Bioassay -
DOT1L safeguards cartilage homeostasis and protects against osteoarthritis
Authors: S Monteagudo, FMF Cornelis, C Aznar-Lope, P Yibmantasi, LA Guns, P Carmeliet, F Cailotto, RJ Lories
Nat Commun, 2017-06-19;8(0):15889.
Species: Human
Sample Types: Whole Cells
Applications: Bioassay -
Multilineage communication regulates human liver bud development from pluripotency
Authors: JG Camp, K Sekine, T Gerber, H Loeffler-W, H Binder, M Gac, S Kanton, J Kageyama, G Damm, D Seehofer, L Belicova, M Bickle, R Barsacchi, R Okuda, E Yoshizawa, M Kimura, H Ayabe, H Taniguchi, T Takebe, B Treutlein
Nature, 2017-06-14;0(0):.
Species: Human
Sample Types: Whole Cells
Applications: Bioassay -
Wnt/?-catenin signaling contributes to tumor malignancy and is targetable in gastrointestinal stromal tumor
Authors: S Zeng, AM Seifert, JQ Zhang, MJ Cavnar, TS Kim, VP Balachandr, JA Santamaria, NA Cohen, MJ Beckman, B Medina, F Rossi, MH Crawley, JK Loo, JH Maltbaek, P Besmer, CR Antonescu, RP DeMatteo
Mol. Cancer Ther., 2017-06-13;0(0):.
Species: Human
Sample Types: Whole Cells
Applications: Bioassay -
Wnt3a Induces the Expression of Acetylcholinesterase during Osteoblast Differentiation via the Runx2 Transcription Factor
Authors: ML Xu, CWC Bi, EYL Liu, TTX Dong, KWK Tsim
J. Biol. Chem., 2017-06-12;0(0):.
Species: Rat
Sample Types: Whole Cells
Applications: Bioassay -
Establishment of a refined culture method for rat colon organoids
Authors: H Isshiki, Y Arimura, K Nagaishi, K Kawakami, K Onodera, K Yamashita, Y Naishiro, M Fujimiya, K Imai, Y Shinomura
Biochem. Biophys. Res. Commun., 2017-05-27;0(0):.
Species: Rat
Sample Types: Whole Cells
Applications: Bioassay -
Effects of hepatitis C virus core protein and nonstructural protein 4B on the Wnt/?-catenin pathway
Authors: XH Jiang, YT Xie, YP Cai, J Ren, T Ma
BMC Microbiol., 2017-05-25;17(1):124.
Species: Human
Sample Types: Whole Cells
Applications: Bioassay -
Modelling foetal exposure to maternal smoking using hepatoblasts from pluripotent stem cells
Authors: B Lucendo-Vi, P Filis, MJ Swortwood, MA Huestis, J Meseguer-R, K Cameron, JP Iredale, PJ O'Shaughne, PA Fowler, DC Hay
Arch. Toxicol., 2017-05-16;0(0):.
Species: Human
Sample Types: Whole Cells
Applications: Bioassay -
The N-glycome of embryonic stem cells and thereof differentiated hepatic cells
Authors: H Montacir, N Freyer, F Knoespel, T Urbaniak, T Dedova, M Berger, G Damm, R Tauber, K Zeilinger, V Blanchard
Chembiochem, 2017-05-15;0(0):.
Species: Human
Sample Types: Whole Cells
Applications: Bioassay -
Beta-catenin inhibitor BC2059 is efficacious as monotherapy or in combination with proteasome inhibitor bortezomib in multiple myeloma
Authors: I Savvidou, T Khong, A Cuddihy, C McLean, S Horrigan, A Spencer
Mol. Cancer Ther., 2017-05-12;0(0):.
Species: Human
Sample Types: Whole Cells
Applications: Bioassay -
Accreditation of Biosafe Clinical-Grade Human Embryonic Stem Cells According to Chinese Regulations
Authors: Q Gu, J Wang, L Wang, ZX Liu, WW Zhu, YQ Tan, WF Han, J Wu, CJ Feng, JH Fang, L Liu, L Wang, W Li, XY Zhao, BY Hu, J Hao, Q Zhou
Stem Cell Reports, 2017-05-11;0(0):.
Species: Human
Sample Types: Whole Cells
Applications: Bioassay -
Ubiquitin carboxyl-terminal esterase L1 (UCHL1) is associated with stem-like cancer cell functions in pediatric high-grade glioma
Authors: PC Sanchez-Di, JC Chang, ES Moses, T Dao, Y Chen, JY Hung
PLoS ONE, 2017-05-04;12(5):e0176879.
Species: Human
Sample Types: Whole Cells
Applications: Bioassay -
Surrogate Wnt agonists that phenocopy canonical Wnt and ?-catenin signalling
Authors: CY Janda, LT Dang, C You, J Chang, W de Lau, ZA Zhong, KS Yan, O Marecic, D Siepe, X Li, JD Moody, BO Williams, H Clevers, J Piehler, D Baker, CJ Kuo, KC Garcia
Nature, 2017-05-03;0(0):.
Species: Human
Sample Types: Whole Cells
Applications: Bioassay -
Donor-Dependent and Other Nondefined Factors Have Greater Influence on the Hepatic Phenotype Than the Starting Cell Type in Induced Pluripotent Stem Cell Derived Hepatocyte-Like Cells
Authors: JA Heslop, R Kia, CS Pridgeon, RL Sison-Youn, T Liloglou, M Elmasry, SW Fenwick, JS Mills, NR Kitteringh, CE Goldring, BK Park
Stem Cells Transl Med, 2017-05-01;6(5):1321-1331.
Species: Human
Sample Types: Whole Cells
Applications: Bioassay -
Physico-electrochemical Characterization of Pluripotent Stem Cells during Self-Renewal or Differentiation by a Multi-modal Monitoring System
Authors: K Low, LY Wong, M Maldonado, C Manjunath, CB Horner, M Perez, NV Myung, J Nam
Stem Cell Reports, 2017-04-27;0(0):.
Species: Human
Sample Types: Whole Cells
Applications: Bioassay -
Age-related increase in Wnt inhibitor causes a senescence-like phenotype in human cardiac stem cells
Authors: T Nakamura, T Hosoyama, J Murakami, M Samura, K Ueno, H Kurazumi, R Suzuki, A Mikamo, K Hamano
Biochem. Biophys. Res. Commun., 2017-04-21;0(0):.
Species: Human
Sample Types: Whole Cells
Applications: Bioassay -
The LncRNA ZBED3-AS1 induces chondrogenesis of human synovial fluid mesenchymal stem cells
Authors: F Ou, K Su, J Sun, W Liao, Y Yao, Y Zheng, Z Zhang
Biochem. Biophys. Res. Commun., 2017-04-18;487(2):457-463.
Species: Human
Sample Types: Whole Cells
Applications: Bioassay -
Galectin-1 inhibition attenuates profibrotic signaling in hypoxia-induced pulmonary fibrosis
Authors: JJ Kathiriya, N Nakra, J Nixon, PS Patel, V Vaghasiya, A Alhassani, Z Tian, D Allen-Gips, V Davé
Cell Death Discov, 2017-04-10;3(0):17010.
