19 results for "Calcium Signaling Agents" in Products

Calcium Signaling Agents

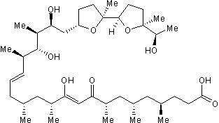
Calcium ionophore

Chemical Name: (4R,6S,8S,10Z,12R,14R,16E,18R,19R,20S,21S)-11,19,21-Trihydroxy-4,6,8,12,14,18,20-heptamethyl-22-[(2S,2'R,5S,5'S)-octahydro-5'-[(1R)-1-hydroxyethyl]-2,5'-dimethyl[2,2'-bifuran]-5-yl]-9-oxo-10,16-docosadienoic acid calcium salt
Purity: ≥97%
Calcium ionophore
Loading...

Cell-permeable Ca2+ chelator

Chemical Name: 1,2-Bis(2-aminophenoxy)ethane-N,N,N',N'-tetraacetic acid tetrakis(acetoxymethyl ester)
Purity: ≥95%
Cell-permeable Ca2+ chelator
Loading...

Reported inhibitor of IP3-dependent Ca2+ release

Alternate Names: XeC
Chemical Name: (1R,4aR,11R,12aS,13S,16aS,23R,24aS)-Eicosahydro-5H,17H-1,23:11,13-diethano-2H,14H-[1,11]dioxacycloeicosino[2,3-b:12,13-b']dipyridine
Reported inhibitor of IP3-dependent Ca2+ release
Loading...

TRPC channel inhibitor; also inhibits store-operated Ca2+ entry

Chemical Name: 1-[2-(4-Methoxyphenyl)-2-[3-(4-methoxyphenyl)propoxy]ethyl-1H-imidazole hydrochloride
Purity: ≥98%
TRPC channel inhibitor; also inhibits store-operated Ca2+ entry
Loading...

Ca2+ release inhibitor

Chemical Name: 1H-Pyrrole-2-carboxylic acid, (3S,4R,4aR,6S,7S,8R,8aS,8bR,9S,9aS)-dodecahydro-4,6,7,8a,8b,9a-hexahydroxy-3,6a,9-trimethyl-7-(1-methylethyl)-6,9-methanobenzo[1,2]pentaleno[1,6-bc]furan-8-yl ester
Purity: ≥98%
Ca2+ release inhibitor
Loading...

Non-selective CaV2.1 and 2.2 blocker; also blocks TRPV channels

Chemical Name: Ammoniated ruthenium oxychloride
Non-selective CaV2.1 and 2.2 blocker; also blocks TRPV channels
Loading...

Calcium ionophore

Chemical Name: (4R,6S,8S,10Z,12R,14R,16E,18R,19R,20S,21S)-11,19,21-Trihydroxy-4,6,8,12,14,18,20-heptamethyl-22-[(2S,2'R,5S,5'S)-octahydro-5'-[(1R)-1-hydroxyethyl]-2,5'-dimethyl[2,2'-bifuran]-5-yl]-9-oxo-10,16-docosadienoic acid
Purity: ≥95%
Calcium ionophore
Loading...

Calcium chelating agent

Chemical Name: Ethylene glycol-bis(2-aminoethylether)-N,N,N',N'-tetraacetic acid
Calcium chelating agent
Loading...

Ca2+ mobilizing agent

Alternate Names: NAADP
Chemical Name: Nicotinic acid adenine dinucleotide phosphate tetrasodium salt
Purity: ≥98%
Ca2+ mobilizing agent
Loading...

Inhibitor of SOCE in non-excitable cells

Alternate Names: Btp2
Chemical Name: N-[4-[3,5-Bis(trifluoromethyl)-1H-pyrazol-1-yl]phenyl]-4-methyl-1,2,3-thiadiazole-5-carboxamide
Purity: ≥99%
Inhibitor of SOCE in non-excitable cells
Loading...

Ca2+ release inhibitor

Chemical Name: 1-[[[5-(4-Nitrophenyl)-2-furanyl]methylene]amino]-2,4-imidazolinedione sodium salt
Purity: ≥98%
Ca2+ release inhibitor
Loading...

Selective calcium chelator

Chemical Name: 1,2-Bis(2-aminophenoxy)ethane-N,N,N',N'-tetraacetic acid
Purity: ≥95%
Selective calcium chelator
Loading...

Calcium ionophore

Alternate Names: Calcimycin
Chemical Name: 5-(Methylamino)-2-[[2R,3R,6S,8S,9R,11R)-3,9,11-trimethyl-8-[(1S)-1-methyl-2-oxo-2-(1H-pyrrol-2-yl)-ethyl]-1,7-dioxaspiro[5.5]undec-2-yl]methyl]-4-benzoxazolecarboxylic acid
Purity: ≥98%
Calcium ionophore
Loading...

Fluorescent Ca2+ indicator

Chemical Name: 2-[6-[bis[2-[(Acetyloxy)methoxy]-2-oxoethyl]amino]-5-[2-[2-[bis[2-[(acetyloxy)methoxy]-2-oxoethyl]amino]-5-methylphenoxy]ethoxy]-2-benzofuranyl]-5-oxazolecarboxylic acid (acetyloxy)methyl ester
Purity: ≥95%
Fluorescent Ca2+ indicator
Loading...

NAADP antagonist; inhibits Ca2+ release

Chemical Name: (1R,3S)-1-[3-[[4-(2-Fluorophenyl)piperazin-1-yl]methyl]-4-methoxyphenyl]-2,3,4,9-tetrahydro-1H-pyrido[3,4-b]indole-3-carboxylic acid
Purity: ≥98%
NAADP antagonist; inhibits Ca2+ release
Loading...

Calcium cage; cell permeable

Chemical Name: Bis(acetoxymethyl) 3,12-bis(2-(acetoxymethoxy)-2-oxoethyl)-5-(4,5-dimethoxy-2-nitrophenyl)-6,9-dioxa-3,12-diazatetradecane-1,14-dioate
Purity: ≥90%
Calcium cage; cell permeable
Loading...

Cell-permeable, fluorescent Ca2+ indicator

Chemical Name: N-[4-[6-[(Acetyloxy)methoxy]-2,7-difluoro-3-oxo-3H-xanthen-9-yl]-2-[2-[2-[bis[2-[(acetyloxy)methoxy]-2-oxoethyl]amino]-5-methylphenoxy]ethoxy]phenyl]-N-[2-[(acetyloxy)methoxy]-2-oxoethyl]glycine (acetyloxy)methyl ester
Purity: ≥95%
Cell-permeable, fluorescent Ca2+ indicator
Loading...

Cell-permeable, fluorescent Ca2+ indicator

Chemical Name: N-[2-[(Acetyloxy)methoxy]-2-oxoethyl]-N-[4-[[[3',6'-bis(acetyloxy)-2',7'-difluoro-3-oxospiro[isobenzofuran-1(3H),9'-[9H]xanthen]-5-yl]carbonyl]amino]-2-[2-[2-[bis[2-[(acetyloxy)methoxy]-2-oxoethyl]amino]phenoxy]ethoxy]phenyl]glycine (acetyloxy)methyl ester
Purity: ≥90%
Cell-permeable, fluorescent Ca2+ indicator
Loading...

Potentiator of the IP3-gated calcium channel ITPR1

Chemical Name: 2-Ethyl-4,5,6,7-tetrahydro-N-[2-[(tetrahydro-2H-pyran-2-yl)methoxy]phenyl]-2H-indazole-3-carboxamide
Purity: ≥98%
Potentiator of the IP3-gated calcium channel ITPR1
Loading...
Results Per Page
5 10 25 50
  • / 1