41 results for "Other Kinase Inhibitors" in Products

Other Kinase Inhibitors

Potent and selective TAK1 MAPKKK inhibitor

Chemical Name: (3S,5Z,8S,9S,11E)-3,4,9,10-tetrahydro-8,9,16-trihydroxy-14-methoxy-3-methyl-1H-2-benzoxacyclotetradecin-1,7(8H)-dione
Purity: ≥98%
Potent and selective TAK1 MAPKKK inhibitor
Loading...

Potent MSK1 inhibitor; also inhibits other AGC group kinases

Chemical Name: 2-(4-Amino-1,2,5-oxadiazol-3-yl)-1-ethyl-N-4-piperidinyl-1H-imidazo[4,5-c]pyridine-7-methanamine dihydrochloride
Purity: ≥98%
Potent MSK1 inhibitor; also inhibits other AGC group kinases
Loading...

Serum- and glucocorticoid-regulated kinase (SGK) inhibitor

Chemical Name: 2-Cyclopentyl-4-(5-phenyl-1H-pyrrolo[2,3-b]pyridin-3-yl-benzoic acid
Purity: ≥97%
Serum- and glucocorticoid-regulated kinase (SGK) inhibitor
Loading...

AAK1 and BMP2K inhibitor; activates Wnt signaling

Chemical Name: N-(6-(3-((N,N-diethylsulfamoyl)amino)phenyl)-1H-indazol-3-yl)cyclopropanecarboxamide
Purity: ≥98%
AAK1 and BMP2K inhibitor; activates Wnt signaling
Loading...

Potent and selective MST3 kinase binding inhibitor

Chemical Name: 8-(4-Aminobutyl)-6-[2-chloro-4-(6-methylpyridin-2-yl)phenyl]-2-(1,3-dihydroxypropan-2-ylamino)pyrido[2,3-d]pyrimidin-7-one trihydrochloride
Purity: ≥98%
Potent and selective MST3 kinase binding inhibitor
Loading...

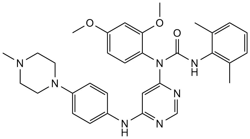
Potent pan-salt inducible kinases (SIK1, SIK2 and SIK3) inhibitor. Also inhibits Lat-B-induced EP differentiation via nuclear YAP1 accumulation.

Alternate Names: SIK inhibitor 1
Chemical Name: 1-(2,4-Dimethoxyphenyl)-3-(2,6-dimethylphenyl)-1-(6-((4-(4-methylpiperazin-1-yl)phenyl)amino)pyrimidin-4-yl)urea
Purity: ≥98%
Potent pan-salt inducible kinases (SIK1, SIK2 and SIK3) inhibitor. Also inhibits Lat-B-induced EP differentiation via nuclear YAP1 accumulation.
Loading...

Potent and selective polynucleotide kinase/phosphatase (PNKP) inhibitor

Chemical Name: 4a,7a-Dihydro-2-(1-hydroxyundecyl)-1-[(4-nitrophenyl)amino]-6-phenyl-1H-pyrrolo[3,4-b]pyridine-5,7(2H,6H)-dione
Purity: ≥98%
Potent and selective polynucleotide kinase/phosphatase (PNKP) inhibitor
Loading...

Salt inducible kinase (SIK) inhibitor; also ULK1 and 2 inhibitor

Chemical Name: N-[3-[[5-Cyclopropyl-2-[[3-(4-morpholinylmethyl)phenyl]amino]-4-pyrimidinyl]amino]propyl]cyclobutanecarboxamide dihydrochloride
Purity: ≥98%
Salt inducible kinase (SIK) inhibitor; also ULK1 and 2 inhibitor
Loading...

Potent and selective doublecortin like kinase 1/2 (DCLK1/2) inhibitor; orally bioavailable

Chemical Name: 5,11-Dihydro-2-[[2-methoxy-4-(4-methyl-1-piperazinyl)phenyl]amino]-11-methyl-5-(2,2,2-trifluoroethyl)-6H-pyrimido[4,5-b][1,4]benzodiazepin-6-one
Purity: ≥98%
Potent and selective doublecortin like kinase 1/2 (DCLK1/2) inhibitor; orally bioavailable
Loading...

Potent and selective Cdc7 inhibitor

Alternate Names: BMS 863233
Chemical Name: 8-Chloro-2-(2S)-2-pyrrolidinylbenzofuro[3,2-d]pyrimidin-4(3H)-one hydrochloride
Purity: ≥98%
Potent and selective Cdc7 inhibitor
Loading...

Mitochondrial pyruvate dehydrogenase kinase (PDK) inhibitor

Chemical Name: Sodium dichloroacetate
Mitochondrial pyruvate dehydrogenase kinase (PDK) inhibitor
Loading...