Species: Human
Sample Types: Whole Cells
Applications: Bioassay -
Gelatin device for the delivery of growth factors involved in endochondral ossification
Authors: LA Ahrens, D Vonwil, J Christense, VP Shastri
PLoS ONE, 2017-04-05;12(4):e0175095.
Species: Human
Sample Types: Whole Cells
Applications: Bioassay -
Dishevelled stability is positively regulated by PKC?-mediated phosphorylation induced by Wnt agonists
Authors: DM Velázquez, MC Castañeda-, M Robles-Flo
Cell. Signal., 2017-03-31;35(0):107-117.
Species: Human
Sample Types: Whole Cells
Applications: Bioassay -
Efficient Derivation of Functional Human Airway Epithelium from Pluripotent Stem Cells via Temporal Regulation of Wnt Signaling
Authors: KB McCauley, F Hawkins, M Serra, DC Thomas, A Jacob, DN Kotton
Cell Stem Cell, 2017-03-30;0(0):.
Species: Human
Sample Types: Whole Cells
Applications: Bioassay -
Wnts contribute to neuromuscular junction formation through distinct signaling pathways
Authors: J Messéant, J Ezan, P Delers, K Glebov, C Marchiol, F Lager, G Renault, F Tissir, M Montcouqui, N Sans, C Legay, L Strochlic
Development, 2017-03-27;0(0):.
Species: Mouse
Sample Types: Whole Cells
Applications: Bioassay -
Paracrine signals regulate human liver organoid maturation from induced pluripotent stem cells
Authors: A Asai, E Aihara, C Watson, R Mourya, T Mizuochi, P Shivakumar, K Phelan, C Mayhew, M Helmrath, T Takebe, J Wells, JA Bezerra
Development, 2017-03-15;144(6):1056-1064.
Species: Human
Sample Types: Whole Cells
Applications: Bioassay -
A Wnt5 Activity Asymmetry and Intercellular Signaling via PCP Proteins Polarize Node Cells for Left-Right Symmetry Breaking
Authors: K Minegishi, M Hashimoto, R Ajima, K Takaoka, K Shinohara, Y Ikawa, H Nishimura, AP McMahon, K Willert, Y Okada, H Sasaki, D Shi, T Fujimori, T Ohtsuka, Y Igarashi, TP Yamaguchi, A Shimono, H Shiratori, H Hamada
Dev. Cell, 2017-03-13;40(5):439-452.e4.
Species: Mouse
Sample Types: Whole Embryo
Applications: Bioassay -
Generation of Human Liver Chimeric Mice with Hepatocytes from Familial Hypercholesterolemia Induced Pluripotent Stem Cells
Authors: J Yang, Y Wang, T Zhou, LY Wong, XY Tian, X Hong, WH Lai, KW Au, R Wei, Y Liu, LH Cheng, G Liang, Z Huang, W Fan, P Zhao, X Wang, DP Ibañez, Z Luo, Y Li, X Zhong, S Chen, D Wang, L Li, L Lai, B Qin, X Bao, AP Hutchins, CW Siu, Y Huang, MA Esteban, HF Tse
Stem Cell Reports, 2017-03-02;0(0):.
Species: Human
Sample Types: Whole Cells
Applications: Bioassay -
A process engineering approach to increase organoid yield
Authors: N Arora, J Imran Also, JW Guggenheim, M Mak, J Munera, JM Wells, RD Kamm, HH Asada, SY Shvartsman, LG Griffith
Development, 2017-02-07;144(6):1128-1136.
Species: Human
Sample Types: Whole Cells
Applications: Bioassay -
Up-regulated NRIP2 in colorectal cancer initiating cells modulates the Wnt pathway by targeting ROR?
Authors: Z Wen, T Pan, S Yang, J Liu, H Tao, Y Zhao, D Xu, W Shao, J Wu, X Liu, Y Wang, J Mao, Y Zhu
Mol. Cancer, 2017-01-31;16(1):20.
Species: Human
Sample Types: Whole Cells
Applications: Bioassay -
WNT/?-catenin pathway modulates the TNF-?-induced inflammatory response in bronchial epithelial cells
Authors: J Jang, Y Jung, S Chae, SI Chung, SM Kim, Y Yoon
Biochem. Biophys. Res. Commun, 2017-01-28;0(0):.
Species: Human
Sample Types: Whole Cells
Applications: Bioassay -
LPS-induced inflammatory response is suppressed by Wnt inhibitors, Dickkopf-1 and LGK974
Authors: J Jang, Y Jung, Y Kim, EH Jho, Y Yoon
Sci Rep, 2017-01-27;7(0):41612.
Species: Human
Sample Types: Whole Cells
Applications: Bioassay -
Patient-specific hepatocyte-like cells derived from induced pluripotent stem cells model pazopanib-mediated hepatotoxicity
Authors: Y Choudhury, YC Toh, J Xing, Y Qu, J Poh, L Huan, HS Tan, R Kanesvaran, H Yu, MH Tan
Sci Rep, 2017-01-25;7(0):41238.
Species: Human
Sample Types: Whole Cells
Applications: Bioassay -
Aristaless Related Homeobox (ARX) Interacts with ?-Catenin, BCL9, and P300 to Regulate Canonical Wnt Signaling
Authors: IT Cho, Y Lim, JA Golden, G Cho
PLoS ONE, 2017-01-19;12(1):e0170282.
Species: Human
Sample Types: Whole Cells
Applications: Bioassay -
Aberrantly expressed LGR4 empowers Wnt signaling in multiple myeloma by hijacking osteoblast-derived R-spondins
Proc. Natl. Acad. Sci. U.S.A, 2016-12-27;0(0):.
Species: Human
Sample Types: Whole Cells
Applications: Bioassay -
Noncanonical WNT-5A signaling impairs endogenous lung repair in COPD
Authors: Hoeke A Baarsma
J. Exp. Med, 2016-12-15;0(0):.
Species: Mouse
Sample Types: Whole Cells
Applications: Bioassay -
G protein-coupled receptor 34 in ovarian granulosa cells of cattle: changes during follicular development and potential functional implications
Authors: L J Spicer
Domest. Anim. Endocrinol, 2016-12-11;59(0):90-99.
Species: Bovine
Sample Types: Whole Cells
Applications: Bioassay -
Oncogenic retinoic acid receptor ? promotes human colorectal cancer growth through simultaneously regulating p21 transcription and GSK3?/?-catenin signaling
Authors: Gui-Li Huang
Cancer Lett, 2016-12-05;388(0):118-129.
Species: Human
Sample Types: Whole Cells
Applications: Bioassay -
Quantifying ?-catenin subcellular dynamics and cyclin D1 mRNA transcription during Wnt signaling in single living cells
Elife, 2016-11-23;5(0):.
