Proteome Profiler Mouse Cytokine Array Kit, Panel A
Proteome Profiler Mouse Cytokine Array Kit, Panel A Summary
Kit Summary
A membrane-based antibody array for the parallel determination of the relative levels of selected mouse cytokines and chemokines. Validated for analyte detection in cell culture supernates, cell lysates, tissue lysates, serum, and plasma.
Key Benefits
- Detects 40 mouse cytokines, chemokines, and acute phase proteins simultaneously
- Requires no specialized equipment
- Compatible with LI-COR* and chemiluminescence detection
Principle of the Assay
The Proteome Profiler Mouse Cytokine Array Kit, Panel A is a membrane-based sandwich immunoassay. Samples are mixed with a cocktail of biotinylated detection antibodies (Step 1) and then incubated with the array membrane which is spotted in duplicate with capture antibodies to specific target proteins (Step 2). Captured proteins are visualized using chemiluminescent detection reagents (Step 3). The signal produced is proportional to the amount of analyte bound.
Why Use an Antibody Array to Detect Multiple Cytokines?
Determining the expression of multiple cytokines in a single sample can be expensive, time consuming and can require specialized equipment. Performing multiple immunoprecipitations and Western blots requires time, labor, and reagents. The use of a multiplex antibody array to detect multiple cytokines in a single sample can be cost-effective and also save time and sample.
- Rectangular 4-Well Multi-dish
- 4 Mouse Cytokine Array, Panel A nitrocellulose membranes spotted with 40 different antibodies to mouse cytokines, chemokines, and acute phase proteins
- Array Buffer 4
- Array Buffer 6
- Chemi Reagent 1
- Chemi Reagent 2
- Detection Antibody Cocktail, Mouse Cytokine Array, Panel A
- Streptavidin-HRP
- Transparency Overlay Template
- Wash Buffer Concentrate (25X)
For a complete list of the kit contents and necessary materials, please see the Materials Provided/Other Supplies Required sections of the product datasheet.
Stability and Storage
Store the unopened kit at 2 °C to 8 °C. Do not use past kit expiration date.
| Simultaneously detect the levels of these cytokines, chemokines, and acute phase proteins in a single sample. | ||
| CXCL13/BLC/BCA-1 | IL-5 | M-CSF |
| C5a | IL-6 | CCL2/JE/MCP-1 |
| G-CSF | IL-7 | CCL12/MCP-5 |
| GM-CSF | IL-10 | CXCL9/MIG |
| CCL1/I-309 | IL-12 p70 | CCL3/MIP-1 alpha |
| CCL11/Eotaxin | IL-13 | CCL4/MIP-1 beta |
| ICAM-1 | IL-16 | CXCL2/MIP-2 |
| IFN-gamma | IL-17 | CCL5/RANTES |
| IL-1 alpha/IL-1F1 | IL-23 | CXCL12/SDF-1 |
| IL-1 beta/IL-1F2 | IL-27 | CCL17/TARC |
| IL-1ra/IL-1F3 | CXCL10/IP-10 | TIMP-1 |
| IL-2 | CXCL11/I-TAC | TNF-alpha |
| IL-3 | CXCL1/KC | TREM-1 |
| IL-4 | ||
Assays for Analytes represented in the Mouse Cytokine Array Kit, Panel A
| Analyte | Quantikine® ELISA Kits | DuoSet® ELISA Development Systems |
| CXCL13/BLC/BCA-1 | MCX130 | DY470 |
| C5a | DY2150 | |
| G-CSF | MCS00 | DY414 |
| GM-CSF | MGM00 | DY415 |
| CCL1/I-309/TCA-3 | DY845 | |
| CCL11/Eotaxin | MME00 | DY420 |
| ICAM-1 | MIC100 | DY796 |
| IFN-gamma | MIF00 | DY485 |
| IL-1 alpha | MLA00 | DY400 |
| IL-1 beta | MLB00B | DY401 |
| IL-1ra | MRA00 | DY480 |
| IL-2 | M2000 | DY402 |
| IL-3 | M3000 | DY403 |
| IL-4 | M4000B | DY404 |
| IL-5 | M5000 | DY405 |
| IL-6 | M6000B | DY406 |
| IL-7 | M7000 | DY407 |
| IL-10 | M1000b | DY417 |
| IL-12 p70 | M1270 | DY419 |
| IL-13 | M1300CB | DY413 |
| IL-16 | ||
| IL-17 | M1700 | DY421 |
| IL-23 | M2300 | DY1887 |
| IL-27 | M2728 | |
| CXCL10/IP-10/CRG-2 | MCX100 | DY466 |
| CXCL11/I-TAC | DY572 | |
| CXCL1/KC | MKC00B | DY453 |
| M-CSF | MMC00 | DY416 |
| CCL2/MCP-1/JE | MJE00 | DY479 |
| CCL12/MCP-5 | MCC120 | DY428 |
| CXCL9/MIG | MCX900 | DY492 |
| CCL3/MIP-1 alpha | MMA00 | DY450 |
| CCL4/MIP-1 beta | MMB00 | DY451 |
| CXCL2/MIP-2 | MM200 | DY452 |
| CCL5/RANTES | MMR00 | DY478 |
| CXCL12/SDF-1 | MCX120 | DY460 |
| CCL17/TARC | DY529 | |
| TIMP-1 | MTM100 | DY980 |
| TNF-alpha | MTA00 | DY410 |
| TREM-1 | MTRM10 | DY1187 |
Specifications
Product Datasheets
Scientific Data
View Larger
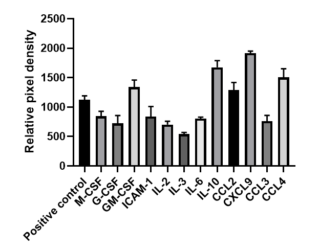
The Mouse Cytokine Array, Panel A utilizes capture antibodies spotted onto a nitrocellulose membrane to allow high-throughput multi-analyte profiling of 40 cytokines, chemokines, and more in a single sample. Mouse splenocytes treated with 100 ng/mL LPS for 20 hours were mixed with a cocktail of biotinylated detection antibodies, and then incubated with the Mouse Cytokine Array. The array was then incubated with streptavidin-horseradish peroxidase followed by chemiluminescent detection. After detection, the array data were quantitated to generate a protein profile (histogram). The table shows the analytes detected and their location on the membrane.
View Larger
The Mouse Cytokine Array detects multiple analytes in cell culture lysates and supernates. (A. and B.) Lysates of RAW264.7 mouse monocyte/macrophage cell line untreated or treated with 100 ng/mL LPS for 24 hours. 100 µg of lysate was used for each array shown. (C. and D.) Supernates of RAW264.7 mouse monocyte/macrophage cell line untreated or treated with 100 ng/mL LPS for 24 hours. 100 µL of supernate was used for each array shown. Array images were collected and analyzed using the LI-COR Odyssey Infrared Imaging System.
View Larger
The Mouse Cytokine Array detects multiple analytes in mouse serum and tissue lysates. (A and B.) Samples of mouse serum from two different vendors. 200 µL of serum was used for each array shown. (C. and D.) Lysates of mouse lung tissue and mouse stomach tissue. 200 µg of lysate was used for each array shown. Array images were collected and analyzed using the LI-COR Odyssey Infrared Imaging System.
Citations for Proteome Profiler Mouse Cytokine Array Kit, Panel A
R&D Systems personnel manually curate a database that contains references using R&D Systems products. The data collected includes not only links to publications in PubMed, but also provides information about sample types, species, and experimental conditions.
439
Citations: Showing 1 - 10
Filter your results:
Filter by:
-
Microplastic exposure aggravates pneumococcus-induced inflammation in macrophages by activating ferroptosis
Authors: Chang, KW;Chen, JT;Chuang, CN;Thi Thanh Thao, D;Huang, YT;Wu, HY;Kuo, ML;Kao, KC;Chiu, CH;Lai, CH;
Journal of hazardous materials 2025-08-29
-
B12 promotes gut dysbiosis and an inflammatory microenvironment that potentiates Tet2-deficient hematopoiesis
Authors: Lyon, PD;Leesang, TE;Brabson, JP;Do, K;Dalzell, M;Nivelo, LA;Lam, MQ;Peci, A;Fang, B;Strippoli, V;Armand, AA;Singh, PK;Roy, S;Beckedorff, F;Villarino, AV;Cimmino, L;
bioRxiv : the preprint server for biology 2025-08-27
-
Engineering kidney developmental trajectory using culture boundary conditions.
Authors: Huang, AZ;Prahl, LS;Xu, K;Mauck, RL;Burdick, JA;Hughes, AJ;
Nature communications 2025-08-22
-
Glial reactivity and cognitive decline follow chronic heterochromatin loss in neurons
Authors: Newman, AG;Sharif, J;Bessa, P;Zaqout, S;Brown, JP;Richter, D;Dannenberg, R;Nakayama, M;Mueller, S;Schaub, T;Manickaraj, S;Boehm-Sturm, P;Ohara, O;Koseki, H;Singh, PB;Tarabykin, V;
Nature communications 2025-08-08
-
Protein kinase CK2?' as a dual modulator of neuroimmune signaling and synaptic dysfunction in Tauopathy
Authors: White, A;Gavrilyuk, P;Moya, RF;Thurston, R;Fickak, A;Rozema, NB;Keshavaram, P;Vermilyea, S;Schlichte, R;Meints, J;Zhang, Y;Araque, A;Lee, M;Gomez-Pastor, R;
Research square 2025-08-07
-
Metastasis-associated wound repair promotes reciprocal activation of the lung epithelium and breast cancer metastases during outgrowth
Authors: Christenson, JL;Spoelstra, NS;Williams, MM;O'Neill, KI;Orlicky, DJ;Wagner, JA;Goodspeed, AE;Kuo, LW;Crump, LS;Richer, JK;
bioRxiv : the preprint server for biology 2025-07-27
-
Early-life exercise extends healthspan but not lifespan in mice
Authors: Feng, M;Li, M;Lou, J;Wu, G;Gao, T;Wu, F;Tan, Y;Zhang, N;Zhao, Y;Zhao, L;Li, J;Shi, C;Zhang, X;Liu, J;Gao, F;
Nature communications 2025-07-09
-
Deciphering cytokine Dynamics: Staged immune responses in acute otitis media
Authors: Chen, Y;Zhang, X;Liu, Y;Wei, Z;Yi, M;Li, B;Wang, Y;Zhao, H;Zheng, T;Zheng, Q;
Microbial pathogenesis 2025-07-07
-
Targeting Intracellular Innate RNA-Sensing Systems Overcomes Resistance to CAR T Cell Therapy in Solid Tumors
Authors: Soliman, N;Nedelko, T;Mandracci, G;Enssle, S;Grass, V;Fischer, JC;Bassermann, F;Poeck, H;Kobold, S;El Khawanky, N;Heidegger, S;
Cancer research 2025-04-30
-
Functional tendon regeneration is driven by regulatory T cells and IL-33 signaling
Authors: Arvind, V;Crosio, G;Howell, K;Zhang, H;Montero, A;Huang, AH;
Science advances 2025-04-25
-
Gold and Silver Nanoparticles Efficiently Modulate the Crosstalk Between Macrophages and Cancer Cells
Authors: Adamecz, DI;Veres, É;Papp, C;Árva, H;Rónavári, A;Marton, A;Vizler, C;Gácser, A;Kónya, Z;Igaz, N;Kiricsi, M;
International journal of nanomedicine 2025-04-15
-
Complement C3 Deficiency Enhances Renal Leptospiral Load and Inflammation While Impairing T Cell Differentiation During Chronic Leptospira interrogans Infection
Authors: Midon, LM;Duarte Neto, AN;Gonçalves da Silva, AM;Heinemann, MB;Kundu, S;Gomes-Solecki, M;Isaac, L;
bioRxiv : the preprint server for biology 2025-04-05
-
An atypical atherogenic chemokine that promotes advanced atherosclerosis and hepatic lipogenesis
Authors: El Bounkari, O;Zan, C;Yang, B;Ebert, S;Wagner, J;Bugar, E;Kramer, N;Bourilhon, P;Kontos, C;Zarwel, M;Sinitski, D;Milic, J;Jansen, Y;Kempf, WE;Sachs, N;Maegdefessel, L;Ji, H;Gokce, O;Riols, F;Haid, M;Gerra, S;Hoffmann, A;Brandhofer, M;Avdic, M;Bucala, R;Megens, RTA;Willemsen, N;Messerer, D;Schulz, C;Bartelt, A;Harm, T;Rath, D;Döring, Y;Gawaz, M;Weber, C;Kapurniotu, A;Bernhagen, J;
Nature communications 2025-03-07
-
Identification of CCL3 as a Schwann cell chemotactic factor essential for nerve regeneration
Authors: Van Emmenis, L;Mòdol-Caballero, G;Harford-Wright, E;Power, A;Cattin, AL;White, IJ;Casal, G;Boal-Carvalho, I;Bennett, CL;Lloyd, AC;
Cell reports 2025-02-16
-
IL-18 Blockage Reduces Neuroinflammation and Promotes Functional Recovery in a Mouse Model of Spinal Cord Injury
Authors: Begum, E;Mahmod, MR;Rahman, MM;Fukuma, F;Urano, T;Fujita, Y;
Biomolecules 2024-12-26
-
Schwann cell C5aR1 co-opts inflammasome NLRP1 to sustain pain in a mouse model of endometriosis
Authors: Titiz, M;Landini, L;Souza Monteiro de Araujo, D;Marini, M;Seravalli, V;Chieca, M;Pensieri, P;Montini, M;De Siena, G;Pasquini, B;Vannuccini, S;Iannone, LF;Cunha, TM;Brancolini, G;Bellantoni, E;Scuffi, I;Mastricci, A;Tesi, M;Di Tommaso, M;Petraglia, F;Geppetti, P;Nassini, R;De Logu, F;
Nature communications 2024-11-25
-
Lipid nanoparticle-mediated mRNA delivery to CD34+ cells in rhesus monkeys
Authors: Kim, H;Zenhausern, R;Gentry, K;Lian, L;Huayamares, SG;Radmand, A;Loughrey, D;Podilapu, AR;Hatit, MZC;Ni, H;Li, A;Shajii, A;Peck, HE;Han, K;Hua, X;Jia, S;Martinez, M;Lee, C;Santangelo, PJ;Tarantal, A;Dahlman, JE;
Nature biotechnology 2024-11-22
-
Deficiency of muscle-generated brain-derived neurotrophic factor causes inflammatory myopathy through reactive oxygen species-mediated necroptosis and pyroptosis
Authors: Pang, BPS;Iu, ECY;Hang, M;Chan, WS;Tse, MCL;Yeung, CTY;Wang, M;Siu, PMF;Lee, CW;Ye, K;So, H;Chan, CB;
Redox biology 2024-11-08
-
Inducible FAK Deletion but not FAK Inhibition in Endothelial Cells Activates p53 to Suppress Tumor Growth in PYK2-null Mice
Authors: Chen, XL;Ojalill, M;Jean, C;Tancioni, I;Jiang, S;Boyer, A;Ozmadenci, D;Uryu, S;Tarin, D;Schlessinger, J;Stupack, DG;Schlaepfer, DD;
bioRxiv : the preprint server for biology 2024-11-06
-
Inhibition of Notch enhances efficacy of immune checkpoint blockade in triple-negative breast cancer
Authors: Shen, Q;Murakami, K;Sotov, V;Butler, M;Ohashi, PS;Reedijk, M;
Science advances 2024-11-01
-
In Vivo Biocompatibility of Synechococcus sp. PCC 7002-Integrated Scaffolds for Skin Regeneration
Authors: Fuchs, B;Mert, S;Kuhlmann, C;Birt, A;Hofmann, D;Wiggenhauser, PS;Giunta, RE;Chavez, MN;Nickelsen, J;Schenck, TL;Moellhoff, N;
Journal of functional biomaterials 2024-10-03
-
Multifunctionally disordered TiO2 nanoneedles prevent periprosthetic infection and enhance osteointegration by killing bacteria and modulating the osteoimmune microenvironment
Authors: Chen, Y;Zhou, L;Guan, M;Jin, S;Tan, P;Fu, X;Zhou, Z;
Theranostics 2024-09-16
-
Immunocompatible elastomer with increased resistance to the foreign body response
Authors: Zhou, X;Lu, Z;Cao, W;Zhu, Z;Chen, Y;Ni, Y;Liu, Z;Jia, F;Ye, Y;Han, H;Yao, K;Liu, W;Wang, Y;Ji, J;Zhang, P;
Nature communications 2024-08-30
-
RNA shielding of P65 is required to potentiate oncogenic inflammation in TET2 mutated clonal hematopoiesis
Authors: Ben-Crentsil, NA;Mohammed Ismail, W;Balasis, ME;Newman, H;Quintana, A;Binder, M;Kruer, T;Neupane, S;Ferrall-Fairbanks, MC;Fernandez, J;Lasho, TL;Finke, CM;Ibrahim, ML;McGraw, KL;Wysota, M;Aldrich, AL;Ryder, CB;Letson, CT;Traina, J;McLemore, AF;Droin, N;Shastri, A;Yun, S;Solary, E;Sallman, DA;Beg, AA;Ma, L;Gaspar-Maia, A;Patnaik, MM;Padron, E;
Cancer discovery 2024-08-27
-
The intersection of endocrine signaling and neuroimmune communication regulates neonatal nociception
Authors: Fadaka, AO;Dourson, AJ;Hofmann, MC;Gupta, P;Raut, NGR;Jankowski, MP;
bioRxiv : the preprint server for biology 2024-08-07
-
Adenosine triggers early astrocyte reactivity that provokes microglial responses and drives the pathogenesis of sepsis-associated encephalopathy in mice
Authors: Guo, Q;Gobbo, D;Zhao, N;Zhang, H;Awuku, NO;Liu, Q;Fang, LP;Gampfer, TM;Meyer, MR;Zhao, R;Bai, X;Bian, S;Scheller, A;Kirchhoff, F;Huang, W;
Nature communications 2024-07-27
-
Targeting conserved TIM3+VISTA+ tumor-associated macrophages overcomes resistance to cancer immunotherapy
Authors: Vanmeerbeek, I;Naulaerts, S;Sprooten, J;Laureano, RS;Govaerts, J;Trotta, R;Pretto, S;Zhao, S;Cafarello, ST;Verelst, J;Jacquemyn, M;Pociupany, M;Boon, L;Schlenner, SM;Tejpar, S;Daelemans, D;Mazzone, M;Garg, AD;
Science advances 2024-07-19
-
Sphinganine recruits TLR4 adaptors in macrophages and promotes inflammation in murine models of sepsis and melanoma
Authors: Hering, M;Madi, A;Sandhoff, R;Ma, S;Wu, J;Mieg, A;Richter, K;Mohr, K;Knabe, N;Stichling, D;Poschet, G;Bestvater, F;Frank, L;Utikal, J;Umansky, V;Cui, G;
Nature communications 2024-07-18
-
Tumor cell-intrinsic MELK enhanced CCL2-dependent immunosuppression to exacerbate hepatocarcinogenesis and confer resistance of HCC to radiotherapy
Authors: Tang, B;Zhu, J;Shi, Y;Wang, Y;Zhang, X;Chen, B;Fang, S;Yang, Y;Zheng, L;Qiu, R;Weng, Q;Xu, M;Zhao, Z;Tu, J;Chen, M;Ji, J;
Molecular cancer 2024-07-05
-
Cardiotrophin-1 therapy reduces disease severity in a murine model of glomerular disease
Authors: Perretta-Tejedor, N;Price, KL;Jafree, DJ;Pomeranz, G;Kolatsi-Joannou, M;Martínez-Salgado, C;Long, DA;Vasilopoulou, E;