Negative control for SGC AAK1 1 (Cat.No. 6528)

Chemical Name: N-[6-[3-[(Cyclopropylsulfonyl)amino]phenyl]-1H-indazol-3-yl]-2-methylpropanamide
Purity: ≥97%
Negative control for SGC AAK1 1 (Cat.No. 6528)
Loading...

Potent and selective PI 4-kinase IIIβ inhibitor

Chemical Name: N-[2-[[6-Chloro-3-[3-[(dimethylamino)sulfonyl]phenyl]-2-methylimidazo[1,2-b]pyridazin-8-yl]amino]ethyl]acetamide
Purity: ≥98%
Potent and selective PI 4-kinase IIIβ inhibitor
Loading...

Potent and selective pyruvate dehydrogenase kinase (PDK) 1/2/3/4 inhibitor

Chemical Name: N-[4-(2-Chloro-5-methyl-4-pyrimidinyl)phenyl]-N-[[4-[[(2,2-difluoroacetyl)amino]methyl]phenyl]methyl]-2,4-dihydroxybenzamide
Purity: ≥98%
Potent and selective pyruvate dehydrogenase kinase (PDK) 1/2/3/4 inhibitor
Loading...

Potent and selective TAK1/MAP3K7 kinase inhibitor

Chemical Name: N1-(1-Propyl-1H-benzimidazol-2-yl)-1,3-benzenedicarboxamide
Purity: ≥98%
Potent and selective TAK1/MAP3K7 kinase inhibitor
Loading...

Potent, selective and reversible CerK inhibitor

Chemical Name: N-[2-(Benzoylamino)-6-benzothiazolyl]tricyclo[3.3.1.13,7]decane-1-carboxamide
Purity: ≥98%
Potent, selective and reversible CerK inhibitor
Loading...

TGF-β-activated kinase (TAK1) inhibitor

Chemical Name: N-[4-[(4-Ethyl-1-piperazinyl)methyl]-3-(trifluoromethyl)phenyl]-4-methyl-3-(1H-pyrrolo[2,3-b]pyridin-4-yloxy)benzamide
Purity: ≥98%
TGF-β-activated kinase (TAK1) inhibitor
Loading...

Lysine deficient protein kinase (WNK) signaling inhibitor

Chemical Name: 7-Ethoxy-N3-(2-furanylmethyl)-3,9-acridinediamine
Purity: ≥98%
Lysine deficient protein kinase (WNK) signaling inhibitor
Loading...

Potent TAOK inhibitor

Chemical Name: N-(2-Oxo-2-((1,2,3,4-tetrahydronaphthalen-1-yl)amino)ethyl)-[1,1'-biphenyl]-4-carboxamide
Purity: ≥98%
Potent TAOK inhibitor
Loading...

High affinity cyclin G associated kinase (GAK) inhibitor

Chemical Name: 6-Bromo-N-(3,4,5-trimethoxyphenyl)-4-quinolinamine
Purity: ≥98%
High affinity cyclin G associated kinase (GAK) inhibitor
Loading...

Potent and selective Tpl2 (Cot; MAP3K8) inhibitor

Chemical Name: 4-[(3-Chloro-4-fluorophenyl)amino]-6-[(3-pyridinylmethyl)amino]-1,7-naphthyridine-3-carbonitrile
Purity: ≥98%
Potent and selective Tpl2 (Cot; MAP3K8) inhibitor
Loading...

Potent and selective PIP4K2A inhibitor

Chemical Name: (R)-2-((3-Cyano-2-(2'-fluoro-3'-methyl-[1,1'-biphenyl]-4-yl)-1,7-naphthyridin-4-yl)amino)butanoic acid
Purity: ≥98%
Potent and selective PIP4K2A inhibitor
Loading...

STK33 inhibitor

Chemical Name: N-[2-(3,4-Dihydro-3-oxo-2-quinoxalinyl)-4-(1-methylethyl)phenyl]-2-thiophenecarboxamide
Purity: ≥98%
STK33 inhibitor
Loading...

Potent and selective PIP5K1C inhibitor; antinociceptive

Chemical Name: 5-[(Cyclohexylcarbonyl)amino]-2-(phenylamino)-thiazolecarboxamide
Purity: ≥98%
Potent and selective PIP5K1C inhibitor; antinociceptive
Loading...

PKR inhibitor

Chemical Name: 6,8-Dihydro-8-(1H-imidazol-5-ylmethylene)-7H-pyrrolo[2,3-g]benzothiazol-7-one
Purity: ≥98%
PKR inhibitor
Loading...
Results Per Page
5 10 25 50