Species: Mouse
Sample Types: Whole Cells
Applications: Bioassay -
Expression of adipokines in osteoarthritis osteophytes and their effect on osteoblasts
Authors: Elena Neumann
Matrix Biol., 2016-11-22;0(0):.
Species: Human
Sample Types: Whole Cells
Applications: Bioassay -
Epigenetic Activation of WNT5A Drives Glioblastoma Stem Cell Differentiation and Invasive Growth
Authors: Ronald A DePinho
Cell, 2016-11-17;167(5):1281-1295.e18.
Species: Human
Sample Types: Whole Cells
Applications: Bioassay -
The Aryl Hydrocarbon Receptor and Its Ligands Inhibit Myofibroblast Formation and Activation: Implications for Thyroid Eye Disease
Authors: Richard P Phipps
Am. J. Pathol., 2016-11-11;0(0):.
Species: Human
Sample Types: Whole Cells
Applications: Bioassay -
PGE2 is a direct and robust mediator of anion/fluid secretion by human intestinal epithelial cells
Sci Rep, 2016-11-09;6(0):36795.
Species: Human
Sample Types: Whole Cells
Applications: Bioassay -
Active ?-catenin is regulated by the PTEN/PI3 kinase pathway: a role for protein phosphatase PP2A
Authors: A Persad, G Venkateswa, L Hao, ME Garcia, J Yoon, J Sidhu, S Persad
Genes Cancer, 2016-11-01;7(12):368-382.
Species: Human
Sample Types: Whole Cells
Applications: Bioassay -
Altering the Proteoglycan State of Transforming Growth Factor ? Type III Receptor (T?RIII)/Betaglycan Modulates Canonical Wnt/?-Catenin Signaling
Authors: Karthikeyan Mythreye
J. Biol. Chem., 2016-10-26;291(49):25716-25728.
Species: Human
Sample Types: Whole Cells
Applications: Bioassay -
Wnt signaling promotes breast cancer by blocking ITCH-mediated degradation of the YAP/TAZ transcriptional coactivator WBP2
Cancer Res, 2016-08-30;0(0):.
Species: Human
Sample Types: Whole Cells
Applications: Bioassay -
TNIK inhibition abrogates colorectal cancer stemness
Nat Commun, 2016-08-26;7(0):12586.
Species: Human
Sample Types: Whole Cells
Applications: Bioassay -
Anthelmintic niclosamide disrupts the interplay of p65 and FOXM1/?-catenin and eradicates leukemia stem cells in chronic myelogenous leukemia
Clin Cancer Res, 2016-08-04;0(0):.
Species: Human
Sample Types: Whole Cells
Applications: Bioassay -
ROCK inhibitor primes human induced pluripotent stem cells to selectively differentiate towards mesendodermal lineage via epithelial-mesenchymal transition-like modulation
Stem Cell Res, 2016-08-04;17(2):222-227.
Species: Human
Sample Types: Whole Cells
Applications: Bioassay -
The AKAP GSKIP regulates beta-catenin through both its interactions with PKA and GSK3beta
J Biol Chem, 2016-08-02;0(0):.
Species: Human
Sample Types: Whole Cells
Applications: Bioassay -
Growth hormone is permissive for neoplastic colon growth
Proc Natl Acad Sci USA, 2016-05-25;0(0):.
Species: Human
Sample Types: Whole Cells
Applications: Bioassay -
Activation of endothelial ?-catenin signaling induces heart failure
Sci Rep, 2016-05-05;6(0):25009.
Species: Human
Sample Types: Whole Cells
Applications: Bioassay -
Icariin attenuates titanium-particle inhibition of bone formation by activating the Wnt/?-catenin signaling pathway in vivo and in vitro.
Authors: Junhua Wang, Yunxia Tao, Zichuan Ping, Wen Zhang, Xuanyang Hu, Yijun Wang, Liangliang Wang, Jiawei Shi, Xiexing Wu, Huilin Yang, Yaozeng Xu, Dechun Geng
Scientific Reports, 2016-03-31;0(0):2045-2322.
Species: Mouse
Sample Types: Whole Cells
Applications: Bioassay -
Modeling Smith-Lemli-Opitz syndrome with induced pluripotent stem cells reveals a causal role for Wnt/?-catenin defects in neuronal cholesterol synthesis phenotypes
Nat. Med., 2016-03-21;22(4):388-96.
Species: Human
Sample Types: Whole Cells
Applications: Bioassay -
Tumor-Free Transplantation of Patient-Derived Induced Pluripotent Stem Cell Progeny for Customized Islet Regeneration
Authors: Yasuhiro Ikeda
Stem Cells Transl Med, 2016-03-17;5(5):694-702.
Species: Human
Sample Types: Whole Cells
Applications: Bioassay -
Targeting the ROR1 and ROR2 receptors in epithelial ovarian cancer inhibits cell migration and invasion.
Authors: Henry C, Llamosas E, Knipprath-Meszaros A, Schoetzau A, Obermann E, Fuenfschilling M, Caduff R, Fink D, Hacker N, Ward R, Heinzelmann-Schwarz V, Ford C
Oncotarget, 2015-11-24;6(37):40310-26.
Species: Human
Sample Types: Whole Cells
Applications: Bioassay -
Intestinal Commitment and Maturation of Human Pluripotent Stem Cells Is Independent of Exogenous FGF4 and R-spondin1.
Authors: Tamminen K, Balboa D, Toivonen S, Pakarinen M, Wiener Z, Alitalo K, Otonkoski T
PLoS ONE, 2015-07-31;10(7):e0134551.
Species: Human
Sample Types: Whole Cells
Applications: Bioassay -
DNA methylation directs functional maturation of pancreatic beta cells.
Authors: Dhawan S, Tschen S, Zeng C, Guo T, Hebrok M, Matveyenko A, Bhushan A
J Clin Invest, 2015-06-22;125(7):2851-60.
Species: Human
Sample Types: Whole Cells
Applications: Bioassay -
microRNA-103/107 Family Regulates Multiple Epithelial Stem Cell Characteristics.
Authors: Peng H, Park J, Katsnelson J, Kaplan N, Yang W, Getsios S, Lavker R
Stem Cells, 2015-05-01;33(5):1642-56.
Species: Human
Sample Types: Whole Cells
Applications: Bioassay -
A Regulatory Network Involving beta-Catenin, e-Cadherin, PI3k/Akt, and Slug Balances Self-Renewal and Differentiation of Human Pluripotent Stem Cells In Response to Wnt Signaling.
Authors: Huang T, Li L, Moalim-Nour L, Jia D, Bai J, Yao Z, Bennett S, Figeys D, Wang L
Stem Cells, 2015-05-01;33(5):1419-33.
Species: Human
Sample Types: Whole Cells
Applications: Bioassay -
Novel cancer chemotherapy hits by molecular topology: dual Akt and Beta-catenin inhibitors.
Authors: Zanni R, Galvez-Llompart M, Morell C, Rodriguez-Henche N, Diaz-Laviada I, Recio-Iglesias M, Garcia-Domenech R, Galvez J
PLoS ONE, 2015-04-24;10(4):e0124244.