Physiological reports 2024-07-01
-
Cell cycle-dependent centrosome clustering precedes proplatelet formation
Authors: Becker, IC;Wilkie, AR;Nikols, E;Carminita, E;Roweth, HG;Tilburg, J;Sciaudone, AR;Noetzli, LJ;Fatima, F;Couldwell, G;Ray, A;Mogilner, A;Machlus, KR;Italiano, JE;
Science advances 2024-06-21
-
Inhibition of EGFR/ErbB does not protect against C. difficile toxin B
Authors: Siddiqi, U;Lunnemann, HM;Childress, KO;Shupe, JA;Rutherford, SA;Farrow, MA;Washington, MK;Coffey, RJ;Lacy, DB;Markham, NO;
bioRxiv : the preprint server for biology 2024-05-14
-
Colon impairments and inflammation driven by an altered gut microbiota leads to social behavior deficits rescued by hyaluronic acid and celecoxib
Authors: Agranyoni, O;Sur, D;Amidror, S;Shidlovsky, N;Bagaev, A;Yissachar, N;Pinhasov, A;Navon-Venezia, S;
BMC medicine 2024-04-29
-
The Effect and Mechanism of Astragalus Polysaccharides on T Cells and Macrophages in Inhibiting Prostate Cancer
Authors: Wu, CY;Yang, YH;Lin, YS;Shu, LH;Liu, HT;Lu, CK;Wu, YH;Wu, YH;
Biomedical journal 2024-04-25
-
The Hippo kinases control inflammatory Hippo signaling and restrict bacterial infection in phagocytes
Authors: St Louis, BM;Quagliato, SM;Su, Y-T;Dyson, G;Lee, P-C;
mBio 2024-04-16
-
Pharmacological expansion of type 2 alveolar epithelial cells promotes regenerative lower airway repair
Authors: Shao, S;Zhang, N;Specht, GP;You, S;Song, L;Fu, Q;Huang, D;You, H;Shu, J;Domissy, A;Li, S;Nguyen-Tran, V;Joseph, SB;Chatterjee, AK;Chen, JJ;Schultz, PG;Bollong, MJ;
Proceedings of the National Academy of Sciences of the United States of America 2024-04-16
-
Early-life exercise induces immunometabolic epigenetic modification enhancing anti-inflammatory immunity in middle-aged male mice
Authors: Zhang, N;Wang, X;Feng, M;Li, M;Wang, J;Yang, H;He, S;Xia, Z;Shang, L;Jiang, X;Sun, M;Wu, Y;Ren, C;Zhang, X;Li, J;Gao, F;
Nature communications 2024-04-10
-
Dietary emulsifier polysorbate 80 exposure accelerates age-related cognitive decline
Authors: Zhang, L;Yin, Z;Liu, X;Jin, G;Wang, Y;He, L;Li, M;Pang, X;Yan, B;Jia, Z;Ma, J;Wei, J;Cheng, F;Li, D;Wang, L;Han, Z;Liu, Q;Chen, F;Cao, H;Lei, P;
Brain, behavior, and immunity 2024-03-31
-
Developing inhibitory peptides against SARS-CoV-2 envelope protein
Authors: Bekdash, R;Yoshida, K;Nair, MS;Qiu, L;Ahdout, J;Tsai, HY;Uryu, K;Soni, RK;Huang, Y;Ho, DD;Yazawa, M;
PLoS biology 2024-03-01
-
Identification of IGF-1 Effects on White Adipose Tissue and Hippocampus in Alzheimer's Disease Mice via Transcriptomic and Cellular Analysis
Authors: Kim, YK;Jo, D;Arjunan, A;Ryu, Y;Lim, YH;Choi, SY;Kim, HK;Song, J;
International journal of molecular sciences 2024-02-22
-
Plasticity-induced repression of Irf6 underlies acquired resistance to cancer immunotherapy in pancreatic ductal adenocarcinoma
Authors: Kim, IK;Diamond, MS;Yuan, S;Kemp, SB;Kahn, BM;Li, Q;Lin, JH;Li, J;Norgard, RJ;Thomas, SK;Merolle, M;Katsuda, T;Tobias, JW;Baslan, T;Politi, K;Vonderheide, RH;Stanger, BZ;
Nature communications 2024-02-20
-
Tumor cell derived osteopontin and prostaglandin E2 synergistically promote the expansion of myeloid derived suppressor cells during the tumor immune escape phase
Authors: Mamand, DR;Bazaz, S;Mohammad, DK;Saher, O;Wiklander, OPB;Sadeghi, B;Hassan, M;El-Andaloussi, S;Abedi-Valugerdi, M;
International immunopharmacology 2024-02-15
-
Neutralizing IL-16 enhances the efficacy of targeting Aurora-A therapy in colorectal cancer with high lymphocyte infiltration through restoring anti-tumor immunity
Authors: Yang, SJ;Chang, ST;Chang, KC;Lin, BW;Chang, KY;Liu, YW;Lai, MD;Hung, LY;
Cell death & disease 2024-01-30
-
CHCHD4-TRIAP1 regulation of innate immune signaling mediates skeletal muscle adaptation to exercise
Authors: Ma, J;Wang, PY;Zhuang, J;Son, AY;Karius, AK;Syed, AM;Nishi, M;Wu, Z;Mori, MP;Kim, YC;Hwang, PM;
Cell reports 2023-12-28
-
Heterogeneous ferroptosis susceptibility of macrophages caused by focal iron overload exacerbates rheumatoid arthritis
Authors: Liu, Y;Luo, X;Chen, Y;Dang, J;Zeng, D;Guo, X;Weng, W;Zhao, J;Shi, X;Chen, J;Dong, B;Zhong, S;Ren, J;Li, Y;Wang, J;Zhang, J;Sun, J;Xu, H;Lu, Y;Brand, D;Zheng, SG;Pan, Y;
Redox biology 2023-12-20
-
Amyloid-? specific regulatory T cells attenuate Alzheimer's disease pathobiology in APP/PS1 mice
Authors: Yeapuri, P;Machhi, J;Lu, Y;Abdelmoaty, MM;Kadry, R;Patel, M;Bhattarai, S;Lu, E;Namminga, KL;Olson, KE;Foster, EG;Mosley, RL;Gendelman, HE;
Molecular neurodegeneration 2023-12-18
-
BH4 supplementation reduces retinal cell death in ischaemic retinopathy
Authors: Edgar, KS;Cunning, C;Gardiner, TA;McDonald, DM;
Scientific reports 2023-12-02
-
Multipotent Mesenchymal Cells Homing and Differentiation on Poly(?-caprolactone) Blended with 20% Tricalcium Phosphate and Polylactic Acid Incorporating 10% Hydroxyapatite 3D-Printed Scaffolds via a Commercial Fused Deposition Modeling 3D Device
Authors: De Angelis, N;Amaroli, A;Lagazzo, A;Barberis, F;Zarro, PR;Cappelli, A;Sabbieti, MG;Agas, D;
Biology 2023-11-28
-
Lymphatic Dysfunction Models an Autoimmune Emphysema Phenotype of Chronic Obstructive Pulmonary Disease
Authors: Summers, B;Kim, K;Lu, TM;Houghton, S;Trivedi, A;Quintero, JR;Cala-Garcia, J;Pannellini, T;Polverino, F;Lis, R;Reed, HO;
bioRxiv : the preprint server for biology 2023-11-02
-
A dual role of lysophosphatidic acid type 2 receptor (LPAR2) in nonsteroidal anti-inflammatory drug-induced mouse enteropathy
Authors: Hutka, B;Várallyay, A;László, SB;Tóth, AS;Scheich, B;Paku, S;Vörös, I;Pós, Z;Varga, ZV;Norman, DD;Balogh, A;Benyó, Z;Tigyi, G;Gyires, K;Zádori, ZS;
Acta pharmacologica Sinica 2023-10-10
-
Role Of The C-C Motif Chemokine Ligand 5 (CCL5) And Its Receptor, C-C Motif Chemokine Receptor 5 (CCR5) In The Genesis Of Aldosterone-induced Hypertension, Vascular Dysfunction, And End-organ Damage
Authors: Costa, RM;Cerqueira, DM;Bruder-Nascimento, A;Alves, JV;Awata, WAC;Singh, S;Kufner, A;Cifuentes-Pagano, E;Pagano, PJ;Ho, J;Bruder-Nascimento, T;
bioRxiv : the preprint server for biology 2023-09-23
-
Epicutaneous Sensitization to the Phytocannabinoid ?-Caryophyllene Induces Pruritic Inflammation
Authors: Inan, S;Ward, SJ;Baltazar, CT;Peruggia, GA;Javed, E;Nayak, AP;
International journal of molecular sciences 2023-09-20
-
Critical requirement of SOS1 for tumor development and microenvironment modulation in KRASG12D-driven lung adenocarcinoma
Authors: Baltanás, FC;García-Navas, R;Rodríguez-Ramos, P;Calzada, N;Cuesta, C;Borrajo, J;Fuentes-Mateos, R;Olarte-San Juan, A;Vidaña, N;Castellano, E;Santos, E;
Nature communications 2023-09-20
-
Contrasting roles of different mismatch repair proteins in basal-like breast cancer
Authors: Mo, J;Borcherding, N;Jo, S;Tithi, TI;Cho, E;Cash, KE;Honda, M;Wang, L;Ahmed, KK;Weigel, R;Spies, M;Kolb, R;Zhang, W;
bioRxiv : the preprint server for biology 2023-09-13
-
The Presence of Pre-Existing Endometriotic Lesions Promotes the Growth of New Lesions in the Peritoneal Cavity
Authors: Mihai, IT;Rudzitis-Auth, J;Menger, MD;Laschke, MW;
International journal of molecular sciences 2023-09-08
-
Heterotypic Cell Culture from Mouse Bone Marrow under Simulated Microgravity: Lessons for Stromal Lineage Functions
Authors: Markina, E;Tyrina, E;Ratushnyy, A;Andreeva, E;Buravkova, L;
International journal of molecular sciences 2023-09-06
-
Fiber deprivation and microbiome-borne curli shift gut bacterial populations and accelerate disease in a mouse model of Parkinson's disease
Authors: Schmit, KJ;Garcia, P;Sciortino, A;Aho, VTE;Pardo Rodriguez, B;Thomas, MH;Gérardy, JJ;Bastero Acha, I;Halder, R;Cialini, C;Heurtaux, T;Ostahi, I;Busi, SB;Grandmougin, L;Lowndes, T;Singh, Y;Martens, EC;Mittelbronn, M;Buttini, M;Wilmes, P;
Cell reports 2023-09-06
-
Naegleria fowleri Extracellular Vesicles Induce Proinflammatory Immune Responses in BV-2 Microglial Cells
Authors: Lê, HG;Kang, JM;Võ, TC;Yoo, WG;Na, BK;
International journal of molecular sciences 2023-09-03
-
CUL4B functions as a tumor suppressor in KRAS-driven lung tumors by inhibiting the recruitment of myeloid-derived suppressor cells
Authors: Liu, X;Tian, F;Cui, J;Gong, L;Xiang, L;Fan, B;Liu, S;Zhan, J;Zhou, Y;Jiang, B;Wang, M;Sun, G;Gong, Y;Zou, Y;
Oncogene 2023-08-31
-
Red cabbage juice-mediated gut microbiota modulation improves intestinal epithelial homeostasis and ameliorates colitis
Authors: Jean Wilson, E;Sirpu Natesh, N;Ghadermazi, P;Pothuraju, R;Shanmugam, M;Prajapati, DR;Pandey, S;Kaifi, JT;Dodam, JR;Bryan, J;Lorson, CL;Watrelot, AA;Foster, JM;Mansel, TJ;Joshua Chan, SH;Batra, SK;Subbiah, J;Rachagani, S;
bioRxiv : the preprint server for biology 2023-08-24
-
Pyruvate dehydrogenase operates as an intramolecular nitroxyl generator during macrophage metabolic reprogramming
Authors: Palmieri, EM;Holewinski, R;McGinity, CL;Pierri, CL;Maio, N;Weiss, JM;Tragni, V;Miranda, KM;Rouault, TA;Andresson, T;Wink, DA;McVicar, DW;
Nature communications 2023-08-22
-
Progranulin Maintains Blood Pressure and Vascular Tone Dependent on EphrinA2 and Sortilin1 Receptors and Endothelial Nitric Oxide Synthase Activation
Authors: Bruder-Nascimento, A;Awata, WMC;Alves, JV;Singh, S;Costa, RM;Bruder-Nascimento, T;
Journal of the American Heart Association 2023-08-15
-
Tumor-derived interleukin-1 receptor antagonist exhibits immunosuppressive functions and promotes pancreatic cancer
Authors: Fan, YC;Fong, YC;Kuo, CT;Li, CW;Chen, WY;Lin, JD;Bürtin, F;Linnebacher, M;Bui, QT;Lee, KD;Tsai, YC;
Cell & bioscience 2023-08-10
-
A novel co-culture model for investigation of the effects of LPS-induced macrophage-derived cytokines on brain endothelial cells
Authors: Yang, J;Li, Y;Bhalla, A;Maienschein-Cline, M;Fukuchi, KI;
PloS one 2023-07-13
-
Adenosine metabolized from extracellular ATP ameliorates organ injury by triggering A2BR signaling
Authors: Kelestemur, T;Németh, ZH;Pacher, P;Beesley, J;Robson, SC;Eltzschig, HK;Haskó, G;
Respiratory research 2023-07-13
-
Anti-inflammatory effects of Allium cepa L. peel extracts via inhibition of JAK-STAT pathway in LPS-stimulated RAW264.7 cells
Authors: Lee, HS;Kwon, YJ;Seo, EB;Kim, SK;Lee, H;Lee, JT;Chang, PS;Choi, YJ;Lee, SH;Ye, SK;
Journal of ethnopharmacology 2023-06-27
-
An LRP1-binding motif in cellular prion protein replicates cell-signaling activities of the full-length protein
Authors: Mantuano, E;Zampieri, C;Azmoon, P;Gunner, CB;Heye, KR;Gonias, SL;
JCI insight 2023-06-27
-
Optineurin deficiency impairs autophagy to cause interferon beta overproduction and increased survival of mice following viral infection
Authors: Fukushi, M;Ohsawa, R;Okinaka, Y;Oikawa, D;Kiyono, T;Moriwaki, M;Irie, T;Oda, K;Kamei, Y;Tokunaga, F;Sotomaru, Y;Maruyama, H;Kawakami, H;Sakaguchi, T;
PloS one 2023-06-23
-
Inflammatory and alternatively activated macrophages independently induce metaplasia but cooperatively drive pancreatic precancerous lesion growth
Authors: Geou-Yarh Liou, Alicia K. Fleming Martinez, Heike R. Döppler, Ligia I. Bastea, Peter Storz
iScience 2023-06-16
-
p53 inhibitor iASPP is an unexpected suppressor of KRAS and inflammation-driven pancreatic cancer
Authors: Miller, P;Akama-Garren, EH;Owen, RP;Demetriou, C;Carroll, TM;Slee, E;Al Moussawi, K;Ellis, M;Goldin, R;O'Neill, E;Lu, X;
Cell death and differentiation 2023-06-03
-
MPC-n (IgG) improves long-term cognitive impairment in the mouse model of repetitive mild traumatic brain injury
Authors: Zhang, C;Wei, C;Huang, X;Hou, C;Liu, C;Zhang, S;Zhao, Z;Liu, Y;Zhang, R;Zhou, L;Li, Y;Yuan, X;Zhang, J;
BMC medicine 2023-05-30
-
Tumour extracellular vesicles and particles induce liver metabolic dysfunction
Authors: Wang, G;Li, J;Bojmar, L;Chen, H;Li, Z;Tobias, GC;Hu, M;Homan, EA;Lucotti, S;Zhao, F;Posada, V;Oxley, PR;Cioffi, M;Kim, HS;Wang, H;Lauritzen, P;Boudreau, N;Shi, Z;Burd, CE;Zippin, JH;Lo, JC;Pitt, GS;Hernandez, J;Zambirinis, CP;Hollingsworth, MA;Grandgenett, PM;Jain, M;Batra, SK;DiMaio, DJ;Grem, JL;Klute, KA;Trippett, TM;Egeblad, M;Paul, D;Bromberg, J;Kelsen, D;Rajasekhar, VK;Healey, JH;Matei, IR;Jarnagin, WR;Schwartz, RE;Zhang, H;Lyden, D;
Nature 2023-05-24
-
Myeloid Cell Derived IL1? Contributes to Pulmonary Vascular Remodeling in Heart Failure with Preserved Ejection Fraction
Authors: Agrawal, V;Kropski, JA;Gokey, JJ;Kobeck, E;Murphy, M;Murray, KT;Fortune, NL;Moore, CS;Meoli, DF;Monahan, K;Su, YR;Blackwell, T;Gupta, DK;Talati, MH;Gladson, S;Carrier, EJ;West, JD;Hemnes, AR;
bioRxiv : the preprint server for biology 2023-05-18
-
Progerinin, an Inhibitor of Progerin, Alleviates Cardiac Abnormalities in a Model Mouse of Hutchinson-Gilford Progeria Syndrome
Authors: Kang, SM;Seo, S;Song, EJ;Kweon, O;Jo, AH;Park, S;Woo, TG;Kim, BH;Oh, GT;Park, BJ;
Cells 2023-04-24
-
Syngeneic mouse model of human HER2+ metastatic breast cancer for the evaluation of trastuzumab emtansine combined with oncolytic rhabdovirus
Authors: Zaid Taha, Mathieu J.F. Crupi, Nouf Alluqmani, Faiha Fareez, Kristy Ng, Judy Sobh et al.
Frontiers in Immunology 2023-04-19
-
Irradiation plus myeloid-derived suppressor cell-targeted therapy for overcoming treatment resistance in immunologically cold urothelial carcinoma
Authors: S Yamamoto, M Kato, Y Takeyama, Y Azuma, N Yukimatsu, Y Hirayama, T Otoshi, T Yamasaki, M Fujioka, M Gi, H Wanibuchi, J Uchida
British Journal of Cancer, 2023-04-17;0(0):. 2023-04-17
-
Spatiotemporal Cofilin Signaling, Microglial Activation, Neuroinflammation, and Cognitive Impairment Following Hemorrhagic Brain Injury
Authors: Almarghalani, DA;Sha, X;Mrak, RE;Shah, ZA;
Cells 2023-04-13
-
Astrocytic Slc4a4 regulates blood-brain barrier integrity in healthy and stroke brains via a NO-CCL2-CCR2 pathway
Authors: Q Ye, J Jo, CY Wang, H Oh, TJ Choy, K Kim, A Dâ Alessan, YK Reshetnyak, SY Jung, Z Chen, SP Marrelli, HK Lee
bioRxiv : the preprint server for biology, 2023-04-03;0(0):. 2023-04-03
-
Ionizing Radiation Selectively Increases CXC Ligand 10 Level via the DNA-Damage-Induced p38 MAPK-STAT1 Pathway in Murine J774A.1 Macrophages
Authors: YN Seo, JS Baik, SM Lee, JE Lee, HR Ahn, MS Lim, MT Park, SD Kim
Cells, 2023-03-25;12(7):. 2023-03-25
-
Correction of haemorrhagic shock-associated coagulopathy and impaired haemostasis by plasma, prothrombin complex concentrates or an activated protein C-targeted DNA aptamer in mice
Authors: LJ Eltringham, SC Meixner, ELG Pryzdial, WP Sheffield
Scientific Reports, 2023-03-07;13(1):3811. 2023-03-07
-
CDK4/6 inhibition triggers ICAM1-driven immune response and sensitizes LKB1 mutant lung cancer to immunotherapy
Authors: X Bai, ZQ Guo, YP Zhang, ZZ Fan, LJ Liu, L Liu, LL Long, SC Ma, J Wang, Y Fang, XR Tang, YJ Zeng, X Pan, DH Wu, ZY Dong
Nature Communications, 2023-03-04;14(1):1247. 2023-03-04
-
Toll-like Receptor Signaling–deficient Cells Enhance Antitumor Activity of Cell-based Immunotherapy by Increasing Tumor Homing
Authors: Alvaro Morales-Molina, Miguel Ángel Rodriguez-Milla, Stefano Gambera, Teresa Cejalvo, Belén de Andrés, María-Luisa Gaspar et al.