Species: Human
Sample Types: Whole Cells
Applications: Bioassay -
Hepcidin regulation in prostate and its disruption in prostate cancer.
Authors: Tesfay L, Clausen K, Kim J, Hegde P, Wang X, Miller L, Deng Z, Blanchette N, Arvedson T, Miranti C, Babitt J, Lin H, Peehl D, Torti F, Torti S
Cancer Res, 2015-04-09;75(11):2254-63.
Species: Human
Sample Types: Whole Cells
Applications: Bioassay -
Transcriptome analysis of wnt3a-treated triple-negative breast cancer cells.
Authors: Maubant S, Tesson B, Maire V, Ye M, Rigaill G, Gentien D, Cruzalegui F, Tucker G, Roman-Roman S, Dubois T
PLoS ONE, 2015-04-07;10(4):e0122333.
Species: Human
Sample Types: Whole Cells
Applications: Bioassay -
Robust derivation of epicardium and its differentiated smooth muscle cell progeny from human pluripotent stem cells.
Authors: Iyer D, Gambardella L, Bernard W, Serrano F, Mascetti V, Pedersen R, Talasila A, Sinha S
Development, 2015-03-26;142(8):1528-41.
Species: Human
Sample Types: Whole Cells
Applications: Bioassay -
Downregulation of the Wnt inhibitor CXXC5 predicts a better prognosis in acute myeloid leukemia.
Authors: Kuhnl A, Valk P, Sanders M, Ivey A, Hills R, Mills K, Gale R, Kaiser M, Dillon R, Joannides M, Gilkes A, Haferlach T, Schnittger S, Duprez E, Linch D, Delwel R, Lowenberg B, Baldus C, Solomon E, Burnett A, Grimwade D
Blood, 2015-03-24;125(19):2985-94.
Species: Human
Sample Types: Whole Cells
Applications: Bioassay -
Epsin is required for Dishevelled stability and Wnt signalling activation in colon cancer development.
Authors: Chang B, Tessneer K, McManus J, Liu X, Hahn S, Pasula S, Wu H, Song H, Chen Y, Cai X, Dong Y, Brophy M, Rahman R, Ma J, Xia L, Chen H
Nat Commun, 2015-03-16;6(0):6380.
Species: Human
Sample Types: Whole Cells
Applications: Bioassay -
Resveratrol ameliorates the maturation process of beta-cell-like cells obtained from an optimized differentiation protocol of human embryonic stem cells.
Authors: Pezzolla D, Lopez-Beas J, Lachaud C, Dominguez-Rodriguez A, Smani T, Hmadcha A, Soria B
PLoS ONE, 2015-03-16;10(3):e0119904.
Species: Human
Sample Types: Whole Cells
Applications: Bioassay -
Activin-A and Bmp4 levels modulate cell type specification during CHIR-induced cardiomyogenesis.
Authors: Kim M, Horst A, Blinka S, Stamm K, Mahnke D, Schuman J, Gundry R, Tomita-Mitchell A, Lough J
PLoS ONE, 2015-02-23;10(2):e0118670.
Species: Human
Sample Types: Whole Cells
Applications: Bioassay -
Transcription factor binding dynamics during human ES cell differentiation.
Authors: Tsankov, Alexande, Gu, Hongcang, Akopian, Veronika, Ziller, Michael, Donaghey, Julie, Amit, Ido, Gnirke, Andreas, Meissner, Alexande
Nature, 2015-02-19;518(7539):344-9.
Species: Human
Sample Types: Whole Cells
Applications: Bioassay -
Characterization and propagation of tumor initiating cells derived from colorectal liver metastases: trials, tribulations and a cautionary note.
Authors: James M, Howells L, Karmokar A, Higgins J, Greaves P, Cai H, Dennison A, Metcalfe M, Garcea G, Lloyd D, Berry D, Steward W, Brown K
PLoS ONE, 2015-02-06;10(2):e0117776.
Species: Human
Sample Types: Whole Cells
Applications: Bioassay -
Efficient generation of functional CFTR-expressing airway epithelial cells from human pluripotent stem cells.
Authors: Wong, Amy P, Chin, Stephani, Xia, Sunny, Garner, Jodi, Bear, Christin, Rossant, Janet
Nat Protoc, 2015-02-05;10(3):363-81.
Species: Human
Sample Types: Whole Cells
Applications: Bioassay -
The in vitro generation of lung and airway progenitor cells from human pluripotent stem cells.
Authors: Huang S, Green M, de Carvalho A, Mumau M, Chen Y, D'Souza S, Snoeck H
Nat Protoc, 2015-02-05;10(3):413-25.
Species: Human
Sample Types: Whole Cells
Applications: Bioassay -
HSP105 recruits protein phosphatase 2A to dephosphorylate beta-catenin.
Authors: Yu N, Kakunda M, Pham V, Lill J, Du P, Wongchenko M, Yan Y, Firestein R, Huang X
Mol Cell Biol, 2015-02-02;35(8):1390-400.
Species: Human
Sample Types: Whole Cells
Applications: Bioassay -
Tumour suppressor TRIM33 targets nuclear beta-catenin degradation.
Authors: Xue J, Chen Y, Wu Y, Wang Z, Zhou A, Zhang S, Lin K, Aldape K, Majumder S, Lu Z, Huang S
Nat Commun, 2015-02-02;6(0):6156.
Species: Human
Sample Types: Whole Cells
Applications: Bioassay -
Focal adhesion kinase and Wnt signaling regulate human ductal carcinoma in situ stem cell activity and response to radiotherapy.
Authors: Williams K, Bundred N, Landberg G, Clarke R, Farnie G
Stem Cells, 2015-02-01;33(2):327-41.
Species: Human
Sample Types: Whole Cells
Applications: Bioassay -
Canonical Wnt pathway inhibitor ICG-001 induces cytotoxicity of multiple myeloma cells in Wnt-independent manner.
Authors: Grigson E, Ozerova M, Pisklakova A, Liu H, Sullivan D, Nefedova Y
PLoS ONE, 2015-01-30;10(1):e0117693.
Species: Human
Sample Types: Whole Cells
Applications: Bioassay -
Endogenously produced Indian Hedgehog regulates TGFbeta-driven chondrogenesis of human bone marrow stromal/stem cells.
Authors: Handorf A, Chamberlain C, Li W
Stem Cells Dev, 2015-01-26;24(8):995-1007.
Species: Human
Sample Types: Whole Cells
Applications: Bioassay -
A protein kinase A (PKA)/beta-catenin pathway sustains the BMP2/DLX3-induced osteogenic differentiation in dental follicle cells (DFCs).
Authors: Viale-Bouroncle S, Klingelhoffer C, Ettl T, Reichert T, Morsczeck C
Cell Signal, 2014-12-19;27(3):598-605.
Species: Human
Sample Types: Whole Cells
Applications: Bioassay -
Combinatorial analysis of developmental cues efficiently converts human pluripotent stem cells into multiple neuronal subtypes.