Cancer Research Communications 2023-03-01
-
Polarized Anti-Inflammatory Mesenchymal Stem Cells Increase Hippocampal Neurogenesis and Improve Cognitive Function in Aged Mice
Authors: M Tfilin, N Gobshtis, D Fozailoff, VE Fraifeld, G Turgeman
International Journal of Molecular Sciences, 2023-02-24;24(5):. 2023-02-24
-
Hypoxia alters the immune response in mouse peritoneal macrophages infected with influenza a virus with truncated NS1 protein
Authors: M Hancková, L Miháliková, S Pastorekov, T Betáková
Cytokine, 2023-02-14;164(0):156138. 2023-02-14
-
CD26-negative and CD26-positive tissue-resident fibroblasts contribute to functionally distinct CAF subpopulations in breast cancer
Authors: JM Houthuijze, R de Bruijn, E van der Bu, AP Drenth, E Wientjens, T Filipovic, E Bullock, CS Brambillas, EM Pulver, M Nieuwland, I de Rink, F van Diepen, S Klarenbeek, R Kerkhoven, VG Brunton, CLGJ Scheele, MC Boelens, J Jonkers
Nature Communications, 2023-01-12;14(1):183. 2023-01-12
-
TGFbeta1+CCR5+ neutrophil subset increases in bone marrow and causes age-related osteoporosis in male mice
Authors: J Li, Z Yao, X Liu, R Duan, X Yi, A Ayoub, JO Sanders, A Mesfin, L Xing, BF Boyce
Nature Communications, 2023-01-11;14(1):159. 2023-01-11
-
Disruption of CCL2 in Mesenchymal Stem Cells as an Anti-Tumor Approach against Prostate Cancer
Authors: QT Bui, KD Lee, YC Fan, BS Lewis, LW Deng, YC Tsai
Cancers, 2023-01-10;15(2):. 2023-01-10
-
Radiofrequency Ablation Remodels the Tumor Microenvironment and Promotes Neutrophil-Mediated Abscopal Immunomodulation in Pancreatic Cancer
Authors: EY Faraoni, BJ O'Brien, LN Strickland, BK Osborn, V Mota, J Chaney, CL Atkins, P Cen, J Rowe, J Cardenas, KL Poulsen, CJ Wray, NC Thosani, JM Bailey-Lun
Cancer Immunology Research, 2023-01-03;11(1):4-12. 2023-01-03
-
Regeneration of collecting lymphatic vessels following injury
Authors: Razavi, M;Lei, P;Amoozgar, Z;Leartprapun, N;Nadkarni, S;Baish, J;Padera, T;Munn, L;
Research Square 2023-01-01
-
CDK4/6 inhibition triggers ICAM1-driven immune response and sensitizes LKB1 mutant lung cancer to immunotherapy
Authors: X Bai, ZQ Guo, YP Zhang, ZZ Fan, LJ Liu, L Liu, LL Long, SC Ma, J Wang, Y Fang, XR Tang, YJ Zeng, X Pan, DH Wu, ZY Dong
Nature Communications, 2023;14(1):1247. 2023
-
KLK6/PAR1 Axis Promotes Tumor Growth and Metastasis by Regulating Cross-Talk between Tumor Cells and Macrophages
Authors: YS Hwang, HJ Cho, ES Park, J Lim, HR Yoon, JT Kim, SR Yoon, H Jung, YK Choe, YH Kim, CH Lee, YT Kwon, BY Kim, HG Lee
Cells, 2022-12-16;11(24):. 2022-12-16
-
Intermittent scavenging of storage lesion from stored red blood cells by electrospun nanofibrous sheets enhances their quality and shelf-life
Authors: S Pandey, M Mahato, P Srinath, U Bhutani, TJ Goap, P Ravipati, PK Vemula
Nature Communications, 2022-12-01;13(1):7394. 2022-12-01
-
Neuronal deletion of MnSOD in mice leads to demyelination, inflammation and progressive paralysis that mimics phenotypes associated with progressive multiple sclerosis
Authors: S Bhaskaran, G Kumar, N Thadathil, KM Piekarz, S Mohammed, SD Lopez, R Qaisar, D Walton, JL Brown, A Murphy, N Smith, D Saunders, MJ Beckstead, S Plafker, TL Lewis, R Towner, SS Deepa, A Richardson, RC Axtell, H Van Remmen
Redox Biology, 2022-11-26;59(0):102550. 2022-11-26
-
Oleuropein suppresses endometriosis progression and improves the fertility of mice with endometriosis
Authors: Y Park, YJ Cho, N Sung, MJ Park, X Guan, WE Gibbons, BW O'Malley, SJ Han
Journal of Biomedical Science, 2022-11-22;29(1):100. 2022-11-22
-
Involvement of the p38 MAPK-NLRC4-Caspase-1 Pathway in Ionizing Radiation-Enhanced Macrophage IL-1beta Production
Authors: JS Baik, YN Seo, YC Lee, JM Yi, MH Rhee, MT Park, SD Kim
International Journal of Molecular Sciences, 2022-11-09;23(22):. 2022-11-09
-
Systemic checkpoint blockade by PD-L1 single-chain antibody confers potent anti-tumor immunity and long-term survival
Authors: H Wang, V Khattar, JA Hensel, R Ashton, Y Lu, AG Sorace, Y Wang, JS Deshane, JL Mieher, C Deivanayag, S Ponnazhaga
Molecular Cancer Therapeutics, 2022-11-03;0(0):. 2022-11-03
-
Glutamyl-prolyl-tRNA synthetase 1 coordinates early endosomal anti-inflammatory AKT signaling
Authors: EY Lee, SM Kim, JH Hwang, SY Jang, S Park, S Choi, GS Lee, J Hwang, JH Moon, PL Fox, S Kim, CH Lee, MH Kim
Nature Communications, 2022-10-29;13(1):6455. 2022-10-29
-
AhR Mediated Activation of Pro-Inflammatory Response of RAW 264.7 Cells Modulate the Epithelial-Mesenchymal Transition
Authors: P Selvam, CM Cheng, HU Dahms, VK Ponnusamy, YY Sun
Toxics, 2022-10-27;10(11):. 2022-10-27
-
Oral administration of human carbonic anhydrase I suppresses colitis in a murine inflammatory bowel disease model
Authors: K Tange, S Yagi, E Takeshita, M Abe, Y Yamamoto, H Tomida, T Kawamura, M Hanayama, B Matsuura, Y Ikeda, Y Hiasa
Scientific Reports, 2022-10-26;12(1):17983. 2022-10-26
-
Nintedanib Reduces Muscle Fibrosis and Improves Muscle Function of the Alpha-Sarcoglycan-Deficient Mice
Authors: Jorge Alonso-Pérez, Ana Carrasco-Rozas, Maria Borrell-Pages, Esther Fernández-Simón, Patricia Piñol-Jurado, Lina Badimon et al.
Biomedicines 2022-10-19
-
Functional Complementation of Anti-Adipogenic Phytonutrients for Obesity Prevention and Management
Authors: Y Urasaki, TT Le
Nutrients, 2022-10-16;14(20):. 2022-10-16
-
Nanoparticle-based modulation of CD4+ T cell effector and helper functions enhances adoptive immunotherapy
Authors: A Isser, AB Silver, HC Pruitt, M Mass, EH Elias, G Aihara, SS Kang, N Bachmann, YY Chen, EK Leonard, JG Bieler, W Chaisawang, J Choy, SR Shannon, S Gerecht, JS Weber, JB Spangler, JP Schneck
Nature Communications, 2022-10-14;13(1):6086. 2022-10-14
-
OGG1 Inhibition Reduces Acinar Cell Injury in a Mouse Model of Acute Pancreatitis
Authors: Z Hajnády, M Nagy-Pénze, MA Demény, K Kovács, T El-Hamoly, J Maléth, P Hegyi, Z Polgár, C Heged?s, L Virág
Biomedicines, 2022-10-12;10(10):. 2022-10-12
-
Mineralocorticoid receptor antagonists and glucocorticoids differentially affect skeletal muscle inflammation and pathology in muscular dystrophy
Authors: ZM Howard, CK Gomatam, CP Rabolli, J Lowe, AB Piepho, SS Bansal, F Accornero, JA Rafael-For
JCI Insight, 2022-10-10;0(0):. 2022-10-10
-
Inhibition of Schwann cell pannexin 1 attenuates neuropathic pain through the suppression of inflammatory responses
Authors: Q Wang, HY Li, ZM Ling, G Chen, ZY Wei
Journal of Neuroinflammation, 2022-10-04;19(1):244. 2022-10-04
-
Arginine methylation of integrin alpha-4 prevents fibrosis development in alcohol-associated liver disease
Authors: M Schonfeld, MT Villar, A Artigues, SA Weinman, I Tikhanovic
Cellular and Molecular Gastroenterology and Hepatology, 2022-09-30;0(0):. 2022-09-30
-
FOXP3+ macrophage represses acute ischemic stroke-induced neural inflammation
Authors: W Cai, M Hu, C Li, R Wu, D Lu, C Xie, W Zhang, T Li, S Shen, H Huang, W Qiu, Q Liu, Y Lu, Z Lu
Autophagy, 2022-09-28;0(0):1-20. 2022-09-28
-
NIL10: A New IL10-Receptor Binding Nanoparticle That Induces Cardiac Protection in Mice and Pigs Subjected to Acute Myocardial Infarction through STAT3/NF-kappaB Activation
Authors: L Tesoro, I Hernández, R Ramírez-Ca, J Díez-Mata, N Alcharani, B Jiménez-Gu, K Ovejero-Pa, M Filice, JL Zamorano, M Saura, C Zaragoza, L Botana
Pharmaceutics, 2022-09-26;14(10):. 2022-09-26
-
Neutrophil-mediated fibroblast-tumor cell il-6/stat-3 signaling underlies the association between neutrophil-to-lymphocyte ratio dynamics and chemotherapy response in localized pancreatic cancer: A hybrid clinical-preclinical study
Authors: I de Castro, A Bianchi, NU Deshpande, P Sharma, S Mehra, VT Garrido, SJ Saigh, J England, PJ Hosein, D Kwon, NB Merchant, J Datta
Elife, 2022-09-15;11(0):. 2022-09-15
-
SH005S7 Overcomes Primary and Acquired Resistance of Non-Small Cell Lung Cancer by Combined MET/EGFR/HER3 Inhibition
Authors: S Kang, JH Kim, J Hong, JH Moon, YY Kwon, SG Ko
BioMed Research International, 2022-09-15;2022(0):1840541. 2022-09-15
-
CD8+ T-cell responses are boosted by dual PD-1/VEGFR2 blockade after EGFR inhibition in Egfr-mutant lung cancer
Authors: K Nishii, K Ohashi, S Tomida, T Nakasuka, A Hirabae, S Okawa, J Nishimura, H Higo, H Watanabe, H Kano, C Ando, G Makimoto, K Ninomiya, Y Kato, T Kubo, E Ichihara, K Hotta, M Tabata, S Toyooka, H Udono, Y Maeda, K Kiura
Cancer Immunology Research, 2022-09-01;0(0):. 2022-09-01
-
Differential progression of unhealthy diet-induced hepatocellular carcinoma in obese and non-obese mice
Authors: E Hymel, E Vlock, KW Fisher, PA Farazi
PLoS ONE, 2022-08-22;17(8):e0272623. 2022-08-22
-
Macrophage-Specific, Mafb-Deficient Mice Showed Delayed Skin Wound Healing
Authors: Y Inoue, CW Liao, Y Tsunakawa, IL Tsai, S Takahashi, M Hamada
International Journal of Molecular Sciences, 2022-08-19;23(16):. 2022-08-19
-
Maternal soybean diet on prevention of obesity-related breast cancer through early-life gut microbiome and epigenetic regulation: Maternal soybean prevention on obesity-related breast cancer
Authors: M Chen, S Li, I Arora, N Yi, M Sharma, Z Li, TO Tollefsbol, Y Li
The Journal of nutritional biochemistry, 2022-08-03;0(0):109119. 2022-08-03
-
Naegleria fowleri Cathepsin B Induces a Pro-Inflammatory Immune Response in BV-2 Microglial Cells via NF-kappaB and AP-1 Dependent-MAPK Signaling Pathway
Authors: HG Lê, JM Kang, TC Võ, BK Na
International Journal of Molecular Sciences, 2022-07-29;23(15):. 2022-07-29
-
Sulfaphenazole reduces thermal and�pressure injury severity through rapid restoration of tissue perfusion
Authors: CT Turner, M Pawluk, J Bolsoni, MR Zeglinski, Y Shen, H Zhao, T Ponomarev, KC Richardson, CR West, A Papp, DJ Granville
Scientific Reports, 2022-07-23;12(1):12622. 2022-07-23
-
Synthetic Essentiality of Tryptophan 2,3-dioxygenase 2 in APC-Mutated Colorectal Cancer
Authors: R Lee, J Li, J Li, CJ Wu, S Jiang, WH Hsu, D Chakravart, P Chen, KA LaBella, J Li, DJ Spring, D Zhao, YA Wang, RA DePinho
Cancer Discovery, 2022-07-06;0(0):. 2022-07-06
-
Spontaneous Myocarditis in Mice Predisposed to Autoimmune Disease: Including Vaccination-Induced Onset
Authors: T Hayashi, M Ichikawa, I Konishi
Biomedicines, 2022-06-18;10(6):. 2022-06-18
-
Brain motor and fear circuits regulate leukocytes during acute stress
Authors: WC Poller, J Downey, AA Mooslechne, N Khan, L Li, CT Chan, CS McAlpine, C Xu, F Kahles, S He, H Janssen, JE Mindur, S Singh, MG Kiss, L Alonso-Her, Y Iwamoto, RH Kohler, LP Wong, K Chetal, SJ Russo, RI Sadreyev, R Weissleder, M Nahrendorf, PS Frenette, M Divangahi, FK Swirski
Nature, 2022-05-30;0(0):. 2022-05-30
-
Paclitaxel binds and activates C5aR1: A new potential therapeutic target for the prevention of chemotherapy-induced peripheral neuropathy and hypersensitivity reactions
Authors: L Brandolini, M d'Angelo, R Novelli, V Castelli, C Giorgio, A Sirico, P Cocchiaro, F D'Egidio, E Benedetti, C Cristiano, A Bugatti, A Ruocco, PG Amendola, C Talarico, C Manelfi, D Iaconis, A Beccari, AU Quadros, TM Cunha, A Caruso, R Russo, A Cimini, A Aramini, M Allegretti
Cell Death & Disease, 2022-05-25;13(5):500. 2022-05-25
-
Mechanisms Underlying Antipsychotic-Induced NAFLD and Iron Dysregulation: A Multi-Omic Approach
Authors: M May, D Barlow, R Ibrahim, KL Houseknech
Oncogene, 2022-05-24;10(6):. 2022-05-24
-
Loss of the Sympathetic Signal Produces Sterile Inflammation of the Prostate
Authors: Hao Hu, Yiwen Cui, Jing Yang, Ying Cao
Frontiers in Molecular Neuroscience 2022-05-10
-
Inhibiting MNK kinases promotes macrophage immunosuppressive phenotype to limit CD8+ T cell anti-tumor immunity
Authors: TN Pham, C Spaulding, MA Shields, AE Metropulos, DN Shah, MG Khalafalla, DR Principe, DJ Bentrem, HG Munshi
JCI Insight, 2022-05-09;0(0):. 2022-05-09
-
Mesenchymal stem cells empower T cells in the lymph nodes via MCP-1/PD-L1 axis
Authors: Y He, Y Qu, B Meng, W Huang, J Tang, R Wang, Z Chen, X Kou, S Shi
Cell Death & Disease, 2022-04-18;13(4):365. 2022-04-18
-
Recombinant Klotho Protein Ameliorates Myocardial Ischemia/Reperfusion Injury by Attenuating Sterile Inflammation
Authors: J Myung, JH Beom, JH Kim, JS Woo, I Park, SP Chung, YE Chung, JS You
Biomedicines, 2022-04-13;10(4):. 2022-04-13
-
Presenilin 2 N141I mutation induces hyperactive immune response through the epigenetic repression of REV-ERBalpha
Authors: H Nam, Y Lee, B Kim, JW Lee, S Hwang, HK An, KM Chung, Y Park, J Hong, K Kim, EK Kim, HK Choe, SW Yu
Nature Communications, 2022-04-13;13(1):1972. 2022-04-13
-
Survival of stem cells and progenitors in the intestine is regulated by LPA5-dependent signaling
Authors: Z Liang, P He, Y Han, CC Yun
Cellular and Molecular Gastroenterology and Hepatology, 2022-04-04;0(0):. 2022-04-04
-
Modulation of the cell membrane lipid milieu by peroxisomal beta-oxidation induces Rho1 signaling to trigger inflammatory responses
Authors: AS Nath, BD Parsons, S Makdissi, RL Chilvers, Y Mu, CM Weaver, I Euodia, KA Fitze, J Long, M Scur, DP Mackenzie, AP Makrigiann, N Pichaud, LH Boudreau, AJ Simmonds, CA Webber, B Derfalvi, Y Hammon, RA Rachubinsk, F Di Cara
Cell Reports, 2022-03-01;38(9):110433. 2022-03-01
-
P62/SQSTM1 enhances osteogenesis and attenuates inflammatory signals in bone marrow microenvironment
Authors: D Agas, V Gabai, AA Sufianov, A Shneider, M Giovanna S
General and comparative endocrinology, 2022-02-25;320(0):114009. 2022-02-25
-
BEX1 is a critical determinant of viral myocarditis
Authors: CR Martens, LE Dorn, AD Kenney, SS Bansal, JS Yount, F Accornero
PloS Pathogens, 2022-02-22;18(2):e1010342. 2022-02-22
-
PEGylation of Metal Oxide Nanoparticles Modulates Neutrophil Extracellular Trap Formation
Authors: HT Snoderly, KA Freshwater, C Martinez d, DM Panchal, JN Vito, MF Bennewitz
Biosensors, 2022-02-16;12(2):. 2022-02-16
-
Vav3-Deficient Astrocytes Enhance the Dendritic Development of Hippocampal Neurons in an Indirect Co-culture System
Authors: D Wegrzyn, J Zokol, A Faissner
Frontiers in Cellular Neuroscience, 2022-02-14;15(0):817277. 2022-02-14
-
TLR4-Mediated Inflammatory Responses Regulate Exercise-Induced Molecular Adaptations in Mouse Skeletal Muscle
Authors: H Fujiyoshi, T Egawa, E Kurogi, T Yokokawa, K Kido, T Hayashi
International Journal of Molecular Sciences, 2022-02-07;23(3):. 2022-02-07
-
The downregulation of type I IFN signaling in G-MDSCs under tumor conditions promotes their development towards an immunosuppressive phenotype
Authors: Y Sun, X Han, C Shang, Y Wang, B Xu, S Jiang, Y Mo, D Wang, Y Ke, X Zeng
Cell Death & Disease, 2022-01-10;13(1):36. 2022-01-10
-
Apiaceous vegetables protect against acrolein-induced pulmonary injuries through modulating hepatic detoxification and inflammation in C57BL/6 male mice
Authors: MC Redding, JH Pan, YJ Kim, M Batish, J Trabulsi, JH Lee, JK Kim
The Journal of nutritional biochemistry, 2022-01-10;101(0):108939. 2022-01-10
-
Elevated expression of the colony-stimulating factor 1 (CSF1) induces prostatic intraepithelial neoplasia dependent of epithelial-Gp130
Authors: OJ Kwon, B Zhang, D Jia, L Zhang, X Wei, Z Zhou, D Liu, KT Huynh, K Zhang, Y Zhang, P Labhart, A Sboner, C Barbieri, MC Haffner, CJ Creighton, L Xin
Oncogene, 2022-01-08;0(0):. 2022-01-08
-
Social isolation induces neuroinflammation and microglia overactivation, while dihydromyricetin prevents and improves them
Authors: AJ Al Omran, AS Shao, S Watanabe, Z Zhang, J Zhang, C Xue, J Watanabe, DL Davies, XM Shao, J Liang
Journal of Neuroinflammation, 2022-01-04;19(1):2. 2022-01-04
-
Tmem160 contributes to the establishment of discrete nerve injury-induced pain behaviors in male mice
Authors: D Segelcke, HK Fischer, M Hütte, S Dennerlein, F Benseler, N Brose, EM Pogatzki-Z, M Schmidt
Cell Reports, 2021-12-21;37(12):110152. 2021-12-21
-
A new method for obtaining bankable and expandable adult-like microglia in mice
Authors: MJ You, C Rim, YJ Kang, MS Kwon
Journal of Neuroinflammation, 2021-12-17;18(1):294. 2021-12-17
-
The Nutritional Supplement L-Alpha Glycerylphosphorylcholine Promotes Atherosclerosis
Authors: Z Wang, J Hazen, X Jia, E Org, Y Zhao, LJ Osborn, N Nimer, J Buffa, MK Culley, D Krajcik, BH van den Bo, K Zwinderman, BS Levison, M Nieuwdorp, AJ Lusis, JA DiDonato, SL Hazen
International Journal of Molecular Sciences, 2021-12-15;22(24):. 2021-12-15
-
CD4+ effector T cells accelerate Alzheimer's disease in mice
Authors: J Machhi, P Yeapuri, Y Lu, E Foster, R Chikhale, J Herskovitz, KL Namminga, KE Olson, MM Abdelmoaty, J Gao, RM Quadros, T Kiyota, L Jingjing, BD Kevadiya, X Wang, Y Liu, LY Poluektova, CB Gurumurthy, RL Mosley, HE Gendelman
Journal of Neuroinflammation, 2021-11-19;18(1):272. 2021-11-19
-
Knockout of the KH-Type Splicing Regulatory Protein Drives Glomerulonephritis in MRL-Faslpr Mice
Authors: L Schmidtke, M Meineck, S Saurin, S Otten, F Gather, K Schrick, R Käfer, W Roth, H Kleinert, J Weinmann-M, A Pautz
Cells, 2021-11-14;10(11):. 2021-11-14
-
DSS-induced inflammation in the colon drives a proinflammatory signature in the brain that is ameliorated by prophylactic treatment with the S100A9 inhibitor paquinimod
Authors: S Talley, R Valiauga, L Anderson, AR Cannon, MA Choudhry, EM Campbell
Journal of Neuroinflammation, 2021-11-10;18(1):263. 2021-11-10
-
Complement-containing small extracellular vesicles from adventitial fibroblasts induce pro-inflammatory and metabolic reprogramming in macrophages
Authors: S Kumar, MG Frid, H Zhang, M Li, S Riddle, RD Brown, SC Yadav, MK Roy, ME Dzieciatko, A D'Alessand, KC Hansen, KR Stenmark
JCI Insight, 2021-11-08;0(0):. 2021-11-08
-
Macrophage-mediated RON signaling supports breast cancer growth and progression through modulation of IL-35
Authors: SJ Ruiz-Torre, JR Bourn, NM Benight, BG Hunt, C Lester, SE Waltz
Oncogene, 2021-11-06;0(0):. 2021-11-06
-
Reduction of Cell Proliferation by Acute C2H6O Exposure
Authors: S Baldari, I Manni, G Di Rocco, F Paolini, B Palermo, G Piaggio, G Toietta
Cancers, 2021-10-05;13(19):. 2021-10-05
-
Social Isolation Induces Neuroinflammation And Microglia Overactivation, While Dihydromyricetin Prevents And Improves Them
Authors: AJA Omran, AS Shao, S Watanabe, Z Zhang, J Zhang, C Xue, J Watanabe, DL Davies, XM Shao, J Liang
Research square, 2021-10-01;0(0):. 2021-10-01
-
Three-dimensional culture method enhances the therapeutic efficacies of tonsil-derived mesenchymal stem cells in murine chronic colitis model
Authors: EM Song, YH Joo, AR Choe, Y Park, CH Tae, JT Hong, CM Moon, SE Kim, HK Jung, KN Shim, KA Cho, I Jo, SA Jung
Scientific Reports, 2021-10-01;11(1):19589. 2021-10-01
-
Tumor-derived exosomes drive immunosuppressive macrophages in a pre-metastatic niche through glycolytic dominant metabolic reprogramming
Authors: Samantha M. Morrissey, Fan Zhang, Chuanlin Ding, Diego Elias Montoya-Durango, Xiaoling Hu, Chenghui Yang et al.
Cell Metabolism 2021-10-01
-
Proteoglycan-4 is an essential regulator of synovial macrophage polarization and inflammatory macrophage joint infiltration
Authors: M Qadri, GD Jay, LX Zhang, TA Schmidt, J Totonchy, KA Elsaid
Arthritis Research & Therapy, 2021-09-14;23(1):241. 2021-09-14
-
Bio-inspired poly-DL-serine materials resist the foreign-body response
Authors: D Zhang, Q Chen, Y Bi, H Zhang, M Chen, J Wan, C Shi, W Zhang, J Zhang, Z Qiao, J Li, S Chen, R Liu
Nature Communications, 2021-09-07;12(1):5327. 2021-09-07
-
Signaling through Syk or CARD9 Mediates Species-Specific Anti-Candida Protection in Bone Marrow Chimeric Mice
Authors: E Zajta, K Csonka, A Tóth, L Tiszlavicz, T Németh, A Orosz, Á Novák, M Csikós, C Vágvölgyi, A Mócsai, A Gácser
MBio, 2021-08-31;12(4):e0160821. 2021-08-31
-
Sustained oxygenation accelerates diabetic wound healing by promoting epithelialization and angiogenesis and decreasing inflammation
Authors: Y Guan, H Niu, Z Liu, Y Dang, J Shen, M Zayed, L Ma, J Guan
Science Advances, 2021-08-27;7(35):. 2021-08-27
-
Impact of controlled high-sucrose and high-fat diets on eosinophil recruitment and cytokine content in allergen-challenged mice
Authors: CM Percopo, M McCullough, AR Limkar, KM Druey, HF Rosenberg
PLoS ONE, 2021-08-12;16(8):e0255997. 2021-08-12
-
Recombinant annexin A2 inhibits peripheral leukocyte activation and brain infiltration after traumatic brain injury
Authors: N Liu, J Han, Y Li, Y Jiang, SX Shi, J Lok, M Whalen, AS Dumont, X Wang
Journal of Neuroinflammation, 2021-08-09;18(1):173. 2021-08-09
-
Chamaecyparis obtusa (Siebold & Zucc.) Endl. leaf extracts prevent inflammatory responses via inhibition of the JAK/STAT axis in RAW264.7 cells
Authors: YJ Kwon, EB Seo, SK Kim, KH Noh, H Lee, YW Joung, HM Shin, YA Jang, YM Kim, JT Lee, SK Ye
Journal of ethnopharmacology, 2021-08-05;0(0):114493. 2021-08-05
-
Humidifier disinfectant, sodium dichloroisocyanurate (NaDCC): assessment of respiratory effects to protect workers' health
Authors: D Seo, J Jo
Scientific Reports, 2021-08-03;11(1):15681. 2021-08-03
-
Distinct transcription factor networks control neutrophil-driven inflammation
Authors: TE Khoyratty, Z Ai, I Ballestero, HL Eames, S Mathie, S Martín-Sal, L Wang, A Hemmings, N Willemsen, V von Werz, A Zehrer, B Walzog, E van Grinsv, A Hidalgo, IA Udalova
Nature Immunology, 2021-07-19;0(0):. 2021-07-19
-
Pneumococcal Extracellular Vesicles Modulate Host Immunity
Authors: SS Yerneni, S Werner, JH Azambuja, N Ludwig, R Eutsey, SD Aggarwal, PC Lucas, N Bailey, TL Whiteside, PG Campbell, NL Hiller
MBio, 2021-07-13;0(0):e0165721. 2021-07-13
-
Conditioned secretome of adipose-derived stem cells improves dextran sulfate sodium-induced colitis in mice
Authors: S Lee, J Heo, EK Ahn, JH Kim, YH Kim, HK Chang, SJ Lee, J Kim, SJ Park
World Journal of Gastroenterology, 2021-06-21;27(23):3342-3356. 2021-06-21
-
Tumor microenvironmental cytokines bound to cancer exosomes determine uptake by cytokine receptor-expressing cells and biodistribution
Authors: LG Lima, S Ham, H Shin, EPZ Chai, ESH Lek, RJ Lobb, AF Müller, S Mathivanan, B Yeo, Y Choi, BS Parker, A Möller
Nature Communications, 2021-06-10;12(1):3543. 2021-06-10
-
Polymerized albumin restores impaired hemodynamics in endotoxemia and polymicrobial sepsis
Authors: DA Belcher, AT Williams, AF Palmer, P Cabrales
Scientific Reports, 2021-05-25;11(1):10834. 2021-05-25
-
Moderately pathogenic maternal influenza A virus infection disrupts placental integrity but spares the fetal brain
Authors: AM Antonson, AD Kenney, HJ Chen, KN Corps, JS Yount, TL Gur
Brain, Behavior, and Immunity, 2021-05-12;0(0):. 2021-05-12
-
KCNK3 Mutation Causes Altered Immune Function in Pulmonary Arterial Hypertension Patients and Mouse Models
Authors: JD West, ED Austin, EM Rizzi, L Yan, H Tanjore, AL Crabtree, CS Moore, G Muthian, EJ Carrier, DA Jacobson, R Hamid, PL Kendall, S Majka, A Rathinasab
International Journal of Molecular Sciences, 2021-05-09;22(9):. 2021-05-09
-
Pathogenesis Study of Enterovirus 71 Using a Novel Human SCARB2 Knock-In Mouse Model
Authors: Yuefei Jin, Tiantian Sun, Guangyuan Zhou, Dong Li, Shuaiyin Chen, Weiguo Zhang et al.
mSphere 2021-04-28
-
Persistent Airway Hyperresponsiveness Following Recovery from Infection with Pneumonia Virus of Mice
Authors: AR Limkar, CM Percopo, JL Redes, KM Druey, HF Rosenberg
Viruses, 2021-04-22;13(5):. 2021-04-22
-
Vaccine delivery alerts innate immune systems for more immunogenic vaccination
Authors: Z Li, Y Cao, Y Li, Y Zhao, X Chen
JCI Insight, 2021-04-08;0(0):. 2021-04-08
-
JAK/STAT inhibitor therapy partially rescues the lipodystrophic autoimmune phenotype in Clec16a KO mice
Authors: R Pandey, M Bakay, BP Strenkowsk, HS Hain, H Hakonarson
Scientific Reports, 2021-04-01;11(1):7372. 2021-04-01
-
Inhibiting LXR alpha phosphorylation in hematopoietic cells reduces inflammation and attenuates atherosclerosis and obesity in mice
Authors: Maud Voisin, Elina Shrestha, Claire Rollet, Cyrus A. Nikain, Tatjana Josefs, Mélanie Mahé et al.
Communications Biology 2021-03-26
-
Microglia-derived interleukin-10 accelerates post-intracerebral hemorrhage hematoma clearance by regulating CD36
Authors: Q Li, X Lan, X Han, F Durham, J Wan, A Weiland, RC Koehler, J Wang
Brain, Behavior, and Immunity, 2021-02-13;94(0):437-457. 2021-02-13
-
Sulfated polysaccharide directs therapeutic angiogenesis via endogenous VEGF secretion of macrophages
Authors: Y Yu, K Dai, Z Gao, W Tang, T Shen, Y Yuan, J Wang, C Liu
Science Advances, 2021-02-10;7(7):. 2021-02-10
-
The Protective Effect of Anthocyanins Extracted from Aronia Melanocarpa Berry in Renal Ischemia-Reperfusion Injury in Mice
Authors: L Li, J Li, H Xu, F Zhu, Z Li, H Lu, J Zhang, Z Yang, Y Liu
Mediators of Inflammation, 2021-01-22;2021(0):7372893. 2021-01-22
-
Differential expression of Triggering Receptor Expressed on Myeloid cells 2 (Trem2) in tissue eosinophils
Authors: AC Sek, CM Percopo, AK Boddapati, M Ma, WE Geslewitz, JO Krumholz, JB Lack, HF Rosenberg
Journal of leukocyte biology, 2021-01-06;0(0):. 2021-01-06
-
CXCL12-mediated monocyte transmigration into brain perivascular space leads to neuroinflammation and memory deficit in neuropathic pain
Authors: CL Mai, Z Tan, YN Xu, JJ Zhang, ZH Huang, D Wang, H Zhang, WS Gui, J Zhang, ZJ Lin, YT Meng, X Wei, YT Jie, PM Grace, LJ Wu, LJ Zhou, XG Liu
Theranostics, 2021-01-01;11(3):1059-1078. 2021-01-01
-
Respiratory Epithelial Cells Respond to Lactobacillus plantarum but Provide No Cross-Protection against Virus-Induced Inflammation
Authors: E Mai, CM Percopo, AR Limkar, AC Sek, M Ma, HF Rosenberg
Viruses, 2020-12-22;13(1):. 2020-12-22
-
Oxysterols present in Alzheimer's disease brain induce synaptotoxicity by activating astrocytes: A major role for lipocalin-2
Authors: E Staurenghi, V Cerrato, P Gamba, G Testa, S Giannelli, V Leoni, C Caccia, A Buffo, W Noble, BG Perez-Niev, G Leonarduzz
Redox Biology, 2020-12-17;39(0):101837. 2020-12-17
-
Designed CXCR4 mimic acts as a soluble chemokine receptor that blocks atherogenic inflammation by agonist-specific targeting
Authors: C Kontos, O El Bounkar, C Krammer, D Sinitski, K Hille, C Zan, G Yan, S Wang, Y Gao, M Brandhofer, RTA Megens, A Hoffmann, J Pauli, Y Asare, S Gerra, P Bourilhon, L Leng, HH Eckstein, WE Kempf, J Pelisek, O Gokce, L Maegdefess, R Bucala, M Dichgans, C Weber, A Kapurniotu, J Bernhagen
Nat Commun, 2020-11-25;11(1):5981. 2020-11-25
-
Calcitriol in the Presence of Conditioned Media from Metastatic Breast Cancer Cells Enhances Ex Vivo Polarization of M2 Alternative Murine Bone Marrow-Derived Macrophages
Authors: A Anisiewicz, N ?ab?d?, I Krauze, J Wietrzyk
Cancers (Basel), 2020-11-23;12(11):. 2020-11-23
-
The nSMase2/Smpd3 gene modulates the severity of muscular dystrophy and the emotional stress response in mdx mice
Authors: Y Matsuzaka, J Tanihata, Y Ooshima, D Yamada, M Sekiguchi, S Miyatake, Y Aoki, M Terumitsu, R Yashiro, H Komaki, A Ishiyama, Y Oya, YU Inoue, T Inoue, S Takeda, K Hashido
BMC Med, 2020-11-19;18(1):343. 2020-11-19
-
IL-1&beta Induced Cytokine Expression by Spinal Astrocytes Can Play a Role in the Maintenance of Chronic Inflammatory Pain
Authors: A Gajtkó, E Bakk, K Heged?s, L Ducza, K Holló
Frontiers in Physiology, 2020-11-16;11(0):543331. 2020-11-16
-
Loss of hepatocyte cell division leads to liver inflammation and fibrosis
Authors: MR Dewhurst, JR Ow, G Zafer, NKM van Hul, H Wollmann, X Bisteau, D Brough, H Choi, P Kaldis
PLoS Genet, 2020-11-04;16(11):e1009084. 2020-11-04
-
Inhibitory effect of ginsenoside Rg3 on cancer stemness and mesenchymal transition in breast cancer via regulation of myeloid-derived suppressor cells
Authors: JH Song, DY Eum, SY Park, YH Jin, JW Shim, SJ Park, MY Kim, SJ Park, K Heo, YJ Choi
PLoS ONE, 2020-10-22;15(10):e0240533. 2020-10-22
-
The voltage-gated proton channel Hv1 contributes to neuronal injury and motor deficits in a mouse model of spinal cord injury
Authors: M Murugan, J Zheng, G Wu, R Mogilevsky, X Zheng, P Hu, J Wu, LJ Wu
Mol Brain, 2020-10-20;13(1):143. 2020-10-20
-
Onion Bulb Extract Downregulates EGFR/ERK1/2/AKT Signaling Pathway and Synergizes With Steroids to Inhibit Allergic Inflammation
Authors: AZ El-Hashim, MA Khajah, KY Orabi, S Balakrishn, HG Sary, AA Abdelali
Front Pharmacol, 2020-10-02;11(0):551683. 2020-10-02
-
Suppressing neutrophil-dependent angiogenesis abrogates resistance to anti-VEGF antibody in a genetic model of colorectal cancer
Authors: Y Itatani, T Yamamoto, C Zhong, AA Molinolo, J Ruppel, P Hegde, MM Taketo, N Ferrara
Proc. Natl. Acad. Sci. U.S.A., 2020-08-19;0(0):. 2020-08-19
-
Extracellular vesicle-encapsulated IL-10 as novel nanotherapeutics against ischemic AKI
Authors: TT Tang, B Wang, M Wu, ZL Li, Y Feng, JY Cao, D Yin, H Liu, RN Tang, SD Crowley, LL Lv, BC Liu
Sci Adv, 2020-08-12;6(33):eaaz0748. 2020-08-12
-
Antagonists of the serotonin receptor 5A target human breast tumor initiating cells
Authors: WD Gwynne, MS Shakeel, A Girgis-Gab, KH Kim, E Ford, A Dvorkin-Gh, C Aarts, M Isaac, R Al-Awar, JA Hassell
BMC Cancer, 2020-08-05;20(1):724. 2020-08-05
-
Paneth Cell-Derived Lysozyme Defines the Composition of Mucolytic Microbiota and the Inflammatory Tone of the Intestine
Authors: Shiyan Yu, Iyshwarya Balasubramanian, Daniel Laubitz, Kevin Tong, Sheila Bandyopadhyay, Xiang Lin et al.