Authors: Maury Y, Come J, Piskorowski R, Salah-Mohellibi N, Chevaleyre V, Peschanski M, Martinat C, Nedelec S
Nat Biotechnol, 2014-11-10;33(1):89-96.
Species: Human
Sample Types: Whole Cells
Applications: Bioassay -
Tissue-engineered vascular grafts created from human induced pluripotent stem cells.
Authors: Sundaram S, One J, Siewert J, Teodosescu S, Zhao L, Dimitrievska S, Qian H, Huang A, Niklason L
Stem Cells Transl Med, 2014-11-05;3(12):1535-43.
Species: Human
Sample Types: Whole Cells
Applications: Bioassay -
Sphingosine-1-phosphate promotes expansion of cancer stem cells via S1PR3 by a ligand-independent Notch activation.
Authors: Hirata, Naoya, Yamada, Shigeru, Shoda, Takuji, Kurihara, Masaaki, Sekino, Yuko, Kanda, Yasunari
Nat Commun, 2014-09-25;5(0):4806.
Species: Human
Sample Types: Whole Cells
Applications: Bioassay -
Type I collagen as an extracellular matrix for the in vitro growth of human small intestinal epithelium.
Authors: Jabaji Z, Brinkley G, Khalil H, Sears C, Lei N, Lewis M, Stelzner M, Martin M, Dunn J
PLoS ONE, 2014-09-15;9(9):e107814.
Species: Human
Sample Types: Whole Cells
Applications: Bioassay -
sRNA-seq analysis of human embryonic stem cells and definitive endoderm reveals differentially expressed microRNAs and novel IsomiRs with distinct targets.
Authors: Hinton A, Hunter S, Afrikanova I, Jones G, Lopez A, Fogel G, Hayek A, King C
Stem Cells, 2014-09-01;32(9):2360-72.
Species: Human
Sample Types: Whole Cells
Applications: Bioassay -
Wnts enhance neurotrophin-induced neuronal differentiation in adult bone-marrow-derived mesenchymal stem cells via canonical and noncanonical signaling pathways.
Authors: Tsai H, Deng W, Lai W, Chiu W, Yang C, Tsai Y, Hwang S, Renshaw P
PLoS ONE, 2014-08-29;9(8):e104937.
Species: Human
Sample Types: Whole Cells
Applications: Bioassay -
WNT3A promotes myogenesis of human embryonic stem cells and enhances in vivo engraftment.
Authors: Hwang Y, Suk S, Shih Y, Seo T, Du B, Xie Y, Li Z, Varghese S
Sci Rep, 2014-08-01;4(0):5916.
Species: Human
Sample Types: Whole Cells
Applications: Bioassay -
Interleukin-1beta-induced Wnt5a enhances human corneal endothelial cell migration through regulation of Cdc42 and RhoA.
Authors: Lee J, Heur M
Mol Cell Biol, 2014-07-14;34(18):3535-45.
Species: Human
Sample Types: Whole Cells
Applications: Bioassay -
High efficient differentiation of functional hepatocytes from porcine induced pluripotent stem cells.
Authors: Ao, Ying, Mich-Basso, Jocelyn, Lin, Bo, Yang, Lei
PLoS ONE, 2014-06-20;9(6):e100417.
Species: Porcine
Sample Types: Whole Cells
Applications: Bioassay -
A stable and reproducible human blood-brain barrier model derived from hematopoietic stem cells.
Authors: Cecchelli R, Aday S, Sevin E, Almeida C, Culot M, Dehouck L, Coisne C, Engelhardt B, Dehouck M, Ferreira L
PLoS ONE, 2014-06-17;9(6):e99733.
Species: Human
Sample Types: Whole Cells
Applications: Bioassay -
Luminal microbes promote monocyte-stem cell interactions across a healthy colonic epithelium.
Authors: Skoczek D, Walczysko P, Horn N, Parris A, Clare S, Williams M, Sobolewski A
J Immunol, 2014-06-06;193(1):439-51.
Species: Human
Sample Types: Whole Tissue
Applications: Bioassay -
Assessment of Frizzled 6 membrane mobility by FRAP supports G protein coupling and reveals WNT-Frizzled selectivity.
Authors: Kilander M, Dahlstrom J, Schulte G
Cell Signal, 2014-05-27;26(9):1943-9.
Species: Human
Sample Types: Whole Cells
Applications: Bioassay -
Polycomb group protein expression during differentiation of human embryonic stem cells into pancreatic lineage in vitro.
Authors: Pethe, Prasad, Nagvenkar, Punam, Bhartiya, Deepa
BMC Cell Biol, 2014-05-24;15(0):18.
Species: Human
Sample Types: Whole Cells
Applications: Bioassay -
The metastasis suppressor NDRG1 modulates the phosphorylation and nuclear translocation of beta-catenin through mechanisms involving FRAT1 and PAK4.
Authors: Jin R, Liu W, Menezes S, Yue F, Zheng M, Kovacevic Z, Richardson D
J Cell Sci, 2014-05-14;127(0):3116-30.
Species: Human
Sample Types: Whole Cells
Applications: Bioassay -
Wnt/beta-catenin signaling regulates the proliferation and differentiation of mesenchymal progenitor cells through the p53 pathway.
Authors: Peng X, Yang L, Chang H, Dai G, Wang F, Duan X, Guo L, Zhang Y, Chen G
PLoS ONE, 2014-05-12;9(5):e97283.
Species: Human
Sample Types: Whole Cells
Applications: Bioassay -
Nodal.Gdf1 heterodimers with bound prodomains enable serum-independent nodal signaling and endoderm differentiation.
Authors: Fuerer C, Nostro M, Constam D
J Biol Chem, 2014-05-05;289(25):17854-71.
Species: Human
Sample Types: Whole Cells
Applications: Bioassay -
beta-catenin promotes the type I IFN synthesis and the IFN-dependent signaling response but is suppressed by influenza A virus-induced RIG-I/NF-kappaB signaling.
Authors: Hillesheim A, Nordhoff C, Boergeling Y, Ludwig S, Wixler V
Cell Commun Signal, 2014-04-26;12(0):29.
Species: Human
Sample Types: Whole Cells
Applications: Bioassay -
WNT5A induces release of exosomes containing pro-angiogenic and immunosuppressive factors from malignant melanoma cells.
Authors: Ekstrom E, Bergenfelz C, von Bulow V, Serifler F, Carlemalm E, Jonsson G, Andersson T, Leandersson K
Mol Cancer, 2014-04-26;13(0):88.
Species: Human
Sample Types: Whole Cells
Applications: Bioassay -
Generation of bladder urothelium from human pluripotent stem cells under chemically defined serum- and feeder-free system.
Authors: Kang, Minyong, Kim, Hyeon Ho, Han, Yong-Mah
Int J Mol Sci, 2014-04-25;15(5):7139-57.
Species: Human
Sample Types: Whole Cells
Applications: Bioassay -
Pigment epithelium-derived factor 34-mer peptide prevents liver fibrosis and hepatic stellate cell activation through down-regulation of the PDGF receptor.