Immunity 2020-08-01
-
Interleukin 16 contributes to gammaherpesvirus pathogenesis by inhibiting viral reactivation
Authors: S Liu, Z Lei, J Li, L Wang, R Jia, Z Liu, C Jiang, Y Gao, M Liu, L Kuang, Z Qian, D Zhou, SH Speck, X Liang
PLoS Pathog., 2020-07-31;16(7):e1008701. 2020-07-31
-
Cellular Virotherapy Increases Tumor-Infiltrating Lymphocytes (TIL) and Decreases their PD-1+ Subsets in Mouse Immunocompetent Models
Authors: A Morales-Mo, MÁ Rodríguez-, A Gimenez-Sa, AJ Perisé-Bar, J García-Cas
Cancers (Basel), 2020-07-16;12(7):. 2020-07-16
-
TIAM2S Mediates Serotonin Homeostasis and Provokes a Pro-Inflammatory Immune Microenvironment Permissive for Colorectal Tumorigenesis
Authors: YL Chan, WC Lai, JS Chen, JT Tseng, PC Chuang, J Jou, CT Lee, HS Sun
Cancers (Basel), 2020-07-08;12(7):. 2020-07-08
-
GL261 luciferase-expressing cells elicit an anti-tumor immune response: an evaluation of murine glioma models
Authors: VE Sanchez, JP Lynes, S Walbridge, X Wang, NA Edwards, AK Nwankwo, HP Sur, GA Dominah, A Obungu, N Adamstein, PK Dagur, D Maric, J Munasinghe, JD Heiss, EK Nduom
Sci Rep, 2020-07-03;10(1):11003. 2020-07-03
-
Xenogenization of tumor cells by fusogenic exosomes in tumor microenvironment ignites and propagates antitumor immunity
Authors: GB Kim, GH Nam, Y Hong, J Woo, Y Cho, IC Kwon, Y Yang, IS Kim
Science Advances, 2020-07-01;6(27):. 2020-07-01
-
Enhancing the regenerative effectiveness of growth factors by local inhibition of interleukin-1 receptor signaling
Authors: Z Julier, R Karami, B Nayer, YZ Lu, AJ Park, K Maruyama, GA Kuhn, R Müller, S Akira, MM Martino
Sci Adv, 2020-06-12;6(24):eaba7602. 2020-06-12
-
Linking skeletal muscle aging with osteoporosis by lamin A/C deficiency
Authors: L Xiong, K Zhao, Y Cao, HH Guo, JX Pan, X Yang, X Ren, L Mei, WC Xiong
PLoS Biol., 2020-06-01;18(6):e3000731. 2020-06-01
-
Neutrophil extracellular traps exacerbate neurological deficits after traumatic brain injury
Authors: K Vaibhav, M Braun, K Alverson, H Khodadadi, A Kutiyanawa, A Ward, C Banerjee, T Sparks, A Malik, MH Rashid, MB Khan, MF Waters, DC Hess, AS Arbab, JR Vender, N Hoda, B Baban, KM Dhandapani
Sci Adv, 2020-05-29;6(22):eaax8847. 2020-05-29
-
Assessment of the Immunomodulatory Properties of the Probiotic Strain Lactobacillus paracasei K5 in vitro and In Vivo
Authors: P Chondrou, A Karapetsas, DE Kiousi, S Vasileiadi, P Ypsilantis, S Botaitis, A Alexopoulo, S Plessas, E Bezirtzogl, A Galanis
Microorganisms, 2020-05-11;8(5):. 2020-05-11
-
Midkine activation of CD8+ T cells establishes a neuron-immune-cancer axis responsible for low-grade glioma growth
Authors: X Guo, Y Pan, M Xiong, S Sanapala, C Anastasaki, O Cobb, S Dahiya, DH Gutmann
Nat Commun, 2020-05-01;11(1):2177. 2020-05-01
-
Tumor-infiltrating Leukocytes Suppress Local Inflammation Via Interleukin-1 Receptor Antagonist in a Syngeneic Prostate Cancer Model
Authors: YC Fan, WY Chen, KD Lee, YC Tsai
Biology (Basel), 2020-03-31;9(4):. 2020-03-31
-
Induction of IkappaB? Augments Cytokine and Chemokine Production by IL-33 in Mast Cells
Authors: H Ohto-Ozaki, M Hayakawa, N Kamoshita, T Maruyama, SI Tominaga, T Ohmori
J. Immunol., 2020-03-06;204(8):2033-2042. 2020-03-06
-
Heterogeneity of response to immune checkpoint blockade in hypermutated experimental gliomas
Authors: K Aslan, V Turco, J Blobner, JK Sonner, AR Liuzzi, NG Núñez, D De Feo, P Kickingere, M Fischer, E Green, A Sadik, M Friedrich, K Sanghvi, M Kilian, F Cichon, L Wolf, K Jähne, A von Landen, L Bunse, F Sahm, D Schrimpf, J Meyer, A Alexander, G Brugnara, R Röth, K Pfleiderer, B Niesler, A von Deimli, C Opitz, MO Breckwoldt, S Heiland, M Bendszus, W Wick, B Becher, M Platten
Nat Commun, 2020-02-18;11(1):931. 2020-02-18
-
A novel STAT3 inhibitor attenuates angiotensin II-induced abdominal aortic aneurysm progression in mice through modulating vascular inflammation and autophagy
Authors: QY Wu, Z Cheng, YZ Zhou, Y Zhao, JM Li, XM Zhou, HL Peng, GS Zhang, XB Liao, XM Fu
Cell Death Dis, 2020-02-18;11(2):131. 2020-02-18
-
Chronic Oral Palmitoylethanolamide Administration Rescues Cognitive Deficit and Reduces Neuroinflammation, Oxidative Stress, and Glutamate Levels in A Transgenic Murine Model of Alzheimer's Disease
Authors: S Beggiato, MC Tomasini, T Cassano, L Ferraro
J Clin Med, 2020-02-05;9(2):. 2020-02-05
-
LncRNA-AC006129.1 reactivates a SOCS3-mediated anti-inflammatory response through DNA methylation-mediated CIC downregulation in schizophrenia
Authors: C Ni, W Jiang, Z Wang, Z Wang, J Zhang, X Zheng, Z Liu, H Ou, T Jiang, W Liang, F Wu, Q Li, Y Hou, Q Yang, B Guo, S Liu, S Li, S Li, E Yang, XH Zhu, X Huang, Z Wen, C Zhao
Mol. Psychiatry, 2020-02-03;0(0):. 2020-02-03
-
Clonorchis sinensis MF6p/HDM (CsMF6p/HDM) induces pro-inflammatory immune response in RAW 264.7 macrophage cells via NF-&kappaB-dependent MAPK pathways
Authors: JM Kang, WG Yoo, HG Lê, J Lee, WM Sohn, BK Na
Parasit Vectors, 2020-01-13;13(1):20. 2020-01-13
-
Host Wnt5a Potentiates Microenvironmental Regulation of Ovarian Cancer Metastasis
Authors: M Asem, AM Young, C Oyama, AG Claure De, Y Liu, J Yang, TS Hilliard, J Johnson, EI Harper, I Guldner, S Zhang, TM Page-Maybe, WJ Kaliney, MS Stack
Cancer Res., 2020-01-13;0(0):. 2020-01-13
-
Enhancing the regenerative effectiveness of growth factors by local inhibition of interleukin-1 receptor signaling
Authors: Z Julier, R Karami, B Nayer, YZ Lu, AJ Park, K Maruyama, GA Kuhn, R Müller, S Akira, MM Martino
Sci Adv, 2020;6(24):eaba7602. 2020
-
Polarizing receptor activation dissociates fibroblast growth factor 2 mediated inhibition of myelination from its neuroprotective potential
Authors: K Thümmler, E Rom, T Zeis, M Lindner, S Brunner, JJ Cole, D Arseni, S Mücklisch, JM Edgar, N Schaeren-W, A Yayon, C Linington
Acta Neuropathol Commun, 2019-12-19;7(1):212. 2019-12-19
-
Mesothelial Cell HIF1alpha Expression Is Metabolically Downregulated by Metformin to Prevent Oncogenic Tumor-Stromal Crosstalk
Authors: PC Hart, HA Kenny, N Grassl, KM Watters, LM Litchfield, F Coscia, I Blaženovi?, L Ploetzky, O Fiehn, M Mann, E Lengyel, IL Romero
Cell Rep, 2019-12-17;29(12):4086-4098.e6. 2019-12-17
-
A dual inhibitor of the proteasome catalytic subunits LMP2 and Y attenuates disease progression in mouse models of Alzheimer's disease
Authors: IJ Yeo, MJ Lee, A Baek, Z Miller, D Bhattarai, YM Baek, HJ Jeong, YK Kim, DE Kim, JT Hong, KB Kim
Sci Rep, 2019-12-05;9(1):18393. 2019-12-05
-
Deletion of the Mir-106b~?25 MicroRNA cluster attenuates atherosclerosis in Apolipoprotein E knockout mice
Authors: J Semo, G Chernin, M Jonas, S Shimoni, J George
Lipids Health Dis, 2019-12-03;18(1):208. 2019-12-03
-
Zwitterionically modified alginates mitigate cellular overgrowth for cell encapsulation
Authors: Q Liu, A Chiu, LH Wang, D An, M Zhong, AM Smink, BJ de Haan, P de Vos, K Keane, A Vegge, EY Chen, W Song, WF Liu, J Flanders, C Rescan, LG Grunnet, X Wang, M Ma
Nat Commun, 2019-11-20;10(1):5262. 2019-11-20
-
Serum CXCL13 reflects local B-cell mediated inflammatory demyelinating peripheral neuropathy
Authors: YH Kim, SY Jang, YK Shin, YR Jo, BA Yoon, SH Nam, BO Choi, HY Shin, SW Kim, SH Kim, JK Kim, HT Park
Sci Rep, 2019-11-11;9(1):16535. 2019-11-11
-
Paclitaxel-activated astrocytes produce mechanical allodynia in mice by releasing tumor necrosis factor-alpha and stromal-derived cell factor 1
Authors: X Liu, R Tonello, Y Ling, YJ Gao, T Berta
J Neuroinflammation, 2019-11-10;16(1):209. 2019-11-10
-
Short-term inhibition of fibrinolytic system restores locomotor function after spinal cord injury in mice
Authors: Y Shiraishi, A Kimura, O Matsuo, Y Sakata, K Takeshita, T Ohmori
Sci Rep, 2019-11-05;9(1):16024. 2019-11-05
-
Hearing impairment and associated morphological changes in pituitary adenylate cyclase activating polypeptide (PACAP)-deficient mice
Authors: DB Fulop, V Humli, J Szepesy, V Ott, D Reglodi, B Gaszner, A Nemeth, A Szirmai, L Tamas, H Hashimoto, T Zelles, A Tamas
Sci Rep, 2019-10-10;9(1):14598. 2019-10-10
-
Mesenchymal stem cell-derived conditioned medium attenuate angiotensin II-induced aortic aneurysm growth by modulating macrophage polarization
Authors: YZ Zhou, Z Cheng, Y Wu, QY Wu, XB Liao, Y Zhao, JM Li, XM Zhou, XM Fu
J. Cell. Mol. Med., 2019-10-04;0(0):. 2019-10-04
-
Targeting tumor-resident mast cells for effective anti-melanoma immune responses
Authors: S Kaesler, F Wölbing, WE Kempf, Y Skabytska, M Köberle, T Volz, T Sinnberg, T Amaral, S Möckel, A Yazdi, G Metzler, M Schaller, K Hartmann, B Weide, C Garbe, HG Rammensee, M Röcken, T Biedermann
JCI Insight, 2019-10-03;4(19):. 2019-10-03
-
Acute Kahweol Treatment Attenuates Traumatic Brain Injury Neuroinflammation and Functional Deficits
Authors: HF Lee, JS Lin, CF Chang
Nutrients, 2019-09-27;11(10):. 2019-09-27
-
Targeting myeloid-derived suppressor cells in combination with primary mammary tumor resection reduces metastatic growth in the lungs
Authors: M Bosiljcic, RA Cederberg, MJ Hamilton, NE LePard, BT Harbourne, JL Collier, EC Halvorsen, R Shi, SE Franks, AY Kim, JP Banáth, M Hamer, FM Rossi, KL Bennewith
Breast Cancer Res., 2019-09-05;21(1):103. 2019-09-05
-
Fundamental differences in patterns of retinal ageing between primates and mice
Authors: JH Kam, TW Weinrich, H Shinhmar, MB Powner, NW Roberts, A Aboelnour, G Jeffery
Sci Rep, 2019-08-29;9(1):12574. 2019-08-29
-
Pseudomonas aeruginosa Lipoxygenase LoxA Contributes to Lung Infection by Altering the Host Immune Lipid Signaling
Authors: E Morello, T Pérez-Bere, C Boisseau, T Baranek, A Guillon, D Bréa, P Lanotte, X Carpena, N Pietrancos, V Hervé, R Ramphal, N Cenac, M Si-Tahar
Front Microbiol, 2019-08-14;10(0):1826. 2019-08-14
-
Length and diameter-dependent phagocytosis and cytotoxicity of long silver nanowires in macrophages
Authors: F Wang, Y Wang, X Yao, C Ma, Y Yin, M Song
Chemosphere, 2019-08-10;237(0):124565. 2019-08-10
-
Lysophosphatidic acid up-regulates IL-10 production to inhibit TNF-α synthesis in M?s stimulated with LPS
Authors: A Ciesielska, A Hromada-Ju, E Ziemli?ska, K Kwiatkowsk
J. Leukoc. Biol., 2019-07-23;0(0):. 2019-07-23
-
Long-Lasting Anti-Inflammatory and Antinociceptive Effects of Acute Ammonium Glycyrrhizinate Administration: Pharmacological, Biochemical, and Docking Studies
Authors: F Maione, P Minosi, A Di Giannua, F Raucci, MG Chini, S De Vita, G Bifulco, N Mascolo, S Pieretti
Molecules, 2019-07-04;24(13):. 2019-07-04
-
The dynamic uptake and release of SOD3 from intracellular stores in macrophages modulates the inflammatory response
Authors: L Hu, ED Zachariae, UG Larsen, F Vilhardt, SV Petersen
Redox Biol, 2019-07-02;26(0):101268. 2019-07-02
-
Intragenic antagonistic roles of protein and circRNA in tumorigenesis
Authors: J Guarnerio, Y Zhang, G Cheloni, R Panella, J Mae Katon, M Simpson, A Matsumoto, A Papa, C Loretelli, A Petri, S Kauppinen, C Garbutt, G Petur Niel, V Deshpande, M Castillo-M, C Cordon-Car, S Dimitrios, JG Clohessy, M Batish, PP Pandolfi
Cell Res., 2019-06-17;0(0):. 2019-06-17
-
Tumour-associated macrophages exhibit anti-tumoural properties in Sonic Hedgehog medulloblastoma
Authors: V Maximov, Z Chen, Y Wei, MH Robinson, CJ Herting, NS Shanmugam, VA Rudneva, KC Goldsmith, TJ MacDonald, PA Northcott, D Hambardzum, AM Kenney
Nat Commun, 2019-06-03;10(1):2410. 2019-06-03
-
Low-Dose Tacrolimus Prevents Dysregulated Peri-Conceptional Ovarian and Systemic Immune Cellular Homeostasis in Subjects with PCOS
Authors: AJH Albaghdadi, CA Feeley, FWK Kan
Sci Rep, 2019-04-25;9(1):6528. 2019-04-25
-
Functional Screening Identifies MicroRNAs as Multi-Cellular Regulators of Heart Failure
Authors: R Verjans, WJA Derks, K Korn, B Sönnichsen, REW van Leeuwe, B Schroen, M van Bilsen, S Heymans
Sci Rep, 2019-04-15;9(1):6055. 2019-04-15
-
Yap/Taz regulate alveolar regeneration and resolution of lung inflammation
Authors: R LaCanna, D Liccardo, P Zhang, L Tragesser, Y Wang, T Cao, HA Chapman, EE Morrisey, H Shen, WJ Koch, B Kosmider, MR Wolfson, Y Tian
J. Clin. Invest., 2019-04-15;130(0):. 2019-04-15
-
Plasma Rich in Growth Factors (PRGF) Disrupt the Blood-Brain Barrier Integrity and Elevate Amyloid Pathology in the Brains of 5XFAD Mice
Authors: QV Duong, ML Kintzing, WE Kintzing, IM Abdallah, AD Brannen, A Kaddoumi
Int J Mol Sci, 2019-03-25;20(6):. 2019-03-25
-
NK Cell-Mediated Processing Of Chlamydia psittaci Drives Potent Anti-Bacterial Th1 Immunity
Authors: N Radomski, K Franzke, S Matthiesen, A Karger, MR Knittler
Sci Rep, 2019-03-18;9(1):4799. 2019-03-18
-
Sirtuin 2 enhances allergic asthmatic inflammation
Authors: YG Lee, BF Reader, D Herman, A Streicher, JA Englert, M Ziegler, S Chung, M Karpurapu, GY Park, JW Christman, MN Ballinger
JCI Insight, 2019-02-21;0(0):. 2019-02-21
-
Iron accentuated reactive oxygen species release by NADPH oxidase in activated microglia contributes to oxidative stress in vitro
Authors: YJ Yauger, S Bermudez, KE Moritz, E Glaser, B Stoica, KR Byrnes
J Neuroinflammation, 2019-02-18;16(1):41. 2019-02-18
-
Dose-Dependent Influences of Ethanol on Ischemic Stroke: Role of Inflammation
Authors: G Xu, C Li, AL Parsiola, J Li, KD McCarter, R Shi, WG Mayhan, H Sun
Front Cell Neurosci, 2019-02-12;13(0):6. 2019-02-12
-
An in vitro model for studying CNS white matter: functional properties and experimental approaches
Authors: S Bijland, G Thomson, M Euston, K Michail, K Thümmler, S Mücklisch, CL Crawford, SC Barnett, M McLaughlin, TJ Anderson, C Linington, ER Brown, ER Kalkman, JM Edgar
F1000Res, 2019-01-29;8(0):117. 2019-01-29
-
Discrimination of Structural and Immunological Features of Polysaccharides from Persimmon Leaves at Different Maturity Stages
Authors: YR Song, AR Han, TG Lim, JH Kang, HD Hong
Molecules, 2019-01-19;24(2):. 2019-01-19
-
Loss of the adhesion G-protein coupled receptor ADGRF5 in mice induces airway inflammation and the expression of CCL2 in lung endothelial cells
Authors: F Kubo, DM Ariestanti, S Oki, T Fukuzawa, R Demizu, T Sato, RM Sabirin, S Hirose, N Nakamura
Respir. Res., 2019-01-17;20(1):11. 2019-01-17
-
Loss of Par1b/MARK2 primes microglia during brain development and enhances their sensitivity to injury
Authors: VL DiBona, W Zhu, MK Shah, A Rafalia, H Ben Cheikh, DP Crockett, H Zhang
J Neuroinflammation, 2019-01-17;16(1):11. 2019-01-17
-
Suppression of chemotherapy-induced cytokine/lipid mediator surge and ovarian cancer by a dual COX-2/sEH inhibitor
Authors: A Gartung, J Yang, VP Sukhatme, DR Bielenberg, D Fernandes, J Chang, BA Schmidt, SH Hwang, D Zurakowski, S Huang, MW Kieran, BD Hammock, D Panigrahy
Proc. Natl. Acad. Sci. U.S.A., 2019-01-15;116(5):1698-1703. 2019-01-15
-
Impaired immune surveillance accelerates accumulation of senescent cells and aging
Authors: Y Ovadya, T Landsberge, H Leins, E Vadai, H Gal, A Biran, R Yosef, A Sagiv, A Agrawal, A Shapira, J Windheim, M Tsoory, R Schirmbeck, I Amit, H Geiger, V Krizhanovs
Nat Commun, 2018-12-21;9(1):5435. 2018-12-21
-
Rab4b Deficiency in T Cells Promotes Adipose Treg/Th17 Imbalance, Adipose Tissue Dysfunction, and Insulin Resistance
Authors: J Gilleron, G Bouget, S Ivanov, C Meziat, F Ceppo, B Vergoni, M Djedaini, A Soprani, K Dumas, A Jacquel, L Yvan-Charv, N Venteclef, JF Tanti, M Cormont
Cell Rep, 2018-12-18;25(12):3329-3341.e5. 2018-12-18
-
Monocyte infiltration rather than microglia proliferation dominates the early immune response to rapid photoreceptor degeneration
Authors: SJ Karlen, EB Miller, X Wang, ES Levine, RJ Zawadzki, ME Burns
J Neuroinflammation, 2018-12-15;15(1):344. 2018-12-15
-
Compensatory regrowth of the mouse bladder after partial cystectomy
Authors: GB Delos Sant, MY Devine, J Wetterlin, PR Firmiss, NA Kukulka, DK Bowen, EM Gong, RW Dettman
PLoS ONE, 2018-11-26;13(11):e0206436. 2018-11-26
-
Human Adipose Tissue-Derived Mesenchymal Stem Cells Attenuate Atopic Dermatitis by Regulating the Expression of MIP-2, miR-122a-SOCS1 Axis, and Th1/Th2 Responses
Authors: M Kim, SH Lee, Y Kim, Y Kwon, Y Park, HK Lee, HS Jung, D Jeoung
Front Pharmacol, 2018-11-06;9(0):1175. 2018-11-06
-
Unique pattern of neutrophil migration and function during tumor progression
Authors: S Patel, S Fu, J Mastio, GA Dominguez, A Purohit, A Kossenkov, C Lin, K Alicea-Tor, M Sehgal, Y Nefedova, J Zhou, LR Languino, C Clendenin, RH Vonderheid, C Mulligan, B Nam, N Hockstein, G Masters, M Guarino, ZT Schug, DC Altieri, DI Gabrilovic
Nat. Immunol., 2018-10-15;19(11):1236-1247. 2018-10-15
-
LINCS L1000 dataset-based repositioning of CGP-60474 as a highly potent anti-endotoxemic agent
Authors: HW Han, S Hahn, HY Jeong, JH Jee, MO Nam, HK Kim, DH Lee, SY Lee, DK Choi, JH Yu, SH Min, J Yoo
Sci Rep, 2018-10-08;8(1):14969. 2018-10-08
-
A severe atherosclerosis mouse model on the resistant NOD background
Authors: X Wang, R Huang, L Zhang, S Li, J Luo, Y Gu, Z Chen, Q Zheng, T Chao, W Zheng, X Qi, L Wang, Y Wen, Y Liang, L Lu
Dis Model Mech, 2018-10-08;11(10):. 2018-10-08
-
Impact of eosinophil-peroxidase (EPX) deficiency on eosinophil structure and function in mouse airways
Authors: CM Percopo, JO Krumholz, ER Fischer, LS Kraemer, M Ma, K Laky, HF Rosenberg
J. Leukoc. Biol., 2018-10-04;0(0):. 2018-10-04
-
Bone marrow mesenchymal stem cells tune the differentiation of myeloid-derived suppressor cells in bleomycin-induced lung injury
Authors: X Su, L Yang, Y Yin, J Huang, F Qiao, Y Fang, L Yu, Y Wang, K Zhou, J Wang
Stem Cell Res Ther, 2018-09-26;9(1):253. 2018-09-26
-
Tobacco Carcinogen-Induced Production of GM-CSF Activates CREB to Promote Pancreatic Cancer
Authors: S Srinivasan, T Totiger, C Shi, J Castellano, P Lamichhane, AR Dosch, F Messaggio, N Kashikar, K Honnenahal, Y Ban, NB Merchant, MN VanSaun, NS Nagathihal
Cancer Res., 2018-09-19;0(0):. 2018-09-19