Authors: Tsai T, Shih S, Ho T, Ma H, Liu M, Chen S, Tsao Y
PLoS ONE, 2014-04-24;9(4):e95443.
Species: Rat
Sample Types: Whole Cells
Applications: Bioassay -
miR-99a/100~125b tricistrons regulate hematopoietic stem and progenitor cell homeostasis by shifting the balance between TGFbeta and Wnt signaling.
Authors: Emmrich S, Rasche M, Schoning J, Reimer C, Keihani S, Maroz A, Xie Y, Li Z, Schambach A, Reinhardt D, Klusmann J
Genes Dev, 2014-04-15;28(8):858-74.
Species: Human
Sample Types: Whole Cells
Applications: Bioassay -
Differentiation of human pluripotent stem cells into nephron progenitor cells in a serum and feeder free system.
Authors: Kang, Minyong, Han, Yong-Mah
PLoS ONE, 2014-04-11;9(4):e94888.
Species: Human
Sample Types: Whole Cells
Applications: Bioassay -
Brivanib attenuates hepatic fibrosis in vivo and stellate cell activation in vitro by inhibition of FGF, VEGF and PDGF signaling.
Authors: Nakamura I, Zakharia K, Banini B, Mikhail D, Kim T, Yang J, Moser C, Shaleh H, Thornburgh S, Walters I, Roberts L
PLoS ONE, 2014-04-07;9(4):e92273.
Species: Human
Sample Types: Whole Cells
Applications: Bioassay -
Glycogen synthase kinase 3 inhibitors induce the canonical WNT/beta-catenin pathway to suppress growth and self-renewal in embryonal rhabdomyosarcoma.
Authors: Chen E, DeRan M, Ignatius M, Grandinetti K, Clagg R, McCarthy K, Lobbardi R, Brockmann J, Keller C, Wu X, Langenau D
Proc Natl Acad Sci U S A, 2014-03-24;111(14):5349-54.
Species: Human
Sample Types: Whole Cells
Applications: Bioassay -
Whole-exome sequencing reveals LRP5 mutations and canonical Wnt signaling associated with hepatic cystogenesis.
Authors: Cnossen W, te Morsche R, Hoischen A, Gilissen C, Chrispijn M, Venselaar H, Mehdi S, Bergmann C, Veltman J, Drenth J
Proc Natl Acad Sci U S A, 2014-03-24;111(14):5343-8.
Species: Human
Sample Types: Whole Cells
Applications: Bioassay -
RSPO-LGR4 functions via IQGAP1 to potentiate Wnt signaling.
Authors: Carmon K, Gong X, Yi J, Thomas A, Liu Q
Proc Natl Acad Sci U S A, 2014-03-17;111(13):E1221-9.
Species: Human
Sample Types: Whole Cells
Applications: Bioassay -
CD44v6 is a marker of constitutive and reprogrammed cancer stem cells driving colon cancer metastasis.
Authors: Todaro M, Gaggianesi M, Catalano V, Benfante A, Iovino F, Biffoni M, Apuzzo T, Sperduti I, Volpe S, Cocorullo G, Gulotta G, Dieli F, De Maria R, Stassi G
Cell Stem Cell, 2014-03-06;14(3):342-56.
Species: Human
Sample Types: Whole Cells
Applications: Bioassay -
Wnt-dependent T-cell factor-4 controls human etravillous trophoblast motility.
Authors: Meinhardt G, Haider S, Haslinger P, Proestling K, Fiala C, Pollheimer J, Knofler M
Endocrinology, 2014-02-26;155(5):1908-20.
Species: Human
Sample Types: Whole Cells
Applications: Bioassay -
Modulation of stemness in a human normal intestinal epithelial crypt cell line by activation of the WNT signaling pathway.
Authors: Guezguez A, Pare F, Benoit Y, Basora N, Beaulieu J
Exp Cell Res, 2014-02-15;322(2):355-64.
Species: Human
Sample Types: Whole Cells
Applications: Bioassay -
Canonical Wnt signaling skews TGF-beta signaling in chondrocytes towards signaling via ALK1 and Smad 1/5/8.
Authors: van den Bosch M, Blom A, van Lent P, van Beuningen H, Blaney Davidson E, van der Kraan P, van den Berg W
Cell Signal, 2014-01-23;26(5):951-8.
Species: Human
Sample Types: Whole Cells
Applications: Bioassay -
Suppression of the SOX2 neural effector gene by PRDM1 promotes human germ cell fate in embryonic stem cells.
Authors: Lin, I-Ying, Chiu, Feng-Lan, Yeang, Chen-Hsi, Chen, Hsin-Fu, Chuang, Ching-Yu, Yang, Shii-Yi, Hou, Pei-Shan, Sintupisut, Nardnisa, Ho, Hong-Ner, Kuo, Hung-Chi, Lin, Kuo-I
Stem Cell Reports, 2014-01-23;2(2):189-204.
Species: Human
Sample Types: Whole Cells
Applications: Bioassay -
Zrf1 is required to establish and maintain neural progenitor identity.
Authors: Aloia L, Di Stefano B, Sessa A, Morey L, Santanach A, Gutierrez A, Cozzuto L, Benitah S, Graf T, Broccoli V, Di Croce L
Genes Dev, 2014-01-15;28(2):182-97.
Species: Human
Sample Types: Whole Cells
Applications: Bioassay -
Efficient programming of human eye conjunctiva-derived induced pluripotent stem (ECiPS) cells into definitive endoderm-like cells.
Authors: Massumi M, Hoveizi E, Baktash P, Hooti A, Ghazizadeh L, Nadri S, Pourasgari F, Hajarizadeh A, Soleimani M, Nabiuni M, Khorramizadeh M
Exp Cell Res, 2014-01-13;322(1):51-61.
Species: Human
Sample Types: Whole Cells
Applications: Bioassay -
Drugging a stem cell compartment using Wnt3a protein as a therapeutic.
Authors: Dhamdhere, Girija R, Fang, Mark Y, Jiang, Jie, Lee, Katherin, Cheng, Du, Olveda, Rebecca, Liu, Bo, Mulligan, Kimberle, Carlson, Jeffery, Ransom, Ryan C, Weis, William, Helms, Jill A
PLoS ONE, 2014-01-06;9(1):e83650.
Species: Human
Sample Types: Whole Cells
Applications: Bioassay -
RSPO2-LGR5 signaling has tumour-suppressive activity in colorectal cancer.
Authors: Wu C, Qiu S, Lu L, Zou J, Li W, Wang O, Zhao H, Wang H, Tang J, Chen L, Xu T, Sun Z, Liao W, Luo G, Lu X
Nat Commun, 2014-01-01;5(0):3149.
Species: Human
Sample Types: Whole Cells
Applications: Bioassay -
Influence of in vitro and in vivo oxygen modulation on beta cell differentiation from human embryonic stem cells.
Authors: Cechin S, Alvarez-Cubela S, Giraldo J, Molano R, Villate S, Ricordi C, Pileggi A, Inverardi L, Fraker C, Dominguez-Bendala J
Stem Cells Transl Med, 2013-12-27;3(3):277-89.
Species: Human
Sample Types: Whole Cells
Applications: Bioassay -
Rapid and efficient differentiation of human pluripotent stem cells into intermediate mesoderm that forms tubules expressing kidney proximal tubular markers.
Authors: Lam A, Freedman B, Morizane R, Lerou P, Valerius M, Bonventre J
J Am Soc Nephrol, 2013-12-19;25(6):1211-25.
Species: Human
Sample Types: Whole Cells
Applications: Bioassay -
A synthetic peptide-acrylate surface for production of insulin-producing cells from human embryonic stem cells.
Authors: Lin P, Hung S, Yang Y, Liao L, Hsieh Y, Yen H, Lu H, Lee M, Chu I, Hwang S
Stem Cells Dev, 2013-11-16;23(4):372-9.
Species: Human
Sample Types: Whole Cells
Applications: Bioassay -
An investigation of the effects of the core protein telomerase reverse transcriptase on Wnt signaling in breast cancer cells.
Authors: Listerman I, Gazzaniga F, Blackburn E
Mol Cell Biol, 2013-11-11;34(2):280-9.
Species: Human
Sample Types: Whole Cells
Applications: Bioassay -
IQGAP1 protein regulates nuclear localization of beta-catenin via importin-beta5 protein in Wnt signaling.
Authors: Goto T, Sato A, Adachi S, Iemura S, Natsume T, Shibuya H
J Biol Chem, 2013-11-06;288(51):36351-60.
Species: Human
Sample Types: Whole Cells
Applications: Cell Culture -
Enrichment of human embryonic stem cell-derived NKX6.1-expressing pancreatic progenitor cells accelerates the maturation of insulin-secreting cells in vivo.
Authors: Rezania A, Bruin J, Xu J, Narayan K, Fox J, O'Neil J, Kieffer T
Stem Cells, 2013-11-01;31(11):2432-42.
Species: Human
Sample Types: Whole Cells
Applications: Bioassay -
Activation of intracellular calcium by multiple Wnt ligands and translocation of beta-catenin into the nucleus: a convergent model of Wnt/Ca2+ and Wnt/beta-catenin pathways.
Authors: Thrasivoulou C, Millar M, Ahmed A
J Biol Chem, 2013-10-24;288(50):35651-9.
Species: Human
Sample Types: Whole Cells
Applications: Bioassay -
Generation of multipotent foregut stem cells from human pluripotent stem cells.
Authors: Hannan, Nicholas, Fordham, Robert P, Syed, Yasir A, Moignard, Victoria, Berry, Andrew, Bautista, Ruben, Hanley, Neil A, Jensen, Kim B, Vallier, Ludovic
Stem Cell Reports, 2013-10-10;1(4):293-306.
Species: Human
Sample Types: Whole Cells
Applications: Bioassay -
Activation of the Wnt pathway through AR79, a GSK3beta inhibitor, promotes prostate cancer growth in soft tissue and bone.
Authors: Jiang Y, Dai J, Zhang H, Sottnik J, Keller J, Escott K, Sanganee H, Yao Z, McCauley L, Keller E
Mol Cancer Res, 2013-10-02;11(12):1597-610.
Species: Human
Sample Types: Whole Cells
Applications: Bioassay -
Receptor tyrosine kinase-like orphan receptor 2 (Ror2) expression creates a poised state of Wnt signaling in renal cancer.
Authors: Rasmussen N, Wright T, Brooks S, Hacker K, Debebe Z, Sendor A, Walker M, Major M, Green J, Wahl G, Rathmell W
J Biol Chem, 2013-07-26;288(36):26301-10.
Species: Human
Sample Types: Whole Cells
Applications: Bioassay -
The Wnt signalling pathway is upregulated in an in vitro model of acquired tamoxifen resistant breast cancer.
Authors: Loh Y, Hedditch E, Baker L, Jary E, Ward R, Ford C
BMC Cancer, 2013-04-02;13(0):174.
Species: Human
Sample Types: Whole Cells
Applications: Bioassay -
Protein kinase C delta negatively modulates canonical Wnt pathway and cell proliferation in colon tumor cell lines.
Authors: Hernandez-Maqueda J, Luna-Ulloa L, Santoyo-Ramos P, Castaneda-Patlan M, Robles-Flores M
PLoS ONE, 2013-03-08;8(3):e58540.
Species: Human
Sample Types: Whole Cells
Applications: Bioassay -
Atypical protein kinase Ciota is required for Wnt3a-dependent neurite outgrowth and binds to phosphorylated dishevelled 2.
Authors: Greer Y, Fields A, Brown A, Rubin J
J Biol Chem, 2013-02-08;288(13):9438-46.
Species: Human
Sample Types: Whole Cells
Applications: Bioassay -
Caveolin-1-LRP6 signaling module stimulates aerobic glycolysis in prostate cancer.
Authors: Tahir S, Yang G, Goltsov A, Song K, Ren C, Wang J, Chang W, Thompson T
Cancer Res, 2013-01-09;73(6):1900-11.
Species: Human
Sample Types: Whole Cells
Applications: Bioassay -
Intrapatient variations in type 1 diabetes-specific iPS cell differentiation into insulin-producing cells.
Authors: Thatava T, Kudva Y, Edukulla R, Squillace K, De Lamo J, Khan Y, Sakuma T, Ohmine S, Terzic A, Ikeda Y
Mol Ther, 2012-11-27;21(1):228-39.
Species: Human
Sample Types: Whole Cells
Applications: Bioassay -
The hedgehog system in ovarian follicles of cattle selected for twin ovulations and births: evidence of a link between the IGF and hedgehog systems.
Authors: Aad, Pauline, Echternkamp, Sherrill, Sypherd, David D, Schreiber, Nicole B, Spicer, Leon J
Biol Reprod, 2012-10-04;87(4):79.
Species: Bovine
Sample Types: Whole Cells
Applications: Bioassay -
Cripto-1 enhances the canonical Wnt/β-catenin signaling pathway by binding to LRP5 and LRP6 co-receptors.
Cell Signal, 2012-09-27;25(1):178-89.
Species: Human, Mouse
Sample Types: Whole Cells
Applications: Bioassay -
FGF signaling via MAPK is required early and improves Activin A-induced definitive endoderm formation from human embryonic stem cells.
Authors: Sui L, Mfopou J, Geens M, Sermon K, Bouwens L
Biochem Biophys Res Commun, 2012-08-29;426(3):380-5.
Species: Human
Sample Types: Whole Cells
Applications: Bioassay -
Widespread potential for growth-factor-driven resistance to anticancer kinase inhibitors.
Authors: Wilson TR, Fridlyand J, Yan Y, Penuel E, Burton L, Chan E, Peng J, Lin E, Wang Y, Sosman J, Ribas A, Li J, Moffat J, Sutherlin DP, Koeppen H, Merchant M, Neve R, Settleman J
Nature, 2012-07-26;487(7408):505-9.