-
CLEC16A regulates splenocyte and NK cell function in part through MEK signaling
Authors: R Pandey, M Bakay, HS Hain, B Strenkowsk, BZB Elsaqa, JD Roizen, JA Kushner, JS Orange, H Hakonarson
PLoS ONE, 2018-09-18;13(9):e0203952. 2018-09-18
-
Inflammaging impairs peripheral nerve maintenance and regeneration
Authors: R Büttner, A Schulz, M Reuter, AK Akula, T Mindos, A Carlstedt, LB Riecken, SL Baader, R Bauer, H Morrison
Aging Cell, 2018-08-31;0(0):e12833. 2018-08-31
-
Caveolin-1-Knockout Mouse as a Model of Inflammatory Diseases
Authors: E Codrici, L Albulescu, ID Popescu, S Mihai, AM Enciu, R Albulescu, C Tanase, ME Hinescu
J Immunol Res, 2018-08-29;2018(0):2498576. 2018-08-29
-
Akt1-Mediated Muscle Growth Promotes Blood Flow Recovery After Hindlimb Ischemia by Enhancing Heme Oxygenase-1 in Neighboring Cells
Authors: Y Onoue, Y Izumiya, S Hanatani, T Ishida, Y Arima, S Yamamura, Y Kimura, S Araki, M Ishii, T Nakamura, Y Oimatsu, K Sakamoto, E Yamamoto, S Kojima, K Kaikita, K Tsujita
Circ. J., 2018-08-10;0(0):. 2018-08-10
-
Menthol, a unique urinary volatile compound, is associated with chronic inflammation in interstitial cystitis
Authors: M Shahid, MY Lee, A Yeon, E Cho, V Sairam, L Valdiviez, S You, J Kim
Sci Rep, 2018-07-18;8(1):10859. 2018-07-18
-
Administration of cytokine-induced myeloid-derived suppressor cells ameliorates renal fibrosis in diabetic mice
Authors: CC Hsieh, CL Lin, JT He, M Chiang, Y Wang, YC Tsai, CH Hung, PJ Chang
Stem Cell Res Ther, 2018-07-04;9(1):183. 2018-07-04
-
Myeloid p38? signaling promotes intestinal IGF-1 production and inflammation-associated tumorigenesis
Authors: C Youssif, M Cubillos-R, M Comalada, E Llonch, C Perna, N Djouder, AR Nebreda
EMBO Mol Med, 2018-07-01;0(0):. 2018-07-01
-
Molecular and cellular identification of the immune response in peripheral ganglia following nerve injury
Authors: JA Lindborg, JP Niemi, MA Howarth, KW Liu, CZ Moore, D Mahajan, RE Zigmond
J Neuroinflammation, 2018-06-26;15(1):192. 2018-06-26
-
Lung cellular senescence is independent of aging in a mouse model of COPD/emphysema
Authors: K Rashid, IK Sundar, J Gerloff, D Li, I Rahman
Sci Rep, 2018-06-13;8(1):9023. 2018-06-13
-
Choline transport links macrophage phospholipid metabolism and inflammation
Authors: SA Snider, KD Margison, P Ghorbani, ND LeBlond, C O'Dwyer, JR Nunes, T Nguyen, H Xu, SA Bennett, MD Fullerton
J. Biol. Chem., 2018-06-07;0(0):. 2018-06-07
-
Sarcodon imbricatus polysaccharides improve mouse hematopoietic function after cyclophosphamide-induced damage via G-CSF mediated JAK2/STAT3 pathway
Authors: X Wang, Q Chu, X Jiang, Y Yu, L Wang, Y Cui, J Lu, L Teng, D Wang
Cell Death Dis, 2018-05-21;9(6):578. 2018-05-21
-
Alternaria alternata challenge at the nasal mucosa results in eosinophilic inflammation and increased susceptibility to influenza virus infection
Authors: M Ma, JL Redes, CM Percopo, KM Druey, HF Rosenberg
Clin. Exp. Allergy, 2018-04-15;0(0):. 2018-04-15
-
Identification of CCL5/RANTES as a novel contraction-reducible myokine in mouse skeletal muscle
Authors: Y Ishiuchi, H Sato, N Komatsu, H Kawaguchi, T Matsuwaki, K Yamanouchi, M Nishihara, T Nedachi
Cytokine, 2018-03-17;108(0):17-23. 2018-03-17
-
Effects of Graphene Oxide Nanoparticles on the Immune System Biomarkers Produced by RAW 264.7 and Human Whole Blood Cell Cultures
Authors: K Lategan, H Alghadi, M Bayati, MF de Cortale, E Pool
Nanomaterials (Basel), 2018-02-24;8(2):. 2018-02-24
-
HEPES activates a MiT/TFE-dependent lysosomal-autophagic gene network in cultured cells: A call for caution
Authors: MJ Tol, MJC van der Li, TL Gabriel, JJ Hagen, S Scheij, T Veenendaal, J Klumperman, WE Donker-Koo, AJ Verhoeven, H Overkleeft, JM Aerts, CA Argmann, M van Eijk
Autophagy, 2018-02-17;0(0):1-13. 2018-02-17
-
Carbon Monoxide Impairs CD11bLy-6CMonocyte Migration from the Blood to Inflamed Pancreas via Inhibition of the CCL2/CCR2 Axis
Authors: J Wu, R Zhang, G Hu, HH Zhu, WQ Gao, J Xue
J. Immunol., 2018-02-09;0(0):. 2018-02-09
-
The role of HFE genotype in macrophage phenotype
Authors: AM Nixon, E Neely, IA Simpson, JR Connor
J Neuroinflammation, 2018-02-01;15(1):30. 2018-02-01
-
EBI2 regulates pro-inflammatory signalling and cytokine release in astrocytes
Authors: A Rutkowska, DR Shimshek, AW Sailer, KK Dev
Neuropharmacology, 2018-01-31;133(0):121-128. 2018-01-31
-
Ultramicronized palmitoylethanolamide rescues learning and memory impairments in a triple transgenic mouse model of Alzheimer's disease by exerting anti-inflammatory and neuroprotective effects
Authors: C Scuderi, MR Bronzuoli, R Facchinett, L Pace, L Ferraro, KD Broad, G Serviddio, F Bellanti, G Palombelli, G Carpinelli, R Canese, S Gaetani, L Steardo, L Steardo, T Cassano
Transl Psychiatry, 2018-01-31;8(1):32. 2018-01-31
-
Therapeutic effects of telomerase in mice with pulmonary fibrosis induced by damage to the lungs and short telomeres
Authors: JM Povedano, P Martinez, R Serrano, Á Tejera, G Gómez-Lópe, M Bobadilla, JM Flores, F Bosch, MA Blasco
Elife, 2018-01-30;7(0):. 2018-01-30
-
A non-cell-autonomous role for Pml in the maintenance of leukemia from the niche
Authors: J Guarnerio, LM Mendez, N Asada, AV Menon, J Fung, K Berry, PS Frenette, K Ito, PP Pandolfi
Nat Commun, 2018-01-04;9(1):66. 2018-01-04
-
Gene and Protein Expression Profiles in a Mouse Model of Collagen-Induced Arthritis
Authors: SY Gwon, KJ Rhee, HJ Sung
Int J Med Sci, 2018-01-01;15(1):77-85. 2018-01-01
-
EphrinA1-Fc attenuates myocardial ischemia/reperfusion injury in mice
Authors: A DuSablon, J Parks, K Whitehurst, H Estes, R Chase, E Vlahos, U Sharma, D Wert, J Virag
PLoS ONE, 2017-12-13;12(12):e0189307. 2017-12-13
-
Alterations in Adiposity and Glucose Homeostasis in Adult Gasp-1 Overexpressing Mice
Authors: L Périè, A Parenté, F Baraige, L Magnol, V Blanquet
Cell. Physiol. Biochem., 2017-12-08;44(5):1896-1911. 2017-12-08
-
Sox2 Communicates With Tregs Through CCL1 To Promote The Stemness Property Of Breast Cancer Cells
Authors: Y Xu, X Dong, P Qi, Y Ye, W Shen, L Leng, L Wang, X Li, X Luo, Y Chen, P Sun, R Xiang, N Li
Stem Cells, 2017-12-01;0(0):. 2017-12-01
-
Root bark of Ulmus davidiana var. japonica restrains acute alcohol-induced hepatic steatosis onset in mice by inhibiting ROS accumulation
Authors: JH Pan, Y Lim, JH Kim, W Heo, KY Lee, HJ Shin, JK Kim, JH Lee, YJ Kim
PLoS ONE, 2017-11-27;12(11):e0188381. 2017-11-27
-
Epidermal SIRT1 regulates inflammation, cell migration, and wound healing
Authors: L Qiang, A Sample, H Liu, X Wu, YY He
Sci Rep, 2017-10-26;7(1):14110. 2017-10-26
-
Co-encapsulation and co-transplantation of mesenchymal stem cells reduces pericapsular fibrosis and improves encapsulated islet survival and function when allografted
Authors: V Vaithiling, MDM Evans, DM Lewy, PA Bean, S Bal, BE Tuch
Sci Rep, 2017-08-30;7(1):10059. 2017-08-30
-
Umbilical cord-derived mesenchymal stem cell extracts reduce colitis in mice by re-polarizing intestinal macrophages
Authors: JY Song, HJ Kang, JS Hong, CJ Kim, JY Shim, CW Lee, J Choi
Sci Rep, 2017-08-25;7(1):9412. 2017-08-25
-
Calf Spleen Extractive Injection protects mice against cyclophosphamide-induced hematopoietic injury through G-CSF-mediated JAK2/STAT3 signaling
Authors: W Lu, D Jia, S An, M Mu, X Qiao, Y Liu, X Li, D Wang
Sci Rep, 2017-08-21;7(1):8402. 2017-08-21
-
HDAC3 inhibition ameliorates spinal cord injury by immunomodulation
Authors: T Kuboyama, S Wahane, Y Huang, X Zhou, JK Wong, A Koemeter-C, M Martini, RH Friedel, H Zou
Sci Rep, 2017-08-17;7(1):8641. 2017-08-17
-
Mesenchymal stem cell carriers enhance antitumor efficacy of oncolytic adenoviruses in an immunocompetent mouse model
Authors: E Rincón, T Cejalvo, D Kanojia, A Alfranca, MÁ Rodríguez-, RAG Hoyos, Y Han, L Zhang, R Alemany, MS Lesniak, J García-Cas
Oncotarget, 2017-07-11;0(0):. 2017-07-11
-
Stromal Cell-Derived Factor 1 Mediates Immune Cell Attraction upon Urinary Tract Infection
Authors: B Isaacson, T Hadad, A Glasner, C Gur, Z Granot, G Bachrach, O Mandelboim
Cell Rep, 2017-07-05;20(1):40-47. 2017-07-05
-
Rapid monocyte infiltration following retinal detachment is dependent on non-canonical IL6 signaling through gp130
Authors: X Wang, EB Miller, M Goswami, P Zhang, KE Ronning, SJ Karlen, RJ Zawadzki, EN Pugh, ME Burns
J Neuroinflammation, 2017-06-23;14(1):121. 2017-06-23
-
Loss of epidermal AP1 transcription factor function reduces filaggrin level, alters chemokine expression and produces an ichthyosis-related phenotype
Authors: CA Young, EA Rorke, G Adhikary, W Xu, RL Eckert
Cell Death Dis, 2017-06-01;8(6):e2840. 2017-06-01
-
Recruited Monocytes and Type 2 Immunity Promote Lung Regeneration following Pneumonectomy
Authors: AJ Lechner, IH Driver, J Lee, CM Conroy, A Nagle, RM Locksley, JR Rock
Cell Stem Cell, 2017-05-11;0(0):. 2017-05-11
-
Galectin-3: A Positive Regulator of Leukocyte Recruitment in the Inflamed Microcirculation
Authors: BR Gittens, JV Bodkin, S Nourshargh, M Perretti, D Cooper
J. Immunol., 2017-04-24;0(0):. 2017-04-24
-
Tumor necrosis factor alpha derived from classically activated “M1” macrophages reduces interstitial cell of Cajal numbers
Authors: Seth T. Eisenman, Simon J. Gibbons, Pieter-Jan Verhulst, Gianluca Cipriani, Dieter Saur, Gianrico Farrugia
Neurogastroenterology & Motility 2017-04-01
-
Androgen receptor in cancer-associated fibroblasts influences stemness in cancer cells
Authors: CP Liao, LY Chen, A Luethy, Y Kim, K Kani, AR MacLeod, ME Gross
Endocr. Relat. Cancer, 2017-04-01;24(4):157-170. 2017-04-01
-
Neuronal p38? mediates synaptic and cognitive dysfunction in an Alzheimer's mouse model by controlling ?-amyloid production
Authors: S Colié, S Sarroca, R Palenzuela, I Garcia, A Matheu, R Corpas, CG Dotti, JA Esteban, C Sanfeliu, AR Nebreda
Sci Rep, 2017-03-31;7(0):45306. 2017-03-31
-
Diminished bone regeneration after debridement of posttraumatic osteomyelitis is accompanied by altered cytokine levels, elevated B cell activity and increased osteoclast activity
Authors: JM Wagner, H Jaurich, C Wallner, S Abraham, M Becerikli, M Dadras, K Harati, V Duhan, V Khairnar, M Lehnhardt, B Behr
J. Orthop. Res, 2017-03-24;0(0):. 2017-03-24
-
Effective combinatorial immunotherapy for castration-resistant prostate cancer
Authors: X Lu, JW Horner, E Paul, X Shang, P Troncoso, P Deng, S Jiang, Q Chang, DJ Spring, P Sharma, JA Zebala, DY Maeda, YA Wang, RA DePinho
Nature, 2017-03-20;543(7647):728-732. 2017-03-20
-
Inflammatory 'double hit' model of temporomandibular joint disorder with elevated CCL2, CXCL9, CXCL10, RANTES and behavioural hypersensitivity in TNFR1/R2-/- mice
Authors: SL McIlwrath, R Nesemeier, F Ma, HS Oz, L Zhang, KN Westlund
Eur J Pain, 2017-03-20;0(0):. 2017-03-20
-
Low-Intensity Training and the C5a Complement Antagonist NOX-D21 Rescue the mdx Phenotype through Modulation of Inflammation
Authors: J Hyzewicz, J Tanihata, M Kuraoka, Y Nitahara-K, T Beylier, UT Ruegg, A Vater, S Takeda
Am. J. Pathol, 2017-03-18;0(0):. 2017-03-18
-
Exosomes function in antigen presentation during an in vivo Mycobacterium tuberculosis infection
Authors: VL Smith, Y Cheng, BR Bryant, JS Schorey
Sci Rep, 2017-03-06;7(0):43578. 2017-03-06
-
Cardiac Function Remains Impaired Despite Reversible Cardiac Remodeling after Acute Experimental Viral Myocarditis
Authors: PM Becher, F Gotzhein, K Klingel, F Escher, S Blankenber, D Westermann, D Lindner
J Immunol Res, 2017-03-02;2017(0):6590609. 2017-03-02
-
Osteocyte secreted factors inhibit skeletal muscle differentiation
Authors: CL Wood, PD Pajevic, JH Gooi
Bone Rep, 2017-03-02;6(0):74-80. 2017-03-02
-
Importance of CD200 expression by tumor or host cells to regulation of immunotherapy in a mouse breast cancer model
Authors: A Curry, I Khatri, O Kos, F Zhu, R Gorczynski
PLoS ONE, 2017-02-24;12(2):e0171586. 2017-02-24
-
Complement drives glucosylceramide accumulation and tissue inflammation in Gaucher disease
Authors: MK Pandey, TA Burrow, R Rani, LJ Martin, D Witte, KD Setchell, MA Mckay, AF Magnusen, W Zhang, B Liou, J Köhl, GA Grabowski
Nature, 2017-02-22;543(7643):108-112. 2017-02-22
-
Lack of ABCG2 Leads to Biventricular Dysfunction and Remodeling in Response to Hypoxia
Authors: BM Nagy, C Nagaraj, B Egemnazaro, G Kwapiszews, RE Stauber, A Avian, H Olschewski, A Olschewski
Front Physiol, 2017-02-21;8(0):98. 2017-02-21
-
Fractalkine-CX3CR1 signaling is critical for progesterone-mediated neuroprotection in the retina
Authors: SL Roche, AC Wyse-Jacks, AM Ruiz-Lopez, AM Byrne, TG Cotter
Sci Rep, 2017-02-20;7(0):43067. 2017-02-20
-
PD-L1 blockade enhances response of pancreatic ductal adenocarcinoma to radiotherapy
EMBO Mol Med, 2017-02-01;0(0):. 2017-02-01
-
DNA damage induced by Strontium-90 exposure at low concentrations in mesenchymal stromal cells: the functional consequences
Authors: S Musilli, N Nicolas, Z El Ali, P Orellana-M, C Grand, K Tack, S Kerdine-R”, JM Bertho
Sci Rep, 2017-01-30;7(0):41580. 2017-01-30
-
Mitogen-activated Protein Kinase Kinase Activity Maintains Acinar-to-Ductal Metaplasia and Is Required for Organ Regeneration in Pancreatitis
Authors: CJ Halbrook, HJ Wen, JM Ruggeri, KK Takeuchi, Y Zhang, MP di Maglian, HC Crawford
Cell Mol Gastroenterol Hepatol, 2017-01-01;3(1):99-118. 2017-01-01
-
Autophagy gene ATG7 regulates ultraviolet radiation-induced inflammation and skin tumorigenesis
Authors: L Qiang, A Sample, CR Shea, K Soltani, KF Macleod, YY He
Autophagy, 2017-01-01;0(0):0. 2017-01-01
-
Serpin E2 promotes breast cancer metastasis by remodeling the tumor matrix and polarizing tumor associated macrophages
Oncotarget, 2016-12-13;0(0):. 2016-12-13
-
Gold nanoparticle-filled biodegradable photopolymer scaffolds induced muscle remodeling: in vitro and in vivo findings
Authors: Adam Zsedenyi
Mater Sci Eng C Mater Biol Appl, 2016-12-02;72(0):625-630. 2016-12-02
-
INF-? encoding plasmid administration triggers bone loss and disrupts bone marrow microenvironment
Authors: Dimitrios Agas
J. Endocrinol, 2016-12-01;0(0):. 2016-12-01
-
The cardiac maladaptive ATF3-dependent cross-talk between cardiomyocytes and macrophages is mediated by the IFN?-CXCL10-CXCR3 axis
Authors: A Aronheim
Int. J. Cardiol., 2016-11-10;228(0):394-400. 2016-11-10
-
Immune response characterization and vaccine potential of a recombinant chimera comprising B-cell epitope of Aeromonas hydrophila outer membrane protein C and LTB
Authors: Aparna Dixit
Vaccine, 2016-11-07;34(50):6259-6266. 2016-11-07
-
LAG-3 confers poor prognosis and its blockade reshapes antitumor response in head and neck squamous cell carcinoma
Authors: Wei-Wei Deng
Oncoimmunology, 2016-10-07;5(11):e1239005. 2016-10-07
-
Role of the B Allele of Influenza A Virus Segment 8 in Setting Mammalian Host Range and Pathogenicity
Authors: Paul Digard
J. Virol., 2016-09-29;90(20):9263-84. 2016-09-29
-
Human and mouse monocytes display distinct signalling and cytokine profiles upon stimulation with FFAR2/FFAR3 short-chain fatty acid receptor agonists
Sci Rep, 2016-09-26;6(0):34145. 2016-09-26
-
Inflammatory monocytes and NK cells play a crucial role in DNAM-1-dependent control of cytomegalovirus infection
Authors: T Lenac Rovi, P Kucan Brli, N Kaynan, V Juranic Li, I Brizic, S Jordan, A Tomic, D Kvestak, M Babic, P Tsukerman, M Colonna, U Koszinowsk, M Messerle, O Mandelboim, A Krmpotic, S Jonjic
J. Exp. Med, 2016-08-08;213(9):1835-50. 2016-08-08
-
The Thyroid Hormone Receptors Inhibit Hepatic Interleukin-6 Signaling During Endotoxemia
Sci Rep, 2016-08-03;6(0):30990. 2016-08-03
-
Gremlin-1 Overexpression in Mouse Lung Reduces Silica-Induced Lymphocyte Recruitment – A Link to Idiopathic Pulmonary Fibrosis through Negative Correlation with CXCL10 Chemokine
Authors: Katri Koli, Eva Sutinen, Mikko Rönty, Pia Rantakari, Vittorio Fortino, Ville Pulkkinen et al.
PLOS ONE 2016-07-18
-
The Anti-Inflammatory Effects and Mechanisms of Eupafolin in Lipopolysaccharide-Induced Inflammatory Responses in RAW264.7 Macrophages
PLoS ONE, 2016-07-14;11(7):e0158662. 2016-07-14
-
Treatment of refractory cutaneous ulcers with mixed sheets consisting of peripheral blood mononuclear cells and fibroblasts
Authors: Koji Ueno
Sci Rep, 2016-06-22;6(0):28538. 2016-06-22
-
Proatherosclerotic Effect of the ?1-Subunit of Soluble Guanylyl Cyclase by Promoting Smooth Muscle Phenotypic Switching
Authors: Maria Segura-Pui
Am J Pathol, 2016-06-15;0(0):. 2016-06-15
-
Impact of the Sensory Neurons on Melanoma Growth In Vivo
PLoS ONE, 2016-05-26;11(5):e0156095. 2016-05-26
-
Targeting Serglycin Prevents Metastasis in Murine Mammary Carcinoma
PLoS ONE, 2016-05-25;11(5):e0156151. 2016-05-25
-
Neutrophils suppress intraluminal NK-mediated tumor cell clearance and enhance extravasation of disseminated carcinoma cells
Authors: A Spiegel, MW Brooks, S Houshyar, F Reinhardt, M Ardolino, E Fessler, MB Chen, JA Krall, J DeCock, IK Zervantona, A Iannello, Y Iwamoto, V Cortez-Ret, RD Kamm, MJ Pittet, DH Raulet, RA Weinberg
Cancer Discov, 2016-04-12;0(0):. 2016-04-12
-
Repeated Activation of Lung Invariant NKT Cells Results in Chronic Obstructive Pulmonary Disease-Like Symptoms.
Authors: Tsao C, Tsao P, Chen Y, Chuang Y
PLoS ONE, 2016-01-26;11(1):e0147710. 2016-01-26
-
Activation of IFN/STAT1 signalling predicts response to chemotherapy in oestrogen receptor-negative breast cancer
Authors: ME Legrier, I BiŠche, J Gaston, A Beurdeley, V Yvonnet, O D‚as, A Thuleau, S Chƒteau-Jo, JL Servely, S Vacher, M Lassalle, S Depil, GC Tucker, JJ Fontaine, MF Poupon, S Roman-Roma, JG Judde, D Decaudin, S Cairo, E Marangoni
Br. J. Cancer, 2015-12-22;114(2):177-87. 2015-12-22
-
Extracellular Histones Induce Chemokine Production in Whole Blood Ex Vivo and Leukocyte Recruitment In Vivo.