Species: Human
Sample Types: Whole Cells
Applications: Bioassay -
Wnt5a and Wnt11 are essential for second heart field progenitor development.
Authors: Cohen E, Miller M, Wang Z, Moon R, Morrisey E
Development, 2012-06-01;139(11):1931-40.
Species: Mouse
Sample Types: Whole Cells
Applications: Bioassay -
Derivation of cerebellar neurons from human pluripotent stem cells.
Authors: Erceg S, Lukovic D, Moreno-Manzano V, Stojkovic M, Bhattacharya S
Curr Protoc Stem Cell Biol, 2012-03-01;20(0):1H.51.
Species: Human
Sample Types: Whole Cells
Applications: Bioassay -
Generation of glucose-responsive, insulin-producing cells from human umbilical cord blood-derived mesenchymal stem cells.
Authors: Prabakar K, Dominguez-Bendala J, Molano R, Pileggi A, Villate S, Ricordi C, Inverardi L
Cell Transplant, 2011-12-21;21(6):1321-39.
Species: Human
Sample Types: Whole Cells
Applications: Cell Culture -
The canonical Wnt pathway shapes niches supportive of hematopoietic stem/progenitor cells.
Authors: Ichii, Michiko, Frank, Mark Bar, Iozzo, Renato V, Kincade, Paul W
Blood, 2011-11-23;119(7):1683-92.
Species: Human
Sample Types: Whole Cells
Applications: Bioassay -
High levels of beta-catenin signaling reduce osteogenic differentiation of stem cells in inflammatory microenvironments through inhibition of the noncanonical Wnt pathway.
Authors: Liu N, Shi S, Deng M, Tang L, Zhang G, Liu N, Ding B, Liu W, Liu Y, Shi H, Liu L, Jin Y
J. Bone Miner. Res., 2011-09-01;26(9):2082-95.
Species: Human
Sample Types: Whole Cells
Applications: Bioassay -
Directed differentiation of human pluripotent stem cells into intestinal tissue in vitro.
Authors: Spence JR, Mayhew CN, Rankin SA
Nature, 2010-12-12;470(7332):105-9.
Species: Human
Sample Types: Whole Cells
Applications: Bioassay -
NANOG induction of fetal liver kinase-1 (FLK1) transcription regulates endothelial cell proliferation and angiogenesis.
Authors: Kohler EE, Cowan CE, Chatterjee I
Blood, 2010-11-30;117(5):1761-9.
Species: Human
Sample Types: Whole Cells
Applications: Bioassay -
Evidence for altered Wnt signaling in psoriatic skin.
Authors: Gudjonsson JE, Johnston A, Stoll SW
J. Invest. Dermatol., 2010-04-08;130(7):1849-59.
Species: Human
Sample Types: Whole Cells
Applications: Bioassay -
Canonical Wnts function as potent regulators of osteogenesis by human mesenchymal stem cells.
Authors: Liu G, Vijayakumar S, Grumolato L, Arroyave R, Qiao H, Akiri G, Aaronson SA
J. Cell Biol., 2009-04-06;185(1):67-75.
Species: Human
Sample Types: Whole Cells
Applications: Bioassay -
A Massively Parallel In Vivo Assay of TdT Mutants Yields Variants with Altered Nucleotide Insertion Biases
Authors: Courtney K Carlson, Theresa B Loveless, Marija Milisavljevic, Patrick I Kelly, Jeremy H Mills, Keith E J Tyo, Chang C Liu
ACS Synth Biol
Species: Human
Sample Types: Whole Cells
Applications: Bioassay
FAQs
-
Can I reconstitute Recombinant Human Wnt-3a Protein (catalog # 5036-WN) at a different concentration than recommended?
We cannot guarantee the performance if the protein is reconstituted at a different concentration than recommended in the product datasheet. Please contact Technical Service if you have any questions or concerns about reconstitution.
-
Can I reconstitute Recombinant Human Wnt-3a Protein (catalog # 5036-WN) in a different buffer than recommended?
For best recovery, stability, and activity, the protein should be reconstituted in the buffer recommended on the product datasheet. Stability testing has been evaluated under these conditions; we can support the performance under these reconstitution conditions.
Reviews for Recombinant Human Wnt-3a Protein
Average Rating: 4.7 (Based on 27 Reviews)
Have you used Recombinant Human Wnt-3a Protein?
Submit a review and receive an Amazon gift card.
$25/€18/£15/$25CAN/¥75 Yuan/¥2500 Yen for a review with an image
$10/€7/£6/$10 CAD/¥70 Yuan/¥1110 Yen for a review without an image
Filter by:
wnt3a promote wound healing.
wnt3a was used for the differentiation of cerebral organoid
avoid freezing and refreezing.
200ng/ml wn3a CF can further promote the colony formation efficiency.
Reason for Rating: excellent product, very repeated product, we bought it many times with different lot numbers
Reason for Rating: This product works good.
Use the final concentration that is recommended, don't make the final concentration very low. Hek293SFT cells were treated with different concentrations of wnt3a, and topflash assay was performed to detect the luciferase activity of wnt3a.
HepG2 cells were treated with 100 ng/ml Wnt3a for 2 days, following which the LDH activity of cell culture medium samples were assayed. The result shows that Wnt3a increased LDH release in HepG2 cells.
Reason for Rating: Recombinant Wnt3a product was added to activate Wnt/ beta -catenin signaling pathway.
Reason for Rating: This protein (200 ng/mL) works well for activating Wnt signaling as shown by Topflash luciferase activity.
Reason for Rating: The product worked to activate Wnt signaling in breast cancer cells with a Wnt reporter, however performed less well than supernatants from L cell Wnt3a lines.
Recombinant Wnt3a product was added at 100 ng/mL for 2 days on 7TGC reporter cell lines. Activation was measured with GFP levels by Flow.
Cell motility assay performed with MA-11 cells untreated (A) and treated (B) for 72 hours with R&D Recombinant Human Wnt-3a (#5036-WN/CF) at 250 ng/mL.
We use for stem cell maintenance and differentiation.
We use this product for our neuron stem cells studies.
Reason for Rating: It works well.
I tested the activity of the recombinant protein in the HEK293 Top Flash Reporter cell lines. LiCl was used as a positive control.
Luciferase reporter activity by TOPFlash/FOPFlash for Wnt/B-catenin activity was performed in cultured cells. Cells were transfected for 48 hours with plasmid and treated with Wnt3a for 24 hours prior to performing Dual-Glo luciferase assay.
Reason for Rating: We attempted to use the product to induce skeletal muscle differentiation in Mus musculus stem cells, but our results suggest differentiation to cardiomyocytes.
Reason for Rating: I have used Wnt3a routinely to stimulate primary cells in culture. I have obtained consistent results with reproducible data.
Reason for Rating: This protein works very well for activating Wnt signaling as shown by B-catenin expression.