Authors: Westman J, Papareddy P, Dahlgren M, Chakrakodi B, Norrby-Teglund A, Smeds E, Linder A, Morgelin M, Johansson-Lindbom B, Egesten A, Herwald H
PLoS Pathog, 2015-12-08;11(12):e1005319. 2015-12-08
-
Left Ventricular Dysfunction and CXCR3 Ligands in Hypertension: From Animal Experiments to a Population-Based Pilot Study.
Authors: Altara R, Gu Y, Struijker-Boudier H, Thijs L, Staessen J, Blankesteijn W
PLoS ONE, 2015-10-27;10(10):e0141394. 2015-10-27
-
Novel Role of TRPML2 in the Regulation of the Innate Immune Response.
Authors: Sun L, Hua Y, Vergarajauregui S, Diab H, Puertollano R
J Immunol, 2015-10-02;195(10):4922-32. 2015-10-02
-
Shikonin-enhanced cell immunogenicity of tumor vaccine is mediated by the differential effects of DAMP components.
Authors: Lin T, Lin H, Chang W, Mitapalli S P, Hsiao P, Yin S, Yang N
Mol Cancer, 2015-09-24;14(0):174. 2015-09-24
-
Plasmacytoid Dendritic Cell Activation and IFN-alpha Production Are Prominent Features of Murine Autoimmune Pancreatitis and Human IgG4-Related Autoimmune Pancreatitis.
Authors: Arai Y, Yamashita K, Kuriyama K, Shiokawa M, Kodama Y, Sakurai T, Mizugishi K, Uchida K, Kadowaki N, Takaori-Kondo A, Kudo M, Okazaki K, Strober W, Chiba T, Watanabe T
J Immunol, 2015-08-21;195(7):3033-44. 2015-08-21
-
Snail1-induced partial epithelial-to-mesenchymal transition drives renal fibrosis in mice and can be targeted to reverse established disease.
Authors: Grande M, Sanchez-Laorden B, Lopez-Blau C, De Frutos C, Boutet A, Arevalo M, Rowe R, Weiss S, Lopez-Novoa J, Nieto M
Nat Med, 2015-08-03;21(9):989-97. 2015-08-03
-
Molecular Mechanisms Mediating Retinal Reactive Gliosis Following Bone Marrow Mesenchymal Stem Cell Transplantation.
Authors: Tassoni A, Gutteridge A, Barber A, Osborne A, Martin K
Stem Cells, 2015-07-29;33(10):3006-16. 2015-07-29
-
EpCAM Aptamer-siRNA Chimera Targets and Regress Epithelial Cancer.
Authors: Subramanian N, Kanwar J, Kanwar R, Sreemanthula J, Biswas J, Khetan V, Krishnakumar S
PLoS ONE, 2015-07-15;10(7):e0132407. 2015-07-15
-
Interleukin-35 Inhibits Endothelial Cell Activation by Suppressing MAPK-AP-1 Pathway.
Authors: Sha X, Meng S, Li X, Xi H, Maddaloni M, Pascual D, Shan H, Jiang X, Wang H, Yang X
J Biol Chem, 2015-06-17;290(31):19307-18. 2015-06-17
-
The generation of macrophages with anti-inflammatory activity in the absence of STAT6 signaling.
Authors: Fleming B, Chandrasekaran P, Dillon L, Dalby E, Suresh R, Sarkar A, El-Sayed N, Mosser D
J Leukoc Biol, 2015-06-05;98(3):395-407. 2015-06-05
-
mRNA-transfected Dendritic Cells Expressing Polypeptides That Link MHC-I Presentation to Constitutive TLR4 Activation Confer Tumor Immunity.
Authors: Cafri G, Sharbi-Yunger A, Tzehoval E, Alteber Z, Gross T, Vadai E, Margalit A, Gross G, Eisenbach L
Mol Ther, 2015-05-22;23(8):1391-400. 2015-05-22
-
Combination of inflammation-related cytokines promotes long-term muscle stem cell expansion.
Authors: Fu X, Xiao J, Wei Y, Li S, Liu Y, Yin J, Sun K, Sun H, Wang H, Zhang Z, Zhang B, Sheng C, Wang H, Hu P
Cell Res, 2015-05-15;25(6):655-73. 2015-05-15
-
Lenalidomide reduces microglial activation and behavioral deficits in a transgenic model of Parkinson's disease.
Authors: Valera E, Mante M, Anderson S, Rockenstein E, Masliah E
J Neuroinflammation, 2015-05-14;12(0):93. 2015-05-14
-
MicroRNA-26a/-26b-COX-2-MIP-2 Loop Regulates Allergic Inflammation and Allergic Inflammation-promoted Enhanced Tumorigenic and Metastatic Potential of Cancer Cells.
Authors: Kwon Y, Kim Y, Eom S, Kim M, Park D, Kim H, Noh K, Lee H, Lee Y, Choe J, Kim Y, Jeoung D
J Biol Chem, 2015-04-23;290(22):14245-66. 2015-04-23
-
Grapefruit-Derived Nanovectors Use an Activated Leukocyte Trafficking Pathway to Deliver Therapeutic Agents to Inflammatory Tumor Sites.
Authors: Wang Q, Ren Y, Mu J, Egilmez N, Zhuang X, Deng Z, Zhang L, Yan J, Miller D, Zhang H
Cancer Res, 2015-04-16;75(12):2520-9. 2015-04-16
-
Tumor-induced pressure in the bone microenvironment causes osteocytes to promote the growth of prostate cancer bone metastases.
Authors: Sottnik J, Dai J, Zhang H, Campbell B, Keller E
Cancer Res, 2015-04-08;75(11):2151-8. 2015-04-08
-
Specific medicinal plant polysaccharides effectively enhance the potency of a DC-based vaccine against mouse mammary tumor metastasis.
Authors: Chang, Wei Ting, Lai, Tzung Hs, Chyan, Yau Jan, Yin, Shu Yi, Chen, Yung Hsi, Wei, Wen Chi, Yang, Ning-Sun
PLoS ONE, 2015-03-31;10(3):e0122374. 2015-03-31
-
Lysophosphatidic acid alters the expression profiles of angiogenic factors, cytokines, and chemokines in mouse liver sinusoidal endothelial cells.
Authors: Chou C, Lai S, Ho C, Lin W, Chen C, Lee P, Peng F, Kuo S, Wu S, Lai H
PLoS ONE, 2015-03-30;10(3):e0122060. 2015-03-30
-
Targeted Disruption of Ig-Hepta/Gpr116 Causes Emphysema-like Symptoms That Are Associated with Alveolar Macrophage Activation.
Authors: Ariestanti D, Ando H, Hirose S, Nakamura N
J Biol Chem, 2015-03-16;290(17):11032-40. 2015-03-16
-
Supernatants of tumours treated with chemotherapy can alter tumour growth and development in vivo.
Authors: Liu W, Scott K, Dalgleish A
Anticancer Res, 2015-03-01;35(3):1499-508. 2015-03-01
-
Frostbite protection in mice expressing an antifreeze glycoprotein.
Authors: Heisig, Martin, Mattessich, Sarah, Rembisz, Alison, Acar, Ali, Shapiro, Martin, Booth, Carmen J, Neelakanta, Girish, Fikrig, Erol
PLoS ONE, 2015-02-25;10(2):e0116562. 2015-02-25
-
Tumor necrosis factor (TNF) receptor-associated factor (TRAF)-interacting protein (TRIP) negatively regulates the TRAF2 ubiquitin-dependent pathway by suppressing the TRAF2-sphingosine 1-phosphate (S1P) interaction.
Authors: Park E, Choi S, Shin B, Yu J, Yu J, Hwang J, Yun H, Chung Y, Choi J, Choi Y, Rho J
J Biol Chem, 2015-02-25;290(15):9660-73. 2015-02-25
-
Local immunosuppressive microenvironment enhances migration of melanoma cells to lungs in DJ-1 knockout mice.
Authors: Chien C, Lee M, Liou H, Liou H, Fu W
PLoS ONE, 2015-02-23;10(2):e0115827. 2015-02-23
-
IkappaBNS regulates murine Th17 differentiation during gut inflammation and infection.
Authors: Annemann M, Wang Z, Plaza-Sirvent C, Glauben R, Schuster M, Ewald Sander F, Mamareli P, Kuhl A, Siegmund B, Lochner M, Schmitz I
J Immunol, 2015-02-18;194(6):2888-98. 2015-02-18
-
Neuropathic pain is constitutively suppressed in early life by anti-inflammatory neuroimmune regulation.
Authors: McKelvey R, Berta T, Old E, Ji R, Fitzgerald M
J Neurosci, 2015-01-14;35(2):457-66. 2015-01-14
-
F-box protein FBXW7 inhibits cancer metastasis in a non-cell-autonomous manner.
Authors: Yumimoto, Kanae, Akiyoshi, Sayuri, Ueo, Hiroki, Sagara, Yasuaki, Onoyama, Ichiro, Ueo, Hiroaki, Ohno, Shinji, Mori, Masaki, Mimori, Koshi, Nakayama, Keiichi
J Clin Invest, 2015-01-02;125(2):621-35. 2015-01-02
-
The circadian clock controls sunburn apoptosis and erythema in mouse skin.
Authors: Gaddameedhi, Shobhan, Selby, Christop, Kemp, Michael, Ye, Rui, Sancar, Aziz
J Invest Dermatol, 2014-11-28;135(4):1119-27. 2014-11-28
-
Myeloid cell TRAF3 regulates immune responses and inhibits inflammation and tumor development in mice.
Authors: Lalani A, Moore C, Luo C, Kreider B, Liu Y, Morse H, Xie P
J Immunol, 2014-11-24;194(1):334-48. 2014-11-24
-
Cessation of CCL2 inhibition accelerates breast cancer metastasis by promoting angiogenesis.
Authors: Bonapace L, Coissieux M, Wyckoff J, Mertz K, Varga Z, Junt T, Bentires-Alj M
Nature, 2014-10-22;515(7525):130-3. 2014-10-22
-
Absence of fibromodulin affects matrix composition, collagen deposition and cell turnover in healthy and fibrotic lung parenchyma.
Authors: Rydell-Tormanen K, Andreasson K, Hesselstrand R, Westergren-Thorsson G
Sci Rep, 2014-09-18;4(0):6383. 2014-09-18
-
The Src family kinases Hck, Fgr, and Lyn are critical for the generation of the in vivo inflammatory environment without a direct role in leukocyte recruitment.
Authors: Kovacs M, Nemeth T, Jakus Z, Sitaru C, Simon E, Futosi K, Botz B, Helyes Z, Lowell C, Mocsai A
J Exp Med, 2014-09-15;211(10):1993-2011. 2014-09-15
-
Effective treatment of allergic airway inflammation with Helicobacter pylori immunomodulators requires BATF3-dependent dendritic cells and IL-10.
Authors: Engler D, Reuter S, van Wijck Y, Urban S, Kyburz A, Maxeiner J, Martin H, Yogev N, Waisman A, Gerhard M, Cover T, Taube C, Muller A
Proc Natl Acad Sci U S A, 2014-07-29;111(32):11810-5. 2014-07-29
-
Improving membrane based multiplex immunoassays for semi-quantitative detection of multiple cytokines in a single sample.
Authors: Altara, Raffaele, Manca, Marco, Hessel, Marleen, Janssen, Ben J, Struijker-Boudier, Harry H, Hermans, Rob J J, Blankesteijn, W Matthi
BMC Biotechnol, 2014-07-15;14(0):63. 2014-07-15
-
Notch-dependent repression of miR-155 in the bone marrow niche regulates hematopoiesis in an NF-kappaB-dependent manner.
Authors: Wang L, Zhang H, Rodriguez S, Cao L, Parish J, Mumaw C, Zollman A, Kamoka M, Mu J, Chen D, Srour E, Chitteti B, HogenEsch H, Tu X, Bellido T, Boswell H, Manshouri T, Verstovsek S, Yoder M, Kapur R, Cardoso A, Carlesso N
Cell Stem Cell, 2014-07-03;15(1):51-65. 2014-07-03
-
Cancer affects microRNA expression, release, and function in cardiac and skeletal muscle.
Authors: Chen D, Goswami C, Burnett R, Anjanappa M, Bhat-Nakshatri P, Muller W, Nakshatri H
Cancer Res, 2014-06-30;74(16):4270-81. 2014-06-30
-
HPV16-associated tumors control myeloid cell homeostasis in lymphoid organs, generating a suppressor environment for T cells.
Authors: Stone S, Rossetti R, Bolpetti A, Boccardo E, Souza P, Lepique A
J Leukoc Biol, 2014-06-26;96(4):619-31. 2014-06-26
-
Bone marrow stromal cell-derived exosomes as communicators in drug resistance in multiple myeloma cells.
Authors: Wang J, Hendrix A, Hernot S, Lemaire M, De Bruyne E, Van Valckenborgh E, Lahoutte T, De Wever O, Vanderkerken K, Menu E
Blood, 2014-06-13;124(4):555-66. 2014-06-13
-
Glyceraldehyde-3-phosphate dehydrogenase (GAPDH) prevents lipopolysaccharide (LPS)-induced, sepsis-related severe acute lung injury in mice.
Authors: Takaoka, Yuki, Goto, Shigeru, Nakano, Toshiaki, Tseng, Hui-Peng, Yang, Shih-Min, Kawamoto, Seiji, Ono, Kazuhisa, Chen, Chao-Lon
Sci Rep, 2014-06-06;4(0):5204. 2014-06-06
-
Macrophage-inducing FasL on chondrocytes forms immune privilege in cartilage tissue engineering, enhancing in vivo regeneration.
Authors: Fujihara Y, Takato T, Hoshi K
Stem Cells, 2014-05-01;32(5):1208-19. 2014-05-01
-
Role of Rip2 in development of tumor-infiltrating MDSCs and bladder cancer metastasis.
Authors: Zhang, Hanwei, Chin, Arnold I
PLoS ONE, 2014-04-14;9(4):e94793. 2014-04-14
-
BMP pathway regulation of and by macrophages.
Authors: Talati M, West J, Zaynagetdinov R, Hong C, Han W, Blackwell T, Robinson L, Blackwell T, Lane K
PLoS ONE, 2014-04-08;9(4):e94119. 2014-04-08
-
The pathogenic mechanism of the Mycobacterium ulcerans virulence factor, mycolactone, depends on blockade of protein translocation into the ER.
Authors: Hall, Belinda, Hill, Kirsti, McKenna, Michael, Ogbechi, Joy, High, Stephen, Willis, Anne E, Simmonds, Rachel E
PLoS Pathog, 2014-04-03;10(4):e1004061. 2014-04-03
-
Dystrophic mdx mice develop severe cardiac and respiratory dysfunction following genetic ablation of the anti-inflammatory cytokine IL-10.
Authors: Nitahara-Kasahara Y, Hayashita-Kinoh H, Chiyo T, Nishiyama A, Okada H, Takeda S, Okada T
Hum Mol Genet, 2014-03-21;23(15):3990-4000. 2014-03-21
-
IL-1alpha and complement cooperate in triggering local neutrophilic inflammation in response to adenovirus and eliminating virus-containing cells.
Authors: Di Paolo N, Baldwin L, Irons E, Papayannopoulou T, Tomlinson S, Shayakhmetov D
PLoS Pathog, 2014-03-20;10(3):e1004035. 2014-03-20
-
Sc65 is a novel endoplasmic reticulum protein that regulates bone mass homeostasis.
Authors: Gruenwald K, Castagnola P, Besio R, Dimori M, Chen Y, Akel N, Swain F, Skinner R, Eyre D, Gaddy D, Suva L, Morello R
J Bone Miner Res, 2014-03-01;29(3):666-75. 2014-03-01
-
Human herpesvirus 6A infection in CD46 transgenic mice: viral persistence in the brain and increased production of proinflammatory chemokines via Toll-like receptor 9.
Authors: Reynaud J, Jegou J, Welsch J, Horvat B
J Virol, 2014-02-26;88(10):5421-36. 2014-02-26
-
Metabolic reprogramming of macrophages: glucose transporter 1 (GLUT1)-mediated glucose metabolism drives a proinflammatory phenotype.
Authors: Freemerman A, Johnson A, Sacks G, Milner J, Kirk E, Troester M, Macintyre A, Goraksha-Hicks P, Rathmell J, Makowski L
J Biol Chem, 2014-02-03;289(11):7884-96. 2014-02-03
-
Effects of insulin resistance on skeletal muscle growth and exercise capacity in type 2 diabetic mouse models.
Authors: Ostler, Joseph E, Maurya, Santosh, Dials, Justin, Roof, Steve R, Devor, Steven T, Ziolo, Mark T, Periasamy, Muthu
Am J Physiol Endocrinol Metab, 2014-01-14;306(6):E592-605. 2014-01-14
-
Infection with Leishmania major induces a cellular stress response in macrophages.
Authors: Filardy A, Costa-da-Silva A, Koeller C, Guimaraes-Pinto K, Ribeiro-Gomes F, Lopes M, Heise N, Freire-de-Lima C, Nunes M, DosReis G
PLoS ONE, 2014-01-09;9(1):e85715. 2014-01-09
-
IL-15 deficient tax mice reveal a role for IL-1alpha in tumor immunity.
Authors: Rauch D, Harding J, Ratner L
PLoS ONE, 2014-01-08;9(1):e85028. 2014-01-08
-
A paracrine network regulates the cross-talk between human lung stem cells and the stroma.
Authors: Ruiz E, Oeztuerk-Winder F, Ventura J
Nat Commun, 2014-01-01;5(0):3175. 2014-01-01
-
Concomitant interferon alpha stimulation and TLR3 activation induces neuronal expression of depression-related genes that are elevated in the brain of suicidal persons.
Authors: Hoyo-Becerra, Carolina, Huebener, Anastasi, Trippler, Martin, Lutterbeck, Melanie, Liu, Zijian J, Truebner, Kurt, Bajanowski, Thomas, Gerken, Guido, Hermann, Dirk M, Schlaak, Joerg F
PLoS ONE, 2013-12-31;8(12):e83149. 2013-12-31
-
Novel mechanisms underlying the immediate and transient global tolerization of splenic dendritic cells after vaccination with a self-antigen.
Authors: Farkas A, Finn O
J Immunol, 2013-12-11;192(2):658-65. 2013-12-11
-
Effect of low frequency magnetic fields on melanoma: tumor inhibition and immune modulation.
Authors: Nie Y, DU L, Mou Y, Xu Z, Weng L, Du Y, Zhu Y, Hou Y, Wang T
BMC Cancer, 2013-12-06;13(0):582. 2013-12-06
-
Periostin controls keratinocyte proliferation and differentiation by interacting with the paracrine IL-1alpha/IL-6 loop.
Authors: Taniguchi K, Arima K, Masuoka M, Ohta S, Shiraishi H, Ontsuka K, Suzuki S, Inamitsu M, Yamamoto K, Simmons O, Toda S, Conway S, Hamasaki Y, Izuhara K
J Invest Dermatol, 2013-11-25;134(5):1295-304. 2013-11-25
-
Regulation of adult hematopoiesis by the a disintegrin and metalloproteinase 10 (ADAM10).
Authors: Weber S, Wetzel S, Prox J, Lehmann T, Schneppenheim J, Donners M, Saftig P
Biochem Biophys Res Commun, 2013-11-15;442(3):234-41. 2013-11-15
-
KLF4 regulates abdominal aortic aneurysm morphology and deletion attenuates aneurysm formation.
Authors: Salmon M, Johnston W, Woo A, Pope N, Su G, Upchurch G, Owens G, Ailawadi G
Circulation, 2013-09-10;128(11):S163-74. 2013-09-10
-
Anticancer compound ABT-263 accelerates apoptosis in virus-infected cells and imbalances cytokine production and lowers survival rates of infected mice.
Authors: Kakkola L, Denisova O, Tynell J, Viiliainen J, Ysenbaert T, Matos R, Nagaraj A, Ohman T, Kuivanen S, Paavilainen H, Feng L, Yadav B, Julkunen I, Vapalahti O, Hukkanen V, Stenman J, Aittokallio T, Verschuren E, Ojala P, Nyman T, Saelens X, Dzeyk K, Kainov D
Cell Death Dis, 2013-07-25;4(0):e742. 2013-07-25
-
A combinatorial F box protein directed pathway controls TRAF adaptor stability to regulate inflammation.
Authors: Chen B, Coon T, Glasser J, McVerry B, Zhao J, Zhao Y, Zou C, Ellis B, Sciurba F, Zhang Y, Mallampalli R
Nat Immunol, 2013-03-31;14(5):470-9. 2013-03-31
-
The bradykinin B1 receptor regulates Abeta deposition and neuroinflammation in Tg-SwDI mice.
Authors: Passos G, Medeiros R, Cheng D, Vasilevko V, Laferla F, Cribbs D
Am J Pathol, 2013-03-05;182(5):1740-9. 2013-03-05
-
Blockade of NOX2 and STIM1 signaling limits lipopolysaccharide-induced vascular inflammation.
Authors: Gandhirajan, Rajesh K, Meng, Shu, Chandramoorthy, Harish C, Mallilankaraman, Karthik, Mancarella, Salvator, Gao, Hui, Razmpour, Roshanak, Yang, Xiao-Fen, Houser, Steven R, Chen, Ju, Koch, Walter J, Wang, Hong, Soboloff, Jonathan, Gill, Donald L, Madesh, Muniswam
J Clin Invest, 2013-01-25;123(2):887-902. 2013-01-25
-
The MSHA Strain of Pseudomonas Aeruginosa Activated TLR Pathway and Enhanced HIV-1 DNA Vaccine Immunoreactivity.
Authors: Hou J, Liu Y, Liu Y, Shao Y
PLoS ONE, 2012-10-15;7(10):e47724. 2012-10-15
-
Interleukin-33 primes mast cells for activation by IgG immune complexes.
Authors: Kaieda S, Wang J, Shnayder R, Fishgal N, Hei H, Lee R, Stevens R, Nigrovic P
PLoS ONE, 2012-10-11;7(10):e47252. 2012-10-11
-
NLRP3 suppresses NK cell-mediated responses to carcinogen-induced tumors and metastases.
Authors: Chow M, Sceneay J, Paget C, Wong C, Duret H, Tschopp J, Moller A, Smyth M
Cancer Res, 2012-09-17;72(22):5721-32. 2012-09-17
-
TGFbeta signalling plays an important role in IL4-induced alternative activation of microglia.
J Neuroinflammation, 2012-09-04;9(0):210. 2012-09-04
-
Chitin elicits CCL2 from airway epithelial cells and induces CCR2-dependent innate allergic inflammation in the lung.
J. Immunol., 2012-07-30;189(5):2545-52. 2012-07-30
-
Exosomes isolated from mycobacteria-infected mice or cultured macrophages can recruit and activate immune cells in vitro and in vivo.
Authors: Singh PP, Smith VL, Karakousis PC, Schorey JS
J. Immunol., 2012-06-20;189(2):777-85. 2012-06-20
-
CX3CL1 expression in the conjunctiva is involved in immune cell trafficking during toxic ocular surface inflammation.
Authors: Denoyer A, Godefroy D, Celerier I, Frugier J, Riancho L, Baudouin F, Rostene W, Baudouin C
Mucosal Immunol, 2012-06-13;5(0):702. 2012-06-13
-
Macrophage Dectin-1 Expression Is Controlled by Leukotriene B4 via a GM-CSF/PU.1 Axis.
Authors: Serezani CH, Kane S, Collins L
J. Immunol., 2012-06-13;189(2):906-15. 2012-06-13
-
A novel small molecule, HK-156, inhibits lipopolysaccharide-induced activation of NF-kappaB signaling and improves survival in mouse models of sepsis.
Acta Pharmacol. Sin., 2012-06-11;33(9):1204-16. 2012-06-11
-
Histone Deacetylase 3 Mediates Allergic Skin Inflammation by Regulating Expression of MCP1 Protein.
Authors: Kim Y, Kim K, Park D, Lee E, Lee H, Lee YS, Choe J, Jeoung D
J. Biol. Chem., 2012-06-07;287(31):25844-59. 2012-06-07
-
Abcg2 deficiency augments oxidative stress and cognitive deficits in Tg-SwDI transgenic mice.
J. Neurochem., 2012-06-06;233(0):456-469. 2012-06-06
-
Pten loss in CD4 T cells enhances their helper function but does not lead to autoimmunity or lymphoma.
Authors: Soond DR, Garcon F, Patton DT, Rolf J, Turner M, Scudamore C, Garden OA, Okkenhaug K
J. Immunol., 2012-05-18;188(12):5935-43. 2012-05-18
-
Early-outgrowth bone marrow cells attenuate renal injury and dysfunction via an antioxidant effect in a mouse model of type 2 diabetes.
Diabetes, 2012-05-17;61(8):2114-25. 2012-05-17
-
Clusterin induces the secretion of TNF-α and the chemotactic migration of macrophages.
Authors: Shim YJ, Kang BH, Choi BK, Park IS, Min BH
Biochem. Biophys. Res. Commun., 2012-05-07;422(1):200-5. 2012-05-07
-
Dietary blue pigments derived from genipin, attenuate inflammation by inhibiting LPS-induced iNOS and COX-2 expression via the NF-kappaB inactivation.
Authors: Wang QS, Xiang Y, Cui YL, Lin KM, Zhang XF
PLoS ONE, 2012-03-30;7(3):e34122. 2012-03-30
-
A new human DSG2-transgenic mouse model for studying the tropism and pathology of human adenoviruses.
Authors: Wang H, Beyer I, Persson J, Song H, Li Z, Richter M, Cao H, van Rensburg R, Yao X, Hudkins K, Yumul R, Zhang XB, Yu M, Fender P, Hemminki A, Lieber A
J. Virol., 2012-03-28;86(11):6286-302. 2012-03-28
-
The synthetic triterpenoid CDDO-methyl ester delays estrogen receptor-negative mammary carcinogenesis in polyoma middle T mice.
Authors: Tran K, Risingsong R, Royce D
Cancer Prev Res (Phila), 2012-03-08;5(5):726-34. 2012-03-08
-
The role of alveolar epithelial cells in initiating and shaping pulmonary immune responses: communication between innate and adaptive immune systems.
Authors: Chuquimia OD, Petursdottir DH, Rahman MJ, Hartl K, Singh M, Fernandez C
PLoS ONE, 2012-02-29;7(2):e32125. 2012-02-29
-
Preventing phosphorylation of sterol regulatory element-binding protein 1a by MAP-kinases protects mice from fatty liver and visceral obesity.
Authors: Kotzka J, Knebel B, Haas J, Kremer L, Jacob S, Hartwig S, Nitzgen U, Muller-Wieland D
PLoS ONE, 2012-02-27;7(2):e32609. 2012-02-27
-
Liver-specific expression of transcriptionally active SREBP-1c is associated with fatty liver and increased visceral fat mass.
Authors: Knebel B, Haas J, Hartwig S, Jacob S, Kollmer C, Nitzgen U, Muller-Wieland D, Kotzka J
PLoS ONE, 2012-02-21;7(2):e31812. 2012-02-21
-
The effect of oxidized low density lipoprotein (oxLDL)-induced heme oxygenase-1 on LPS-induced inflammation in RAW 264.7 macrophage cells.
Authors: Min KJ, Cho KH, Kwon TK
Cell. Signal., 2012-02-10;24(6):1215-21. 2012-02-10
-
Identification and functional characterization of novel phosphorylation sites in TAK1-binding protein (TAB) 1.
Authors: Wolf A, Beuerlein K, Eckart C, Weiser H, Dickkopf B, Muller H, Sakurai H, Kracht M
PLoS ONE, 2011-12-22;6(12):e29256. 2011-12-22
-
Murine bone marrow-derived macrophages differentiated with GM-CSF become foam cells by PI3Kgamma-dependent fluid-phase pinocytosis of native LDL.
Authors: Anzinger JJ, Chang J, Xu Q, Barthwal MK, Bohnacker T, Wymann MP, Kruth HS
J. Lipid Res., 2011-11-04;53(1):34-42. 2011-11-04
-
Stromal interaction essential for vascular endothelial growth factor A-induced tumour growth via transforming growth factor-beta signalling.
Authors: Weidenaar AC, Ter Elst A, Kampen KR, Meeuwsen-de Boer TG, de Jonge HJ, Scherpen FJ, den Dunnen WF, Kamps WA, de Bont ES
Br. J. Cancer, 2011-11-01;105(12):1856-63. 2011-11-01
-
Attenuation of leukocyte recruitment via CXCR1/2 inhibition stops the progression of PAH in mice with genetic ablation of endothelial BMPR-II.
Authors: Burton VJ, Holmes AM, Ciuclan LI
Blood, 2011-09-07;118(17):4750-8. 2011-09-07
-
Inhibition of IL-32 activation by alpha-1 antitrypsin suppresses alloreactivity and increases survival in an allogeneic murine marrow transplantation model.
Authors: Marcondes AM, Li X, Tabellini L, Bartenstein M, Kabacka J, Sale GE, Hansen JA, Dinarello CA, Deeg HJ
Blood, 2011-09-06;118(18):5031-9. 2011-09-06
-
Fine-tuning nucleophosmin in macrophage differentiation and activation.
Authors: Guery L, Benikhlef N, Gautier T, Paul C, Jego G, Dufour E, Jacquel A, Cally R, Manoury B, Vanden Berghe T, Vandenabeele P, Droin N, Solary E
Blood, 2011-08-29;118(17):4694-704. 2011-08-29
-
Intratracheal transplantation of human umbilical cord blood-derived mesenchymal stem cells attenuates Escherichia coli-induced acute lung injury in mice.
Authors: Kim ES, Chang YS, Choi SJ, Kim JK, Yoo HS, Ahn SY, Sung DK, Kim SY, Park YR, Park WS
Respir. Res., 2011-08-15;12(0):108. 2011-08-15
-
Comparative kinetic analyses of gene profiles of naive CD4+ and CD8+ T cells from young and old animals reveal novel age-related alterations.
Authors: Mirza N, Pollock K, Hoelzinger DB, Dominguez AL, Lustgarten J
Aging Cell, 2011-08-07;10(5):853-67. 2011-08-07
-
Immuno-therapy with anti-CTLA4 antibodies in tolerized and non-tolerized mouse tumor models.
Authors: Persson J, Beyer I, Yumul R, Li Z, Kiem HP, Roffler S, Lieber A
PLoS ONE, 2011-07-14;6(7):e22303. 2011-07-14
-
TGF-beta limits IL-33 production and promotes the resolution of colitis through regulation of macrophage function.
Authors: Rani R, Smulian AG, Greaves DR, Hogan SP, Herbert DR
Eur. J. Immunol., 2011-05-27;41(7):2000-9. 2011-05-27
-
Involvement of adenosine A2A receptors in engulfment-dependent apoptotic cell suppression of inflammation.
Authors: Koroskenyi K, Duro E, Pallai A, Sarang Z, Kloor D, Ucker DS, Beceiro S, Castrillo A, Chawla A, Ledent CA, Fésüs L, Szondy Z
J. Immunol., 2011-05-18;186(12):7144-55. 2011-05-18
-
SHIP-deficient mice develop spontaneous intestinal inflammation and arginase-dependent fibrosis.
Authors: McLarren KW, Cole AE, Weisser SB, Voglmaier NS, Conlin VS, Jacobson K, Popescu O, Boucher JL, Sly LM
Am. J. Pathol., 2011-05-07;179(1):180-8. 2011-05-07
-
TNF-alpha promotes LPA1- and LPA3-mediated recruitment of leukocytes in vivo through CXCR2 ligand chemokines.
Authors: Zhao C, Sardella A, Chun J, Poubelle PE, Fernandes MJ, Bourgoin SG
J. Lipid Res., 2011-04-26;52(7):1307-18. 2011-04-26
-
Tumors Suppress In Situ Proliferation of Cytotoxic T Cells by Promoting Differentiation of Gr-1+ Conventional Dendritic Cells through IL-6.
Authors: Diao J, Zhao J, Winter E
J. Immunol., 2011-03-23;186(9):5058-67. 2011-03-23
-
Reduced VEGF production, angiogenesis, and vascular regrowth contribute to the antitumor properties of dual mTORC1/mTORC2 inhibitors.
Authors: Falcon BL, Barr S, Gokhale PC, Chou J, Fogarty J, Depeille P, Miglarese M, Epstein DM, McDonald DM
Cancer Res., 2011-03-01;71(5):1573-83. 2011-03-01
-
HEB-deficient T-cell precursors lose T-cell potential and adopt an alternative pathway of differentiation.
Authors: Braunstein M, Anderson MK
Mol. Cell. Biol., 2010-12-28;31(5):971-82. 2010-12-28
-
Caspase-3 is transiently activated without cell death during early antigen driven expansion of CD8(+) T cells in vivo.
Authors: McComb S, Mulligan R, Sad S
PLoS ONE, 2010-12-22;5(12):e15328. 2010-12-22
-
A CD36-dependent pathway enhances macrophage and adipose tissue inflammation and impairs insulin signalling.
Authors: Kennedy DJ, Kuchibhotla S
Cardiovasc. Res., 2010-11-18;0(0):. 2010-11-18
-
Tim3 binding to galectin-9 stimulates antimicrobial immunity.
Authors: Jayaraman P, Sada-Ovalle I, Beladi S, Anderson AC, Dardalhon V, Hotta C, Kuchroo VK, Behar SM
J. Exp. Med., 2010-10-11;207(11):2343-54. 2010-10-11
-
Development of a nascent galectin-1 chimeric molecule for studying the role of leukocyte galectin-1 ligands and immune disease modulation.
Authors: Cedeno-Laurent F, Barthel SR, Opperman MJ, Lee DM, Clark RA, Dimitroff CJ
J. Immunol., 2010-09-15;185(8):4659-72. 2010-09-15
-
Salmonella enterica serovar Typhimurium-induced placental inflammation and not bacterial burden correlates with pathology and fatal maternal disease.
Authors: Chattopadhyay A, Robinson N, Sandhu JK, Finlay BB, Sad S, Krishnan L
Infect. Immun., 2010-03-01;78(5):2292-301. 2010-03-01
-
Protective effect of human amniotic fluid stem cells in an immunodeficient mouse model of acute tubular necrosis.
Authors: Perin L, Sedrakyan S, Giuliani S, Da Sacco S, Carraro G, Shiri L, Lemley KV, Rosol M, Wu S, Atala A, Warburton D, De Filippo RE
PLoS ONE, 2010-02-24;5(2):e9357. 2010-02-24
-
Small-molecule inhibitors of vascular adhesion protein-1 reduce the accumulation of myeloid cells into tumors and attenuate tumor growth in mice.
Authors: Marttila-Ichihara F, Castermans K, Auvinen K, oude Egbrink MG, Jalkanen S, Griffioen AW, Salmi M
J. Immunol., 2010-02-12;184(6):3164-73. 2010-02-12
-
VEGF-A promotes lymphoma tumour growth by activation of STAT proteins and inhibition of p27(KIP1) via paracrine mechanisms.
Authors: Roorda BD, Ter Elst A, Scherpen FJ, Meeuwsen-de Boer TG, Kamps WA, de Bont ES
Eur. J. Cancer, 2010-01-22;46(5):974-82. 2010-01-22
-
The member of the cyclic di-nucleotide family bis-(3', 5')-cyclic dimeric inosine monophosphate exerts potent activity as mucosal adjuvant.
Authors: Libanova R, Ebensen T, Schulze K, Bruhn D, Norder M, Yevsa T, Morr M, Guzman CA
Vaccine, 2010-01-07;28(10):2249-58. 2010-01-07
-
Recruitment and differentiation of conventional dendritic cell precursors in tumors.
Authors: Diao J, Zhao J, Winter E, Cattral MS
J. Immunol., 2009-12-21;184(3):1261-7. 2009-12-21
-
Paracrine induction of endothelium by tumor exosomes.
Authors: Hood JL, Pan H, Lanza GM, Wickline SA
Lab. Invest., 2009-09-28;89(11):1317-28. 2009-09-28
-
Alum induces innate immune responses through macrophage and mast cell sensors, but these sensors are not required for alum to act as an adjuvant for specific immunity.
Authors: McKee AS, Munks MW, MacLeod MK, Fleenor CJ, Van Rooijen N, Kappler JW, Marrack P
J. Immunol., 2009-09-04;183(7):4403-14. 2009-09-04
-
Virus binding to a plasma membrane receptor triggers interleukin-1 alpha-mediated proinflammatory macrophage response in vivo.
Authors: Di Paolo NC, Miao EA, Iwakura Y, Murali-Krishna K, Aderem A, Flavell RA, Papayannopoulou T, Shayakhmetov DM
Immunity, 2009-07-02;31(1):110-21. 2009-07-02
-
JNK-induced MCP-1 production in spinal cord astrocytes contributes to central sensitization and neuropathic pain.
Authors: Gao YJ, Zhang L, Samad OA, Suter MR, Yasuhiko K, Xu ZZ, Park JY, Lind AL, Ma Q, Ji RR
J. Neurosci., 2009-04-01;29(13):4096-108. 2009-04-01
-
Inhibition of the chemokine (C-C motif) ligand 2/chemokine (C-C motif) receptor 2 pathway attenuates hyperglycaemia and inflammation in a mouse model of hepatic steatosis and lipoatrophy.
Authors: Yang SJ, IglayReger HB, Kadouh HC, Bodary PF
Diabetologia, 2009-03-10;52(0):972-81. 2009-03-10
FAQs
-
Will the Array identification number stamped on the Array membrane interfere with detection if it is not cut-off before the membrane is blocked?
The dye used for printing the Array identification number on the membranes will fluoresce and interfere with the LI-COR detection. It is critical that the number is cut off before beginning the experiment.
Reviews for Proteome Profiler Mouse Cytokine Array Kit, Panel A
Average Rating: 4.8 (Based on 37 Reviews)
Have you used Proteome Profiler Mouse Cytokine Array Kit, Panel A?
Submit a review and receive an Amazon gift card.
$25/€18/£15/$25CAN/¥75 Yuan/¥2500 Yen for a review with an image
$10/€7/£6/$10 CAD/¥70 Yuan/¥1110 Yen for a review without an image
Filter by:
Mice colonic tissues were subjected to protein extraction, and lysates were used to test the expression of different proteins in these tissues. In the picture, only those proteins exhibiting a differential expression >3.0 fold (compared to untreated animals) were presented. Animals were experimentally subjected to several treatments to induce colon cancer (AOM/DSS group) chemically, and two different groups consuming high-fiber samples (G+AOM/DSS and RG+AOM/DSS) were also tested. Results were very repeatable, considering the low SD values between the samples (different samples for each group), and the procedure was very easy to follow. We highly recommend using this protein array in mice colonic tissues.
Performed well for mammary tumor lysates
The kit works very well
Mouse Cytokine Antibody Array was used in serum from Prolactin Receptor wild type baby mice after the mother's high-fat diet feeding for 21 days of lactation, and results were compared with Control Diet (CD). A low-level pro-inflammatory mechanism could be confirmed due to the modulation of inflammation-associated cytokines.
The array was used to test the anti-inflammatory potential from Octopus vulgaris ink extracts on LPS-stimulated RAW 264.7 cells. Results obtained were in agreement with other biochemical and in vitro test. We have used this kit in several LPS-challenged murine macrophages. Fig. A shows the expression level of each cytokine against the control (LPS only-treated macrophages); B shows a bioinformatic arrangement of the modulated cytokines, and C shows a predictive analysis from the results obtained in this kit.
Pro and anti-inflammatory cytokines were evaluated in RAW264.7 macrophages treated with LPS (1 microgram/mL) and a South American berry (ABJ). Results obtained showed the modulation of several cytokines indicated in this kit. We have conducted several evaluations of these cytokines using this kit and results never disappoint. What we like the most is that this assay allows the evaluation of several cytokines that would take a lot of time by conventional techniques such as ELISA or Western Blot.
20 ul serum was used to perform the experiment.
mouse serum 200ul used for cancer model
Used serum to see the role of gene in pavreatic cancer
Phenomenal results, consistent performance and excellent translation to use with Streptavidin-800. On step 11, I swapped the Streptavidin-HRP for a 1:2,000 ratio of Streptavidin-800. Then followed with the wash steps and the result is as posted.
150UL SERUM WAS USED
serum from knock-out mice
Followed protocol exactly, 10 min exposure on film wasn't great, boosted to 20 min exposure, still not good. 5 min on digital imager and positive control spots were saturated! Much more sensitive!
T cells isolated and stimulated with various agonists.
This array was used to measure the modulation of inflammation-associated cytokines in LPS-stimulated RAW264.7 macrophages treated with several doses of the non-digestible fraction from a corn/bean snack.
High quality results with simple and straightforward protocol. No optimization needed.
instructions easy to follow. I needed a little longer than the 10 minute exposure due to low protein concentrations from my very small tissues.
Very sensitive cytokine assay!
performed on cell conditoned media from mouse fibroblasts
Assay tested in 200 ug of protein from pool of intestines of 10 dpf zebrafish larvae.
Mouse BALF samples from pooled control and treatment groups in 2 separate arrays to determine the altered cytokine response.
Bronchoalveolar lavage fluid from C57BL/6J mouse
